Номер 4, страница 20, часть 2 - гдз по математике 3 класс учебник Муравьева, Урбан

Математика, 3 класс Учебник, авторы: Муравьева Галина Леонидовна, Урбан Мария Анатольевна, издательство Национальный институт образования, Минск, 2021, оранжевого цвета, часть 2

Авторы: Муравьева Г. Л., Урбан М. А.

Тип: Учебник

Издательство: Национальный институт образования

Год издания: 2021 - 2025

Часть: 2

Цвет обложки: оранжевый, жёлтый с учениками

ISBN: 978-985-594-794-4 (общ.), 978-985-594-795-1 (ч. 1), 978-985-594-796-8 (ч. 2)

Допущено Министерством образования Республики Беларусь

Популярные ГДЗ в 3 классе

Часть 2. Умножение и деление (продолжение). Урок 77 - номер 4, страница 20.

№4 (с. 20)
Условие. №4 (с. 20)
скриншот условия
Математика, 3 класс Учебник, авторы: Муравьева Галина Леонидовна, Урбан Мария Анатольевна, издательство Национальный институт образования, Минск, 2021, оранжевого цвета, Часть 2, страница 20, номер 4, Условие

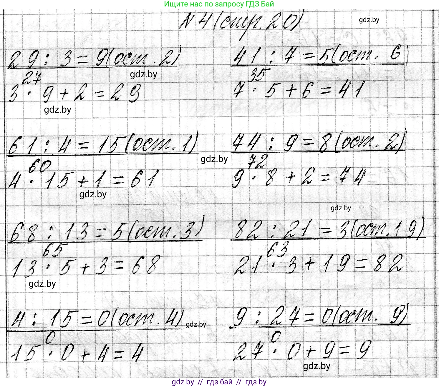
4. Выполни и проверь деление с остатком.

$29 \div 3$

$61 \div 4$

$68 \div 13$

$4 \div 15$

$41 \div 7$

$74 \div 9$

$82 \div 21$

$9 \div 27$

Решение 1. №4 (с. 20)
Математика, 3 класс Учебник, авторы: Муравьева Галина Леонидовна, Урбан Мария Анатольевна, издательство Национальный институт образования, Минск, 2021, оранжевого цвета, Часть 2, страница 20, номер 4, Решение 1 Математика, 3 класс Учебник, авторы: Муравьева Галина Леонидовна, Урбан Мария Анатольевна, издательство Национальный институт образования, Минск, 2021, оранжевого цвета, Часть 2, страница 20, номер 4, Решение 1 (продолжение 2)
Решение 2. №4 (с. 20)
Математика, 3 класс Учебник, авторы: Муравьева Галина Леонидовна, Урбан Мария Анатольевна, издательство Национальный институт образования, Минск, 2021, оранжевого цвета, Часть 2, страница 20, номер 4, Решение 2
Решение 3. №4 (с. 20)
Математика, 3 класс Учебник, авторы: Муравьева Галина Леонидовна, Урбан Мария Анатольевна, издательство Национальный институт образования, Минск, 2021, оранжевого цвета, Часть 2, страница 20, номер 4, Решение 3 Математика, 3 класс Учебник, авторы: Муравьева Галина Леонидовна, Урбан Мария Анатольевна, издательство Национальный институт образования, Минск, 2021, оранжевого цвета, Часть 2, страница 20, номер 4, Решение 3 (продолжение 2)
Решение 4. №4 (с. 20)

29 : 3
Находим ближайшее к 29 меньшее число, которое делится на 3 — это 27.
$27 : 3 = 9$. Это неполное частное.
Находим остаток: $29 - 27 = 2$.
Результат: $29 : 3 = 9$ (ост. $2$).
Проверка:
1. Сравниваем остаток с делителем: $2 < 3$. Условие выполняется.
2. Умножаем неполное частное на делитель и прибавляем остаток: $9 \times 3 + 2 = 27 + 2 = 29$. Получили исходное делимое.
Ответ: 9 (ост. 2)

