Страница 36 - гдз по географии 10 класс учебник Антипова, Гузова

География, 10 класс Учебник, авторы: Антипова Екатерина Анатольевна, Гузова Ольга Николаевна, издательство Адукацыя i выхаванне, Минск, 2019

Авторы: Антипова Е. А., Гузова О. Н.

Тип: Учебник

Издательство: Адукацыя i выхаванне

Год издания: 2019 - 2025

Цвет обложки: синий

ISBN: 978-985-599-135-0

Допущено Министерством образования Республики Беларусь

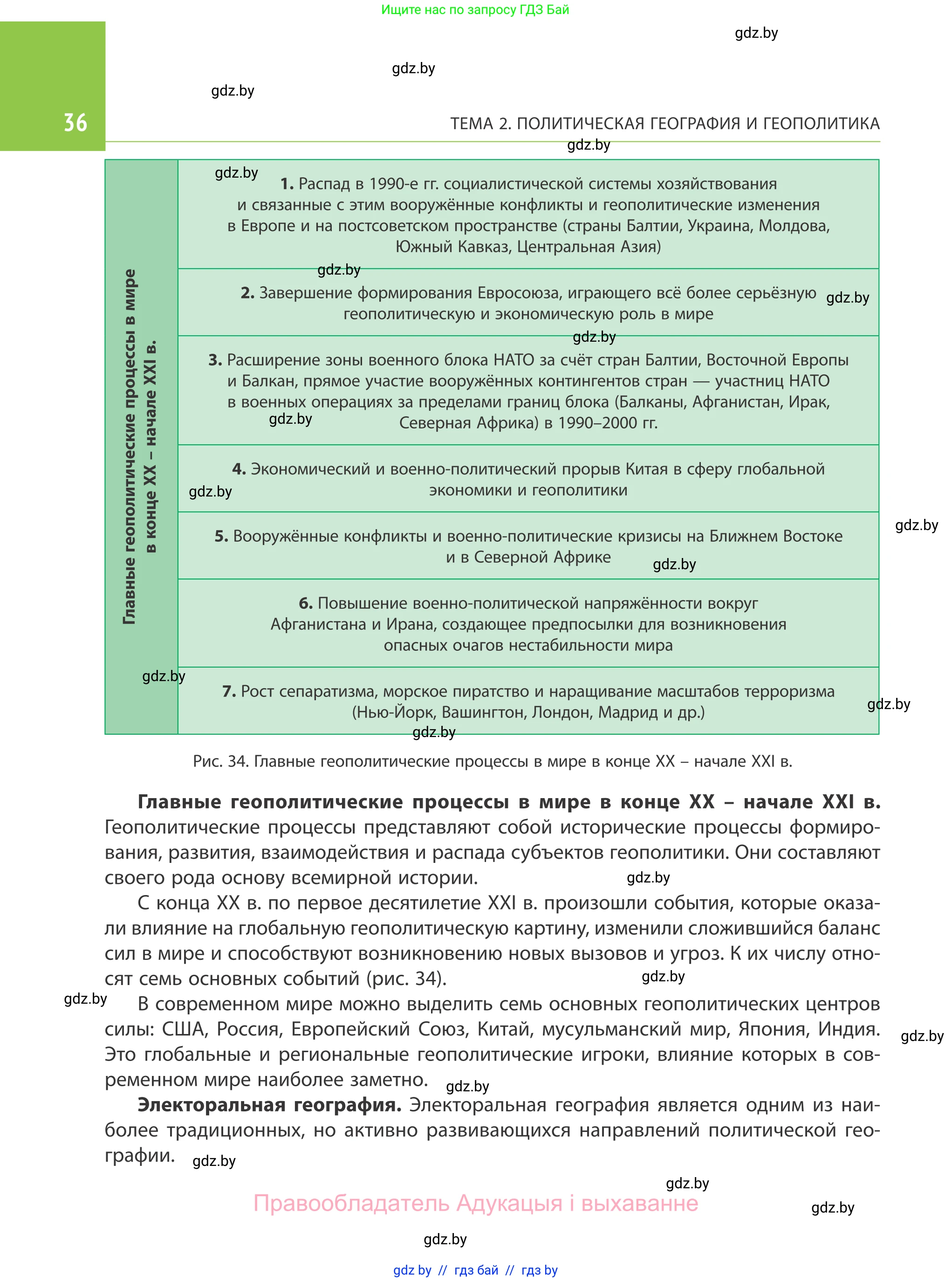
Социально-экономическая география мира

Популярные ГДЗ в 10 классе

Cтраница 36

География, 10 класс Учебник, авторы: Антипова Екатерина Анатольевна, Гузова Ольга Николаевна, издательство Адукацыя i выхаванне, Минск, 2019, страница 36
Ваш номер не отображается здесь?
Такое бывает: задание могло начаться на предыдущей или следующей странице.

Помогло решение? Оставьте отзыв в комментариях ниже.

Присоединяйтесь к Телеграм-группе @gdz_by_belarus

Присоединиться