Номер 4, страница 89 - гдз по химии 10 класс учебник Колевич, Матулис
Авторы: Колевич Т. А., Матулис В. Э., Матулис В. Э., Варакса И. Н.
Тип: Учебник
Издательство: Адукацыя i выхаванне
Год издания: 2019 - 2025
Цвет обложки: синий
ISBN: 978-985-599-068-1
Допущено Министерством образования Республики Беларусь
Популярные ГДЗ в 10 классе
Глава 2. Углеводороды. Параграф 16. Получение и применение алкенов - номер 4, страница 89.
№4 (с. 89)
Условие. №4 (с. 89)
скриншот условия
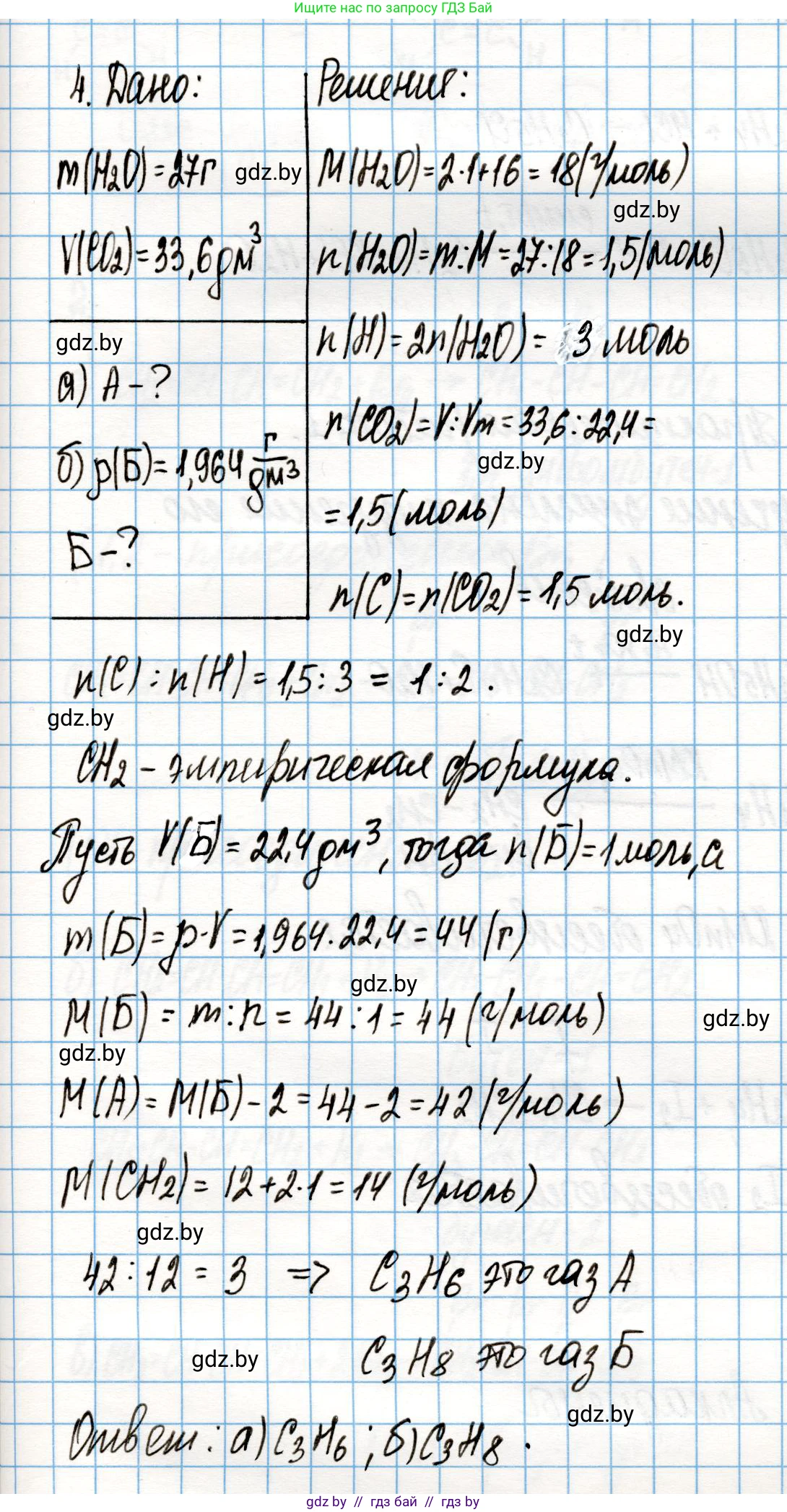
4. При полном сгорании углеводорода $ \text{А} $ образовалось $ 27 \text{ г} $ воды и $ 33,6 \text{ дм}^3 $ (н. у.) углекислого газа.
а) Установите простейшую формулу углеводорода $ \text{А} $.
б) В результате пропускания данного углеводорода в смеси с избытком водорода над никелевым катализатором при нагревании получен углеводород $ \text{Б} $, имеющий плотность $ 1,964 \text{ г/дм}^3 $ (н. у.).