61 : 4
Находим ближайшее к 61 меньшее число, которое делится на 4 — это 60.
$60 : 4 = 15$. Это неполное частное.
Находим остаток: $61 - 60 = 1$.
Результат: $61 : 4 = 15$ (ост. $1$).
Проверка:
1. Сравниваем остаток с делителем: $1 < 4$. Условие выполняется.
2. Умножаем неполное частное на делитель и прибавляем остаток: $15 \times 4 + 1 = 60 + 1 = 61$. Получили исходное делимое.
Ответ: 15 (ост. 1)

68 : 13
Находим ближайшее к 68 меньшее число, которое делится на 13. Это $13 \times 5 = 65$.
Неполное частное равно 5.
Находим остаток: $68 - 65 = 3$.
Результат: $68 : 13 = 5$ (ост. $3$).
Проверка:
1. Сравниваем остаток с делителем: $3 < 13$. Условие выполняется.
2. Умножаем неполное частное на делитель и прибавляем остаток: $5 \times 13 + 3 = 65 + 3 = 68$. Получили исходное делимое.
Ответ: 5 (ост. 3)

4 : 15
Так как делимое (4) меньше делителя (15), неполное частное равно 0, а остаток равен делимому (4).
Результат: $4 : 15 = 0$ (ост. $4$).
Проверка:
1. Сравниваем остаток с делителем: $4 < 15$. Условие выполняется.
2. Умножаем неполное частное на делитель и прибавляем остаток: $0 \times 15 + 4 = 0 + 4 = 4$. Получили исходное делимое.
Ответ: 0 (ост. 4)

41 : 7
Находим ближайшее к 41 меньшее число, которое делится на 7 — это 35.
$35 : 7 = 5$. Это неполное частное.
Находим остаток: $41 - 35 = 6$.
Результат: $41 : 7 = 5$ (ост. $6$).
Проверка:
1. Сравниваем остаток с делителем: $6 < 7$. Условие выполняется.
2. Умножаем неполное частное на делитель и прибавляем остаток: $5 \times 7 + 6 = 35 + 6 = 41$. Получили исходное делимое.
Ответ: 5 (ост. 6)

74 : 9
Находим ближайшее к 74 меньшее число, которое делится на 9 — это 72.
$72 : 9 = 8$. Это неполное частное.
Находим остаток: $74 - 72 = 2$.
Результат: $74 : 9 = 8$ (ост. $2$).
Проверка:
1. Сравниваем остаток с делителем: $2 < 9$. Условие выполняется.
2. Умножаем неполное частное на делитель и прибавляем остаток: $8 \times 9 + 2 = 72 + 2 = 74$. Получили исходное делимое.
Ответ: 8 (ост. 2)

82 : 21
Находим ближайшее к 82 меньшее число, которое делится на 21. Это $21 \times 3 = 63$.
Неполное частное равно 3.
Находим остаток: $82 - 63 = 19$.
Результат: $82 : 21 = 3$ (ост. $19$).
Проверка:
1. Сравниваем остаток с делителем: $19 < 21$. Условие выполняется.
2. Умножаем неполное частное на делитель и прибавляем остаток: $3 \times 21 + 19 = 63 + 19 = 82$. Получили исходное делимое.
Ответ: 3 (ост. 19)

9 : 27
Так как делимое (9) меньше делителя (27), неполное частное равно 0, а остаток равен делимому (9).
Результат: $9 : 27 = 0$ (ост. $9$).
Проверка:
1. Сравниваем остаток с делителем: $9 < 27$. Условие выполняется.
2. Умножаем неполное частное на делитель и прибавляем остаток: $0 \times 27 + 9 = 0 + 9 = 9$. Получили исходное делимое.
Ответ: 0 (ост. 9)

Помогло решение? Оставьте отзыв в комментариях ниже.

Присоединяйтесь к Телеграм-группе @gdz_by_belarus

Присоединиться

Мы подготовили для вас ответ c подробным объяснением домашего задания по математике за 3 класс, для упражнения номер 4 расположенного на странице 20 для 2-й части к учебнику 2021 года издания для учащихся школ и гимназий.

Теперь на нашем сайте ГДЗ.ТОП вы всегда легко и бесплатно найдёте условие с правильным ответом на вопрос «Как решить ДЗ» и «Как сделать» задание по математике к упражнению №4 (с. 20), авторов: Муравьева (Галина Леонидовна), Урбан (Мария Анатольевна), 2-й части учебного пособия издательства Национальный институт образования.