Номер 3, страница 90, часть 1 - гдз по математике 3 класс учебник Муравьева, Урбан

Математика, 3 класс Учебник, авторы: Муравьева Галина Леонидовна, Урбан Мария Анатольевна, издательство Национальный институт образования, Минск, 2021, оранжевого цвета, часть 1

Авторы: Муравьева Г. Л., Урбан М. А.

Тип: Учебник

Издательство: Национальный институт образования

Год издания: 2021 - 2025

Часть: 1

Цвет обложки: оранжевый, жёлтый с учениками

ISBN: 978-985-594-794-4 (общ.), 978-985-594-795-1 (ч. 1), 978-985-594-796-8 (ч. 2)

Допущено Министерством образования Республики Беларусь

Популярные ГДЗ в 3 классе

Часть 1. Умножение и деление. Урок 45 - номер 3, страница 90.

№3 (с. 90)
Условие. №3 (с. 90)
скриншот условия
Математика, 3 класс Учебник, авторы: Муравьева Галина Леонидовна, Урбан Мария Анатольевна, издательство Национальный институт образования, Минск, 2021, оранжевого цвета, Часть 1, страница 90, номер 3, Условие

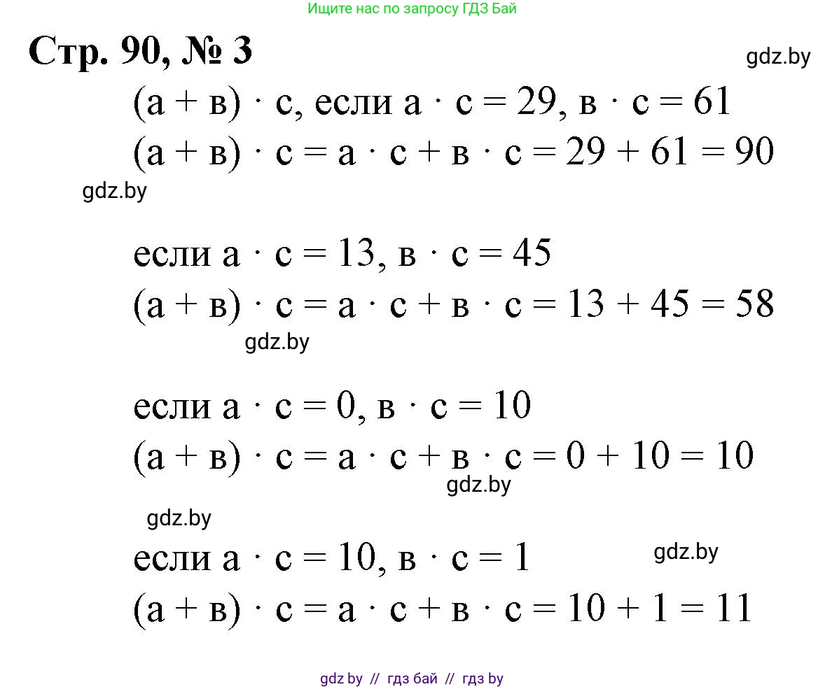
3. Найди значения выражения $(a + b) \cdot c$, если:

$a \cdot c$ 29 13 0 10
$b \cdot c$ 61 45 10 1
Решение 1. №3 (с. 90)
Математика, 3 класс Учебник, авторы: Муравьева Галина Леонидовна, Урбан Мария Анатольевна, издательство Национальный институт образования, Минск, 2021, оранжевого цвета, Часть 1, страница 90, номер 3, Решение 1
Решение 2. №3 (с. 90)
Математика, 3 класс Учебник, авторы: Муравьева Галина Леонидовна, Урбан Мария Анатольевна, издательство Национальный институт образования, Минск, 2021, оранжевого цвета, Часть 1, страница 90, номер 3, Решение 2
Решение 3. №3 (с. 90)
Математика, 3 класс Учебник, авторы: Муравьева Галина Леонидовна, Урбан Мария Анатольевна, издательство Национальный институт образования, Минск, 2021, оранжевого цвета, Часть 1, страница 90, номер 3, Решение 3
Решение 4. №3 (с. 90)

Для решения этой задачи мы воспользуемся распределительным свойством умножения относительно сложения. Это свойство можно записать в виде формулы:

$(a + b) \cdot c = a \cdot c + b \cdot c$

Используя эту формулу, мы можем найти значение выражения $(a + b) \cdot c$ для каждого столбца таблицы, просто сложив значения $a \cdot c$ и $b \cdot c$.

Для первого столбца:

Дано: $a \cdot c = 29$ и $b \cdot c = 61$.

Подставляем значения в формулу:

$(a + b) \cdot c = 29 + 61 = 90$

Ответ: 90

Для второго столбца:

Дано: $a \cdot c = 13$ и $b \cdot c = 45$.

Подставляем значения в формулу:

$(a + b) \cdot c = 13 + 45 = 58$

Ответ: 58

Для третьего столбца:

Дано: $a \cdot c = 0$ и $b \cdot c = 10$.

Подставляем значения в формулу:

$(a + b) \cdot c = 0 + 10 = 10$

Ответ: 10

Для четвертого столбца:

Дано: $a \cdot c = 10$ и $b \cdot c = 1$.

Подставляем значения в формулу:

$(a + b) \cdot c = 10 + 1 = 11$

Ответ: 11

Помогло решение? Оставьте отзыв в комментариях ниже.

Присоединяйтесь к Телеграм-группе @gdz_by_belarus

Присоединиться

Мы подготовили для вас ответ c подробным объяснением домашего задания по математике за 3 класс, для упражнения номер 3 расположенного на странице 90 для 1-й части к учебнику 2021 года издания для учащихся школ и гимназий.

Теперь на нашем сайте ГДЗ.ТОП вы всегда легко и бесплатно найдёте условие с правильным ответом на вопрос «Как решить ДЗ» и «Как сделать» задание по математике к упражнению №3 (с. 90), авторов: Муравьева (Галина Леонидовна), Урбан (Мария Анатольевна), 1-й части учебного пособия издательства Национальный институт образования.