Номер 7, страница 264 - гдз по химии 10 класс учебник Колевич, Матулис

Химия, 10 класс Учебник, авторы: Колевич Татьяна Александровна, Матулис Вадим Эдвардович, Матулис Виталий Эдвардович, Варакса Игорь Николаевич, издательство Адукацыя i выхаванне, Минск, 2019

Авторы: Колевич Т. А., Матулис В. Э., Матулис В. Э., Варакса И. Н.

Тип: Учебник

Издательство: Адукацыя i выхаванне

Год издания: 2019 - 2025

Цвет обложки: синий

ISBN: 978-985-599-068-1

Допущено Министерством образования Республики Беларусь

Популярные ГДЗ в 10 классе

Глава 4. Азотсодержащие органические соединения. Параграф 47. Аминокислоты - номер 7, страница 264.

№7 (с. 264)
Условие. №7 (с. 264)
скриншот условия
Химия, 10 класс Учебник, авторы: Колевич Татьяна Александровна, Матулис Вадим Эдвардович, Матулис Виталий Эдвардович, Варакса Игорь Николаевич, издательство Адукацыя i выхаванне, Минск, 2019, страница 264, номер 7, Условие

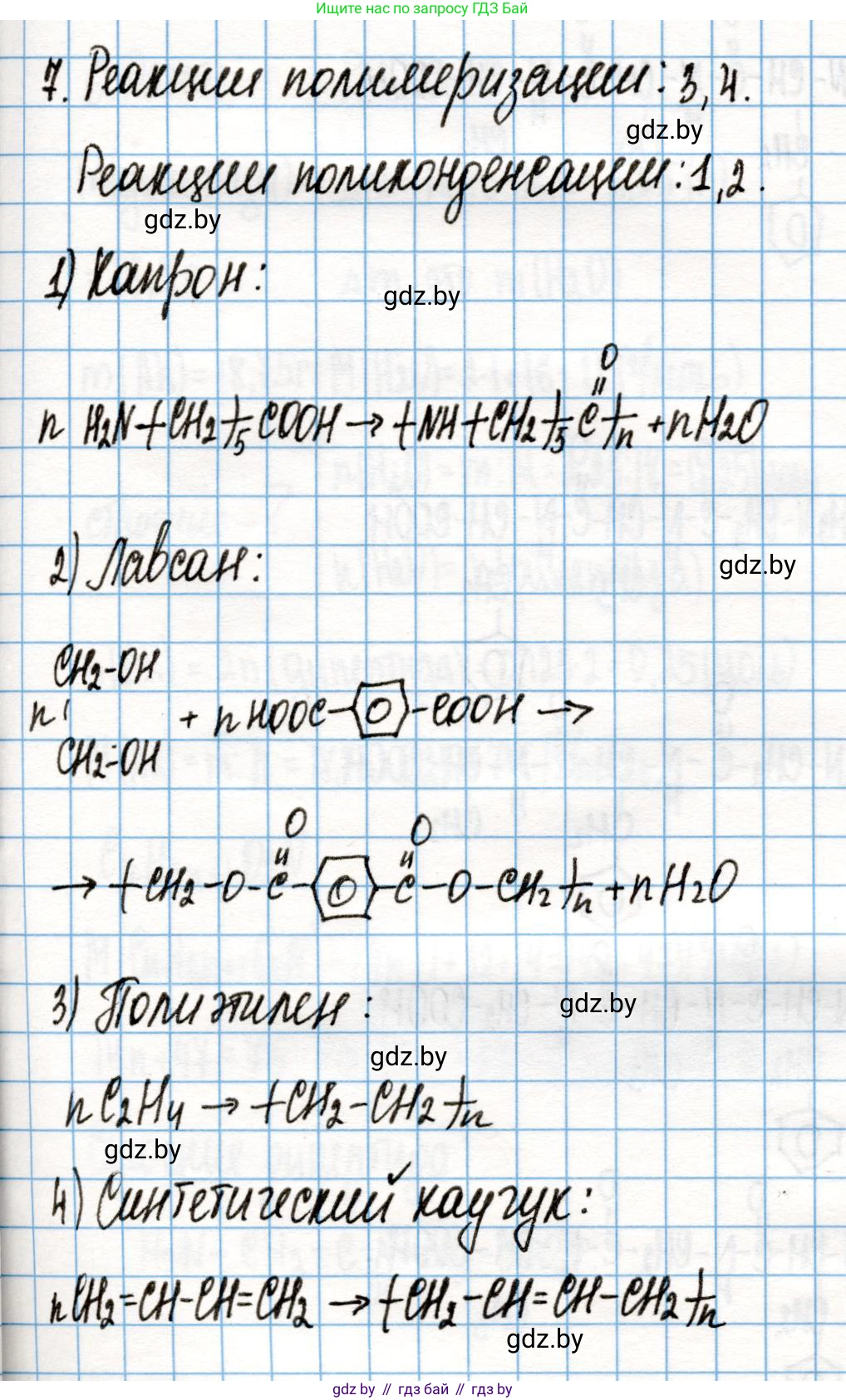
7. Приведите уравнения реакций получения капрона, лавсана, полиэтилена, синтетического каучука из соответствующих мономеров. Какие из приведённых вами реакций являются реакциями полимеризации, а какие — поликонденсации?

