Номер 5, страница 26 - гдз по химии 8 класс сборник контрольных и самостоятельных работ Сеген, Власовец

Химия, 8 класс Сборник контрольных и самостоятельных работ, авторы: Сеген Елена Адамовна, Власовец Евгения Николаевна, Гарбар Елена Евгеньевна, Синявская Тамара Степановна, издательство Аверсэв, Минск, 2019, оранжевого цвета

Авторы: Сеген Е. А., Власовец Е. Н., Гарбар Е. Е., Синявская Т. С.

Тип: Сборник контрольных и самостоятельных работ

Издательство: Аверсэв

Год издания: 2019 - 2025

Цвет обложки: оранжевый с колбой

ISBN: 978-985-19-4532-6

Рекомендовано Научно-методическим учреждением "Национальный институт образования" Министерства образования Республики Беларусь

Популярные ГДЗ в 8 классе

Самостоятельная работа 2. По теме «Количественные понятия в химии». Вариант 3. Вариант 3 - номер 5, страница 26.

№5 (с. 26)
Решение. №5 (с. 26)
Химия, 8 класс Сборник контрольных и самостоятельных работ, авторы: Сеген Елена Адамовна, Власовец Евгения Николаевна, Гарбар Елена Евгеньевна, Синявская Тамара Степановна, издательство Аверсэв, Минск, 2019, оранжевого цвета, страница 26, номер 5, Решение
Решение 2. №5 (с. 26)

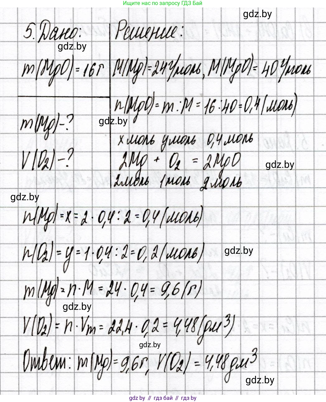
Дано:

масса оксида магния $m(\text{MgO}) = 16 \, \text{г}$

Перевод в систему СИ:

масса оксида магния $m(\text{MgO}) = 16 \, \text{г} = 0.016 \, \text{кг}$

Молярная масса магния $M(\text{Mg}) = 24.3 \, \text{г/моль} = 0.0243 \, \text{кг/моль}$

Молярная масса кислорода $M(\text{O}) = 16.0 \, \text{г/моль} = 0.016 \, \text{кг/моль}$

Молярный объем газа при нормальных условиях $V_m = 22.4 \, \text{дм}^3\text{/моль} = 0.0224 \, \text{м}^3\text{/моль}$

Найти:

масса магния $m(\text{Mg})$

объем кислорода $V(\text{O}_2)$

Решение:

1. Запишем уравнение реакции образования оксида магния и уравняем его:

$2\text{Mg} + \text{O}_2 \rightarrow 2\text{MgO}$

2. Рассчитаем молярные массы веществ, участвующих в реакции. Используем стандартные значения молярных масс:

$M(\text{Mg}) = 24.3 \, \text{г/моль}$

$M(\text{O}) = 16.0 \, \text{г/моль}$

$M(\text{O}_2) = 2 \times M(\text{O}) = 2 \times 16.0 \, \text{г/моль} = 32.0 \, \text{г/моль}$

$M(\text{MgO}) = M(\text{Mg}) + M(\text{O}) = 24.3 \, \text{г/моль} + 16.0 \, \text{г/моль} = 40.3 \, \text{г/моль}$

3. Вычислим количество вещества оксида магния, образовавшегося в реакции, по формуле $n = \frac{m}{M}$:

$n(\text{MgO}) = \frac{m(\text{MgO})}{M(\text{MgO})} = \frac{16 \, \text{г}}{40.3 \, \text{г/моль}} \approx 0.397022 \, \text{моль}$

4. Используя стехиометрические соотношения из уравненной реакции, найдем количество вещества магния и кислорода. Согласно уравнению $2\text{Mg} + \text{O}_2 \rightarrow 2\text{MgO}$, соотношение молей $\text{Mg}:\text{O}_2:\text{MgO}$ равно $2:1:2$.

Количество вещества магния:

$n(\text{Mg}) = n(\text{MgO}) = 0.397022 \, \text{моль}$

Количество вещества кислорода:

$n(\text{O}_2) = \frac{1}{2} n(\text{MgO}) = \frac{1}{2} \times 0.397022 \, \text{моль} = 0.198511 \, \text{моль}$

5. Рассчитаем массу магния, вступившего в реакцию, по формуле $m = n \times M$:

$m(\text{Mg}) = n(\text{Mg}) \times M(\text{Mg}) = 0.397022 \, \text{моль} \times 24.3 \, \text{г/моль} \approx 9.65 \, \text{г}$

6. Рассчитаем объем кислорода (при нормальных условиях), вступившего в реакцию, по формуле $V = n \times V_m$, где $V_m = 22.4 \, \text{дм}^3\text{/моль}$ (молярный объем газа при н. у.):

$V(\text{O}_2) = n(\text{O}_2) \times V_m = 0.198511 \, \text{моль} \times 22.4 \, \text{дм}^3\text{/моль} \approx 4.45 \, \text{дм}^3$

Ответ:

Масса магния $m(\text{Mg}) \approx 9.65 \, \text{г}$

Объем кислорода $V(\text{O}_2) \approx 4.45 \, \text{дм}^3$

Помогло решение? Оставьте отзыв в комментариях ниже.

Присоединяйтесь к Телеграм-группе @gdz_by_belarus

Присоединиться

Мы подготовили для вас ответ c подробным объяснением домашего задания по химии за 8 класс, для упражнения номер 5 расположенного на странице 26 к сборнику контрольных и самостоятельных работ 2019 года издания для учащихся школ и гимназий.

Теперь на нашем сайте ГДЗ.ТОП вы всегда легко и бесплатно найдёте условие с правильным ответом на вопрос «Как решить ДЗ» и «Как сделать» задание по химии к упражнению №5 (с. 26), авторов: Сеген (Елена Адамовна), Власовец (Евгения Николаевна), Гарбар (Елена Евгеньевна), Синявская (Тамара Степановна), учебного пособия издательства Аверсэв.