Номер 6, страница 181 - гдз по химии 11 класс учебник Мычко, Прохоревич

Химия, 11 класс Учебник, авторы: Мычко Дмитрий Иванович, Прохоревич Константин Николаевич, Борушко Ирина Ивановна, издательство Адукацыя i выхаванне, Минск, 2021, зелёного цвета

Авторы: Мычко Д. И., Прохоревич К. Н., Борушко И. И.

Тип: Учебник

Издательство: Адукацыя i выхаванне

Год издания: 2021 - 2025

Цвет обложки: зелёный с колбами

ISBN: 978-985-599-297-5

Допущено Министерством образования Республики Беларусь

Популярные ГДЗ в 11 классе

Глава VI. Неметаллы. Параграф 32. Элементы VIA-группы. Кислород и сера - номер 6, страница 181.

№6 (с. 181)
Условия. №6 (с. 181)
скриншот условия
Химия, 11 класс Учебник, авторы: Мычко Дмитрий Иванович, Прохоревич Константин Николаевич, Борушко Ирина Ивановна, издательство Адукацыя i выхаванне, Минск, 2021, зелёного цвета, страница 181, номер 6, Условия

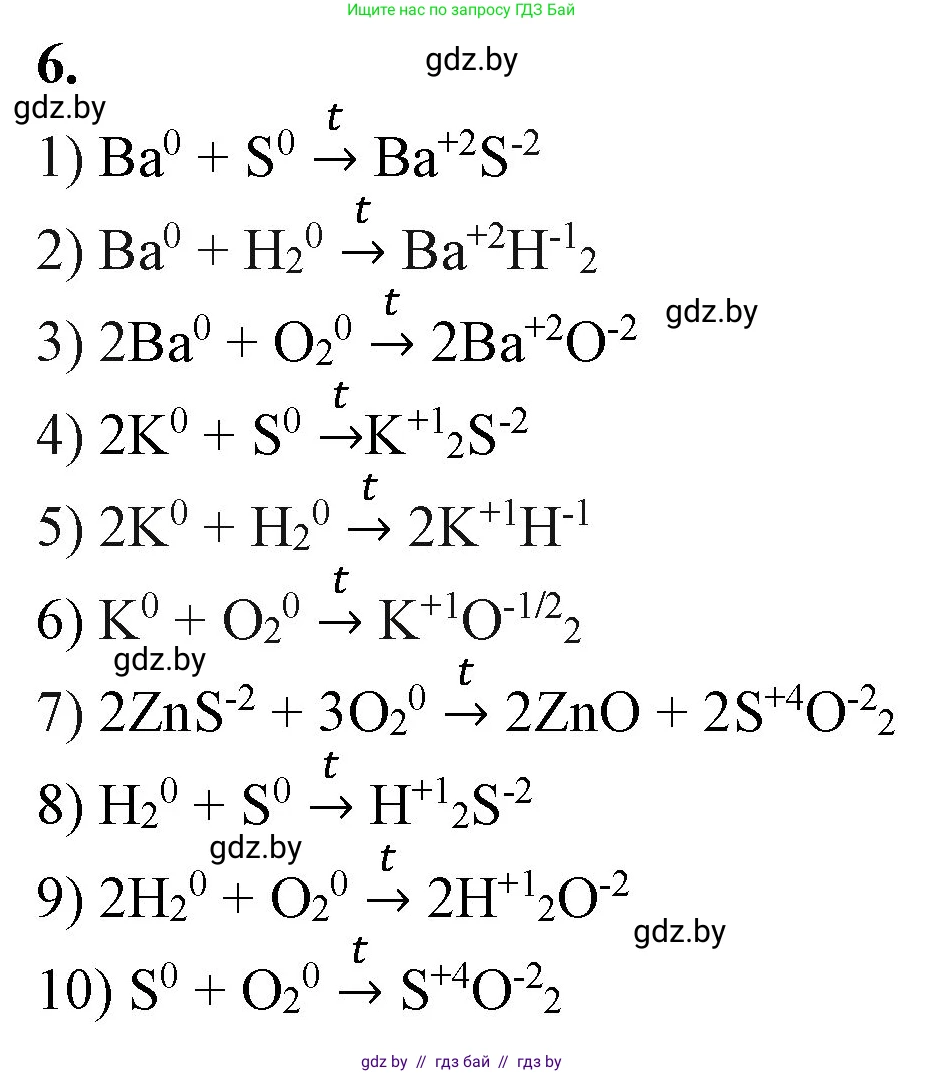
6. Составьте 10 уравнений возможных реакций между веществами, формулы которых $Ba$, $K$, $Pt$, $ZnS$, $S$, $H_2$, $O_2$. Укажите при этом степени окисления элементов.