Решение. №7 (с. 264)
Химия, 10 класс Учебник, авторы: Колевич Татьяна Александровна, Матулис Вадим Эдвардович, Матулис Виталий Эдвардович, Варакса Игорь Николаевич, издательство Адукацыя i выхаванне, Минск, 2019, страница 264, номер 7, Решение
Решение 2. №7 (с. 264)

Капрон
Капрон (поли-ε-капроамид) является полиамидом. Его получают реакцией поликонденсации ε-аминокапроновой кислоты. В ходе этой реакции аминогруппа (-NH₂) одной молекулы мономера реагирует с карбоксильной группой (-COOH) другой молекулы. При этом образуется пептидная (амидная) связь и выделяется низкомолекулярный побочный продукт — вода.
Уравнение реакции:
$n H_2N-(CH_2)_5-COOH \xrightarrow{t, p} [-HN-(CH_2)_5-CO-]_n + n H_2O$
(ε-аминокапроновая кислота → капрон + вода)
Поскольку реакция образования макромолекулы сопровождается выделением побочного продукта (воды), данный процесс является поликонденсацией.

Ответ: реакция поликонденсации.

Лавсан
Лавсан (полиэтилентерефталат, ПЭТФ) — это полиэфир. Его получают реакцией поликонденсации двух мономеров: двухатомного спирта этиленгликоля и двухосновной ароматической кислоты — терефталевой. Гидроксильные группы спирта реагируют с карбоксильными группами кислоты с образованием сложноэфирных связей и выделением воды.
Уравнение реакции:
$n HO-CH_2-CH_2-OH + n HOOC-C_6H_4-COOH \xrightarrow{t, kat} [-O-CH_2-CH_2-O-CO-C_6H_4-CO-]_n + 2n H_2O$
(этиленгликоль + терефталевая кислота → лавсан + вода)
Так как в результате реакции образуется побочный продукт (вода), этот процесс относится к реакциям поликонденсации.

Ответ: реакция поликонденсации.

Полиэтилен
Полиэтилен получают в результате реакции полимеризации его мономера — этилена (этена). В условиях высокой температуры, давления и в присутствии катализатора происходит разрыв π-связи в молекулах этилена, и они соединяются друг с другом, образуя длинную полимерную цепь.
Уравнение реакции:
$n CH_2=CH_2 \xrightarrow{t, p, kat} [-CH_2-CH_2-]_n$
(этилен → полиэтилен)
Реакция протекает без выделения побочных продуктов, путем простого присоединения молекул мономера друг к другу. Это реакция полимеризации.

Ответ: реакция полимеризации.

Синтетический каучук
В качестве примера синтетического каучука рассмотрим бутадиеновый каучук, который получают реакцией полимеризации бутадиена-1,3 (дивинила). За счет разрыва двойных связей молекулы мономера присоединяются друг к другу.
Уравнение реакции (схема 1,4-присоединения):
$n CH_2=CH-CH=CH_2 \xrightarrow{t, kat} [-CH_2-CH=CH-CH_2-]_n$
(бутадиен-1,3 → полибутадиен)
Данная реакция представляет собой многократное присоединение молекул мономера по месту разрыва кратных связей и протекает без выделения побочных продуктов, поэтому является реакцией полимеризации.

Ответ: реакция полимеризации.

Помогло решение? Оставьте отзыв в комментариях ниже.

Присоединяйтесь к Телеграм-группе @gdz_by_belarus

Присоединиться

Мы подготовили для вас ответ c подробным объяснением домашего задания по химии за 10 класс, для упражнения номер 7 расположенного на странице 264 к учебнику 2019 года издания для учащихся школ и гимназий.

Теперь на нашем сайте ГДЗ.ТОП вы всегда легко и бесплатно найдёте условие с правильным ответом на вопрос «Как решить ДЗ» и «Как сделать» задание по химии к упражнению №7 (с. 264), авторов: Колевич (Татьяна Александровна), Матулис (Вадим Эдвардович), Матулис (Виталий Эдвардович), Варакса (Игорь Николаевич), учебного пособия издательства Адукацыя i выхаванне.