Номер 1, страница 84, часть 1 - гдз по математике 3 класс учебник Муравьева, Урбан

Математика, 3 класс Учебник, авторы: Муравьева Галина Леонидовна, Урбан Мария Анатольевна, издательство Национальный институт образования, Минск, 2021, оранжевого цвета, часть 1

Авторы: Муравьева Г. Л., Урбан М. А.

Тип: Учебник

Издательство: Национальный институт образования

Год издания: 2021 - 2025

Часть: 1

Цвет обложки: оранжевый, жёлтый с учениками

ISBN: 978-985-594-794-4 (общ.), 978-985-594-795-1 (ч. 1), 978-985-594-796-8 (ч. 2)

Допущено Министерством образования Республики Беларусь

Популярные ГДЗ в 3 классе

Часть 1. Умножение и деление. Урок 42 - номер 1, страница 84.

№1 (с. 84)
Условие. №1 (с. 84)
скриншот условия
Математика, 3 класс Учебник, авторы: Муравьева Галина Леонидовна, Урбан Мария Анатольевна, издательство Национальный институт образования, Минск, 2021, оранжевого цвета, Часть 1, страница 84, номер 1, Условие

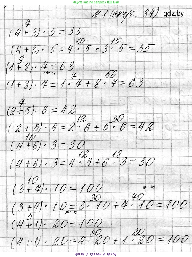
1. Вычисли разными способами.

$(4 + 3) \cdot 5$ $(2 + 5) \cdot 6$ $(3 + 7) \cdot 10$

$(1 + 8) \cdot 7$ $(4 + 6) \cdot 3$ $(4 + 1) \cdot 20$

Решение 1. №1 (с. 84)
Математика, 3 класс Учебник, авторы: Муравьева Галина Леонидовна, Урбан Мария Анатольевна, издательство Национальный институт образования, Минск, 2021, оранжевого цвета, Часть 1, страница 84, номер 1, Решение 1
Решение 2. №1 (с. 84)
Математика, 3 класс Учебник, авторы: Муравьева Галина Леонидовна, Урбан Мария Анатольевна, издательство Национальный институт образования, Минск, 2021, оранжевого цвета, Часть 1, страница 84, номер 1, Решение 2
Решение 3. №1 (с. 84)
Математика, 3 класс Учебник, авторы: Муравьева Галина Леонидовна, Урбан Мария Анатольевна, издательство Национальный институт образования, Минск, 2021, оранжевого цвета, Часть 1, страница 84, номер 1, Решение 3 Математика, 3 класс Учебник, авторы: Муравьева Галина Леонидовна, Урбан Мария Анатольевна, издательство Национальный институт образования, Минск, 2021, оранжевого цвета, Часть 1, страница 84, номер 1, Решение 3 (продолжение 2)
Решение 4. №1 (с. 84)

(4 + 3) · 5

Способ 1: по порядку действий. Сначала выполним действие в скобках (сложение), а затем умножим полученную сумму на число за скобками.
1) $4 + 3 = 7$
2) $7 \cdot 5 = 35$

Способ 2: с помощью распределительного свойства умножения. Чтобы умножить сумму на число, можно умножить на это число каждое слагаемое, а затем сложить полученные произведения.
$(4 + 3) \cdot 5 = 4 \cdot 5 + 3 \cdot 5 = 20 + 15 = 35$

Ответ: 35

(1 + 8) · 7

Способ 1: по порядку действий.
1) $1 + 8 = 9$
2) $9 \cdot 7 = 63$

Способ 2: с помощью распределительного свойства умножения.
$(1 + 8) \cdot 7 = 1 \cdot 7 + 8 \cdot 7 = 7 + 56 = 63$

Ответ: 63

(2 + 5) · 6

Способ 1: по порядку действий.
1) $2 + 5 = 7$
2) $7 \cdot 6 = 42$

Способ 2: с помощью распределительного свойства умножения.
$(2 + 5) \cdot 6 = 2 \cdot 6 + 5 \cdot 6 = 12 + 30 = 42$

Ответ: 42

(4 + 6) · 3

Способ 1: по порядку действий.
1) $4 + 6 = 10$
2) $10 \cdot 3 = 30$

Способ 2: с помощью распределительного свойства умножения.
$(4 + 6) \cdot 3 = 4 \cdot 3 + 6 \cdot 3 = 12 + 18 = 30$

Ответ: 30

(3 + 7) · 10

Способ 1: по порядку действий.
1) $3 + 7 = 10$
2) $10 \cdot 10 = 100$

Способ 2: с помощью распределительного свойства умножения.
$(3 + 7) \cdot 10 = 3 \cdot 10 + 7 \cdot 10 = 30 + 70 = 100$

Ответ: 100

(4 + 1) · 20

Способ 1: по порядку действий.
1) $4 + 1 = 5$
2) $5 \cdot 20 = 100$

Способ 2: с помощью распределительного свойства умножения.
$(4 + 1) \cdot 20 = 4 \cdot 20 + 1 \cdot 20 = 80 + 20 = 100$

Ответ: 100

Помогло решение? Оставьте отзыв в комментариях ниже.

Присоединяйтесь к Телеграм-группе @gdz_by_belarus

Присоединиться

Мы подготовили для вас ответ c подробным объяснением домашего задания по математике за 3 класс, для упражнения номер 1 расположенного на странице 84 для 1-й части к учебнику 2021 года издания для учащихся школ и гимназий.

Теперь на нашем сайте ГДЗ.ТОП вы всегда легко и бесплатно найдёте условие с правильным ответом на вопрос «Как решить ДЗ» и «Как сделать» задание по математике к упражнению №1 (с. 84), авторов: Муравьева (Галина Леонидовна), Урбан (Мария Анатольевна), 1-й части учебного пособия издательства Национальный институт образования.