Решение. №6 (с. 181)
Химия, 11 класс Учебник, авторы: Мычко Дмитрий Иванович, Прохоревич Константин Николаевич, Борушко Ирина Ивановна, издательство Адукацыя i выхаванне, Минск, 2021, зелёного цвета, страница 181, номер 6, Решение
Решение 2. №6 (с. 181)

Дано:

Перечень веществ: $Ba, K, Pt, ZnS, S, H_2, O_2$.

Найти:

Составить 10 уравнений возможных химических реакций между указанными веществами и указать степени окисления элементов.

Решение:

1. Взаимодействие бария с кислородом. Это окислительно-восстановительная реакция, в которой активный металл барий выступает в роли восстановителя, а кислород — в роли окислителя. В результате образуется оксид бария.

Ответ: $2\overset{0}{Ba} + \overset{0}{O_2} \rightarrow 2\overset{+2}{Ba}\overset{-2}{O}$

2. Взаимодействие калия с кислородом. Активный щелочной металл калий энергично реагирует с кислородом. В отличие от менее активных металлов, образуется не оксид, а пероксид калия, где кислород имеет степень окисления -1.

Ответ: $2\overset{0}{K} + \overset{0}{O_2} \rightarrow \overset{+1}{K_2}\overset{-1}{O_2}$

3. Взаимодействие бария с серой. При нагревании барий реагирует с серой, образуя сульфид бария. Барий является восстановителем, а сера — окислителем.

Ответ: $\overset{0}{Ba} + \overset{0}{S} \rightarrow \overset{+2}{Ba}\overset{-2}{S}$

4. Взаимодействие калия с серой. При сплавлении калий реагирует с серой, образуя сульфид калия. Калий отдает электрон, а сера его принимает.

Ответ: $2\overset{0}{K} + \overset{0}{S} \rightarrow \overset{+1}{K_2}\overset{-2}{S}$

5. Взаимодействие водорода с кислородом. Реакция горения водорода в кислороде (реакция "гремучего газа"), в результате которой образуется вода. Водород — восстановитель, кислород — окислитель.

Ответ: $2\overset{0}{H_2} + \overset{0}{O_2} \rightarrow 2\overset{+1}{H_2}\overset{-2}{O}$

6. Взаимодействие водорода с серой. При нагревании водород реагирует с серой с образованием сероводорода. В этой реакции водород является восстановителем, а сера — окислителем.

Ответ: $\overset{0}{H_2} + \overset{0}{S} \rightarrow \overset{+1}{H_2}\overset{-2}{S}$

7. Взаимодействие серы с кислородом. Реакция горения серы на воздухе или в кислороде, в ходе которой образуется сернистый газ (диоксид серы). Сера повышает свою степень окисления, являясь восстановителем.

Ответ: $\overset{0}{S} + \overset{0}{O_2} \rightarrow \overset{+4}{S}\overset{-2}{O_2}$

8. Обжиг сульфида цинка. Промышленно важная реакция, используемая для получения цинка из руды. Сульфид цинка окисляется кислородом при высокой температуре до оксида цинка и диоксида серы. Сера меняет степень окисления с -2 до +4, а кислород — с 0 до -2.

Ответ: $2\overset{+2}{Zn}\overset{-2}{S} + 3\overset{0}{O_2} \rightarrow 2\overset{+2}{Zn}\overset{-2}{O} + 2\overset{+4}{S}\overset{-2}{O_2}$

9. Взаимодействие бария с водородом. Активные металлы, такие как барий, при нагревании реагируют с водородом, образуя гидриды. В гидридах металлов водород имеет необычную для себя степень окисления -1, выступая в роли окислителя.

Ответ: $\overset{0}{Ba} + \overset{0}{H_2} \rightarrow \overset{+2}{Ba}\overset{-1}{H_2}$

10. Взаимодействие калия с водородом. Как и другие щелочные металлы, калий реагирует с водородом при нагревании с образованием гидрида калия, где водород является окислителем.

Ответ: $2\overset{0}{K} + \overset{0}{H_2} \rightarrow 2\overset{+1}{K}\overset{-1}{H}$

Помогло решение? Оставьте отзыв в комментариях ниже.

Присоединяйтесь к Телеграм-группе @gdz_by_belarus

Присоединиться

Мы подготовили для вас ответ c подробным объяснением домашего задания по химии за 11 класс, для упражнения номер 6 расположенного на странице 181 к учебнику 2021 года издания для учащихся школ и гимназий.

Теперь на нашем сайте ГДЗ.ТОП вы всегда легко и бесплатно найдёте условие с правильным ответом на вопрос «Как решить ДЗ» и «Как сделать» задание по химии к упражнению №6 (с. 181), авторов: Мычко (Дмитрий Иванович), Прохоревич (Константин Николаевич), Борушко (Ирина Ивановна), учебного пособия издательства Адукацыя i выхаванне.