Номер 3, страница 14, часть 1 - гдз по химии 11 класс тетрадь для практических работ Борушко

Химия, 11 класс Тетрадь для практических работ, автор: Борушко Ирина Ивановна, издательство Сэр-Вит, Минск, 2022, оранжевого цвета

Авторы: Борушко И. И.

Тип: Тетрадь для практических работ

Издательство: Сэр-Вит

Год издания: 2022 - 2025

Уровень обучения: базовый

Часть: 1

Цвет обложки: оранжевый, жёлтый, салатовый с колбой

ISBN: 978-985-597-609-8

Рекомендовано Научно-методическим учреждением «Национальный институт образования» Министерства образования Республики Беларусь

Популярные ГДЗ в 11 классе

Часть 1. Практические работы. Изучение свойств кислот, оснований и солей в свете теории электролитической диссоциации. Практическая работа 2 - номер 3, страница 14.

№3 (с. 14)
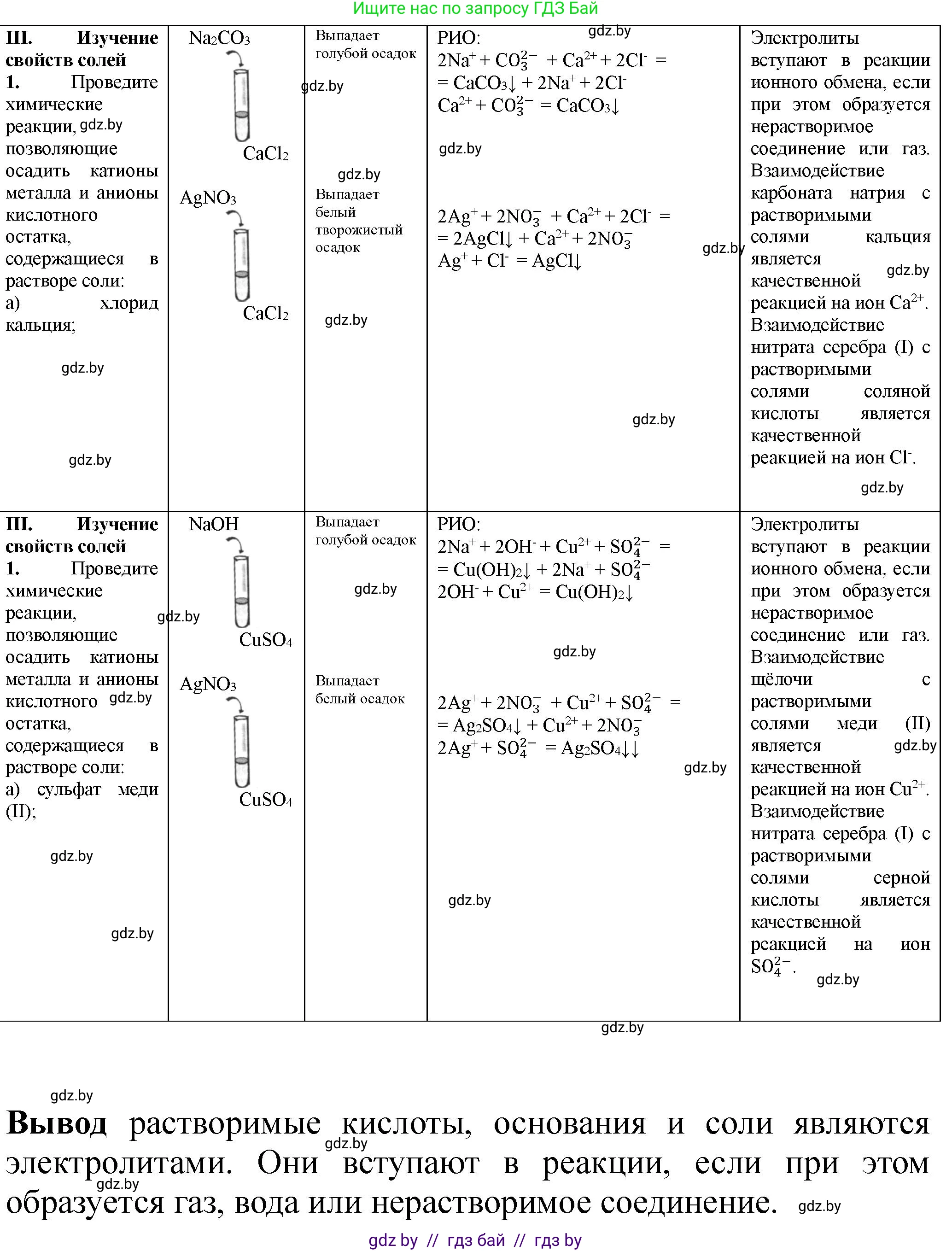
Условие. №3 (с. 14)
Химия, 11 класс Тетрадь для практических работ, автор: Борушко Ирина Ивановна, издательство Сэр-Вит, Минск, 2022, оранжевого цвета, Часть 1, страница 14, номер 3, Условие Химия, 11 класс Тетрадь для практических работ, автор: Борушко Ирина Ивановна, издательство Сэр-Вит, Минск, 2022, оранжевого цвета, Часть 1, страница 14, номер 3, Условие (продолжение 2)
Решение. №3 (с. 14)
Химия, 11 класс Тетрадь для практических работ, автор: Борушко Ирина Ивановна, издательство Сэр-Вит, Минск, 2022, оранжевого цвета, Часть 1, страница 14, номер 3, Решение Химия, 11 класс Тетрадь для практических работ, автор: Борушко Ирина Ивановна, издательство Сэр-Вит, Минск, 2022, оранжевого цвета, Часть 1, страница 14, номер 3, Решение (продолжение 2)

Помогло решение? Оставьте отзыв в комментариях ниже.

Присоединяйтесь к Телеграм-группе @gdz_by_belarus

Присоединиться

Мы подготовили для вас ответ c подробным объяснением домашего задания по химии за 11 класс, для упражнения номер 3 расположенного на странице 14 для 1-й части к тетради для практических работ 2022 года издания для учащихся школ и гимназий.

Теперь на нашем сайте ГДЗ.ТОП вы всегда легко и бесплатно найдёте условие с правильным ответом на вопрос «Как решить ДЗ» и «Как сделать» задание по химии к упражнению №3 (с. 14), автора: Борушко (Ирина Ивановна), 1-й части базовый уровень обучения учебного пособия издательства Сэр-Вит.