Номер 5, страница 24 - гдз по химии 8 класс сборник контрольных и самостоятельных работ Сеген, Власовец
Авторы: Сеген Е. А., Власовец Е. Н., Гарбар Е. Е., Синявская Т. С.
Тип: Сборник контрольных и самостоятельных работ
Издательство: Аверсэв
Год издания: 2019 - 2025
Цвет обложки: оранжевый с колбой
ISBN: 978-985-19-4532-6
Рекомендовано Научно-методическим учреждением "Национальный институт образования" Министерства образования Республики Беларусь
Популярные ГДЗ в 8 классе
Самостоятельная работа 2. По теме «Количественные понятия в химии». Вариант 1. Вариант 1 - номер 5, страница 24.
№5 (с. 24)
Решение. №5 (с. 24)
Решение 2. №5 (с. 24)
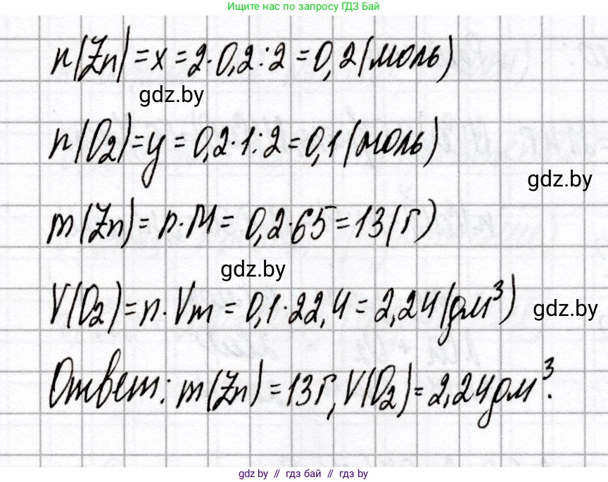
Дано
масса оксида цинка $m(\text{ZnO}) = 16.2 \text{ г}$
Стандартные справочные величины:
молярная масса цинка $M(\text{Zn}) = 65.38 \text{ г/моль}$
молярная масса кислорода $M(\text{O}) = 16.00 \text{ г/моль}$
молярный объем газа при нормальных условиях $V_m = 22.4 \text{ дм}^3/\text{моль}$
Перевод в систему СИ:
масса оксида цинка $m(\text{ZnO}) = 16.2 \text{ г} = 0.0162 \text{ кг}$
молярная масса цинка $M(\text{Zn}) = 65.38 \text{ г/моль} = 0.06538 \text{ кг/моль}$
молярная масса кислорода $M(\text{O}) = 16.00 \text{ г/моль} = 0.01600 \text{ кг/моль}$
молярный объем газа при нормальных условиях $V_m = 22.4 \text{ дм}^3/\text{моль} = 0.0224 \text{ м}^3/\text{моль}$
Найти:
масса цинка $m(\text{Zn}) (\text{г})$
объем кислорода $V(\text{O}_2) (\text{дм}^3)$
Решение
1. Запишем уравнение реакции взаимодействия цинка с кислородом:
$2\text{Zn} + \text{O}_2 \rightarrow 2\text{ZnO}$
2. Рассчитаем молярную массу оксида цинка $M(\text{ZnO})$:
$M(\text{ZnO}) = M(\text{Zn}) + M(\text{O}) = 65.38 \text{ г/моль} + 16.00 \text{ г/моль} = 81.38 \text{ г/моль}$
3. Вычислим количество вещества оксида цинка $n(\text{ZnO})$, образовавшегося в результате реакции:
$n(\text{ZnO}) = \frac{m(\text{ZnO})}{M(\text{ZnO})} = \frac{16.2 \text{ г}}{81.38 \text{ г/моль}} \approx 0.199066 \text{ моль}$
4. Из уравнения реакции видно, что 2 моля цинка взаимодействуют с 1 молем кислорода, образуя 2 моля оксида цинка. Таким образом, количество вещества цинка равно количеству вещества оксида цинка, а количество вещества кислорода в два раза меньше количества вещества оксида цинка:
$n(\text{Zn}) = n(\text{ZnO}) \approx 0.199066 \text{ моль}$
$n(\text{O}_2) = \frac{1}{2} n(\text{ZnO}) = \frac{0.199066 \text{ моль}}{2} \approx 0.099533 \text{ моль}$
5. Рассчитаем массу цинка $m(\text{Zn})$, вступившего в реакцию:
$m(\text{Zn}) = n(\text{Zn}) \times M(\text{Zn}) = 0.199066 \text{ моль} \times 65.38 \text{ г/моль} \approx 13.018 \text{ г}$
Округлим до трех значащих цифр: $m(\text{Zn}) \approx 13.0 \text{ г}$
6. Рассчитаем объем кислорода $V(\text{O}_2)$, вступившего в реакцию при нормальных условиях:
$V(\text{O}_2) = n(\text{O}_2) \times V_m = 0.099533 \text{ моль} \times 22.4 \text{ дм}^3/\text{моль} \approx 2.2295 \text{ дм}^3$
Округлим до трех значащих цифр: $V(\text{O}_2) \approx 2.23 \text{ дм}^3$
Ответ:
масса цинка $m(\text{Zn}) = 13.0 \text{ г}$
объем кислорода $V(\text{O}_2) = 2.23 \text{ дм}^3$
Другие задания:
Помогло решение? Оставьте отзыв в комментариях ниже.
Присоединяйтесь к Телеграм-группе @gdz_by_belarus
ПрисоединитьсяМы подготовили для вас ответ c подробным объяснением домашего задания по химии за 8 класс, для упражнения номер 5 расположенного на странице 24 к сборнику контрольных и самостоятельных работ 2019 года издания для учащихся школ и гимназий.
Теперь на нашем сайте ГДЗ.ТОП вы всегда легко и бесплатно найдёте условие с правильным ответом на вопрос «Как решить ДЗ» и «Как сделать» задание по химии к упражнению №5 (с. 24), авторов: Сеген (Елена Адамовна), Власовец (Евгения Николаевна), Гарбар (Елена Евгеньевна), Синявская (Тамара Степановна), учебного пособия издательства Аверсэв.