Выведите молекулярные формулы углеводородов $ \text{А} $ и $ \text{Б} $.
Решение. №4 (с. 89)
Решение 2. №4 (с. 89)
Дано:
$m(H_2O) = 27$ г
$V(CO_2) = 33,6$ дм³ (н. у.)
$\rho(Б) = 1,964$ г/дм³ (н. у.)
Найти:
Простейшую формулу А - ?
Молекулярную формулу А - ?
Молекулярную формулу Б - ?
Решение:
а) Установите простейшую формулу углеводорода А.
Запишем общее уравнение сгорания углеводорода $C_xH_y$:
$C_xH_y + (x + \frac{y}{4})O_2 \rightarrow xCO_2 + \frac{y}{2}H_2O$
Найдем количество вещества (моль) продуктов сгорания.
Молярная масса воды $M(H_2O) = 2 \cdot 1 + 16 = 18$ г/моль.
Количество вещества воды:
$n(H_2O) = \frac{m(H_2O)}{M(H_2O)} = \frac{27 \text{ г}}{18 \text{ г/моль}} = 1,5 \text{ моль}$
Молярный объем газа при нормальных условиях (н. у.) $V_m = 22,4$ дм³/моль.
Количество вещества углекислого газа:
$n(CO_2) = \frac{V(CO_2)}{V_m} = \frac{33,6 \text{ дм³}}{22,4 \text{ дм³/моль}} = 1,5 \text{ моль}$
Весь углерод из углеводорода А перешел в $CO_2$, а весь водород — в $H_2O$. Найдем количество вещества атомов углерода и водорода в исходном веществе.
$n(C) = n(CO_2) = 1,5 \text{ моль}$
$n(H) = 2 \cdot n(H_2O) = 2 \cdot 1,5 \text{ моль} = 3 \text{ моль}$
Найдем соотношение индексов $x$ и $y$ в формуле углеводорода $C_xH_y$:
$x : y = n(C) : n(H) = 1,5 : 3$
Для получения целочисленного соотношения разделим оба числа на наименьшее (1,5):
$x : y = \frac{1,5}{1,5} : \frac{3}{1,5} = 1 : 2$
Следовательно, простейшая (эмпирическая) формула углеводорода А — $CH_2$.
Ответ: Простейшая формула углеводорода А - $CH_2$.
б) В результате пропускания данного углеводорода в смеси с избытком водорода над никелевым катализатором при нагревании получен углеводород Б, имеющий плотность 1,964 г/дм³ (н. у.). Выведите молекулярные формулы углеводородов А и Б.
Реакция углеводорода А с избытком водорода на никелевом катализаторе — это реакция гидрирования. В результате такой реакции из непредельного углеводорода (А) образуется предельный углеводород (Б), то есть алкан.
Найдем молярную массу углеводорода Б, используя его плотность при н. у.:
$M(Б) = \rho(Б) \cdot V_m = 1,964 \text{ г/дм³} \cdot 22,4 \text{ дм³/моль} \approx 44 \text{ г/моль}$
Углеводород Б является алканом, общая формула которых $C_n H_{2n+2}$.
Молярная масса алкана вычисляется по формуле $M(C_n H_{2n+2}) = 12n + 1(2n+2) = 14n + 2$.
Приравняем найденную молярную массу к выражению для молярной массы алкана:
$14n + 2 = 44$
$14n = 42$
$n = 3$
Таким образом, молекулярная формула углеводорода Б — $C_3H_{2 \cdot 3 + 2}$, то есть $C_3H_8$ (пропан).
Поскольку углеводород Б получен из углеводорода А путем гидрирования (присоединения водорода), число атомов углерода в обоих веществах одинаково. Следовательно, в молекуле углеводорода А содержится 3 атома углерода.
Зная простейшую формулу углеводорода А ($CH_2$) и число атомов углерода в его молекуле (3), мы можем установить его молекулярную формулу:
Формула А: $(CH_2)_n$. Так как число атомов C равно 3, то $n=3$.
Молекулярная формула углеводорода А: $C_3H_{2 \cdot 3} = C_3H_6$ (пропен или циклопропан).
Ответ: Молекулярная формула углеводорода А - $C_3H_6$. Молекулярная формула углеводорода Б - $C_3H_8$.
Другие задания:
Помогло решение? Оставьте отзыв в комментариях ниже.
Присоединяйтесь к Телеграм-группе @gdz_by_belarus
ПрисоединитьсяМы подготовили для вас ответ c подробным объяснением домашего задания по химии за 10 класс, для упражнения номер 4 расположенного на странице 89 к учебнику 2019 года издания для учащихся школ и гимназий.
Теперь на нашем сайте ГДЗ.ТОП вы всегда легко и бесплатно найдёте условие с правильным ответом на вопрос «Как решить ДЗ» и «Как сделать» задание по химии к упражнению №4 (с. 89), авторов: Колевич (Татьяна Александровна), Матулис (Вадим Эдвардович), Матулис (Виталий Эдвардович), Варакса (Игорь Николаевич), учебного пособия издательства Адукацыя i выхаванне.