Номер 27.7, страница 128 - гдз по алгебре 7-9 класс сборник задач Арефьева, Пирютко

Алгебра, 7-9 класс Сборник задач, авторы: Арефьева Ирина Глебовна, Пирютко Ольга Николаевна, издательство Народная асвета, Минск, 2020

Авторы: Арефьева И. Г., Пирютко О. Н.

Тип: Сборник задач

Издательство: Народная асвета

Год издания: 2020 - 2025

Цвет обложки: синий с графиками

Допущено Министерством образования Республики Беларусь

Популярные ГДЗ в 7 классе

8 класс. Параграф 27. Квадратный трехчлен. Разложение квадратного трехчлена на множители - номер 27.7, страница 128.

№27.7 (с. 128)
Условие. №27.7 (с. 128)
скриншот условия
Алгебра, 7-9 класс Сборник задач, авторы: Арефьева Ирина Глебовна, Пирютко Ольга Николаевна, издательство Народная асвета, Минск, 2020, страница 128, номер 27.7, Условие

27.7*. Разложите на множители многочлен:

а) $x^3 - 4x^2 - 5x$;

б) $6x^3 - 5x^2 + x$;

в) $-x^3 + 10x^2 - 25x$;

г) $-2x^3 + 13x^2 - 6x$.

Решение. №27.7 (с. 128)
Алгебра, 7-9 класс Сборник задач, авторы: Арефьева Ирина Глебовна, Пирютко Ольга Николаевна, издательство Народная асвета, Минск, 2020, страница 128, номер 27.7, Решение Алгебра, 7-9 класс Сборник задач, авторы: Арефьева Ирина Глебовна, Пирютко Ольга Николаевна, издательство Народная асвета, Минск, 2020, страница 128, номер 27.7, Решение (продолжение 2)
Решение 2. №27.7 (с. 128)

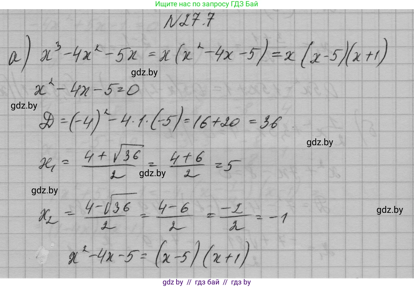
а) $x^3 - 4x^2 - 5x$

Для разложения многочлена на множители сначала вынесем общий множитель $x$ за скобки:

$x^3 - 4x^2 - 5x = x(x^2 - 4x - 5)$

Теперь разложим на множители квадратный трехчлен $x^2 - 4x - 5$. Для этого приравняем его к нулю и найдем корни получившегося квадратного уравнения $x^2 - 4x - 5 = 0$.

Используем формулу для корней квадратного уравнения $x_{1,2} = \frac{-b \pm \sqrt{b^2-4ac}}{2a}$.

Дискриминант $D = (-4)^2 - 4 \cdot 1 \cdot (-5) = 16 + 20 = 36$.

Корни уравнения: $x_1 = \frac{4 + \sqrt{36}}{2} = \frac{4+6}{2} = 5$; $x_2 = \frac{4 - \sqrt{36}}{2} = \frac{4-6}{2} = -1$.

Формула разложения квадратного трехчлена: $ax^2+bx+c = a(x-x_1)(x-x_2)$.

Подставляем наши значения: $x^2 - 4x - 5 = 1 \cdot (x-5)(x-(-1)) = (x-5)(x+1)$.

Собираем все вместе:

$x^3 - 4x^2 - 5x = x(x-5)(x+1)$.

Ответ: $x(x-5)(x+1)$.

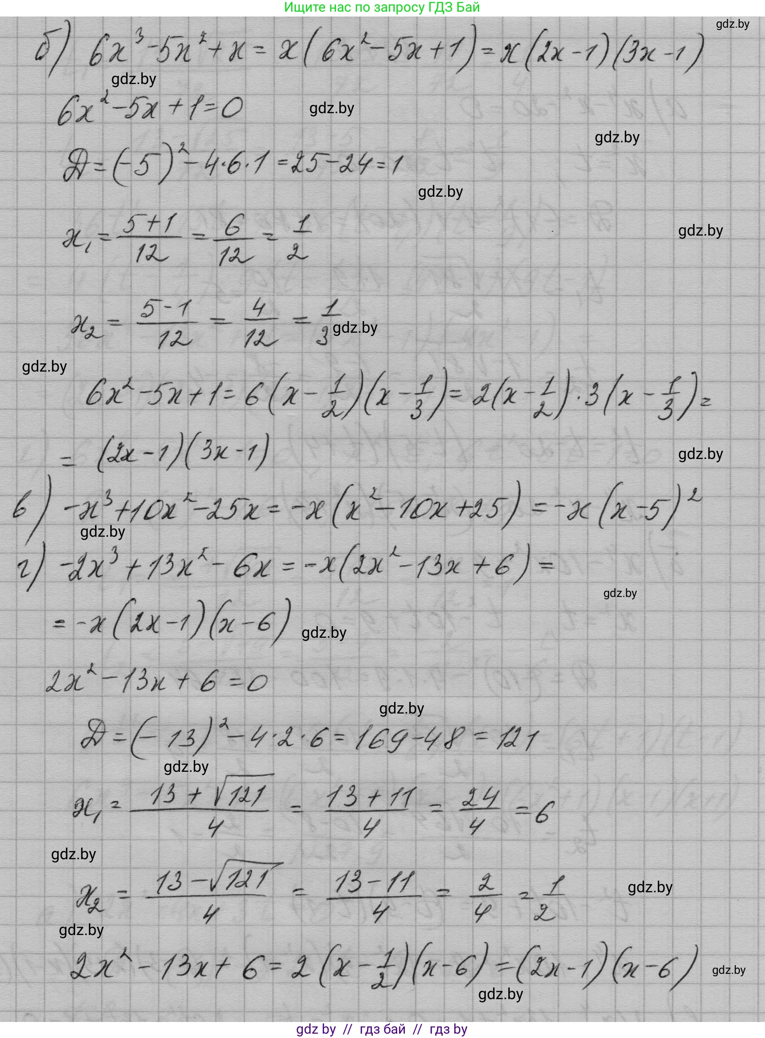
б) $6x^3 - 5x^2 + x$

Вынесем общий множитель $x$ за скобки:

$x(6x^2 - 5x + 1)$

Теперь разложим на множители квадратный трехчлен $6x^2 - 5x + 1$. Найдем корни уравнения $6x^2 - 5x + 1 = 0$.

Дискриминант $D = (-5)^2 - 4 \cdot 6 \cdot 1 = 25 - 24 = 1$.

Корни уравнения: $x_1 = \frac{5 + \sqrt{1}}{2 \cdot 6} = \frac{6}{12} = \frac{1}{2}$; $x_2 = \frac{5 - \sqrt{1}}{2 \cdot 6} = \frac{4}{12} = \frac{1}{3}$.

Используя формулу $ax^2+bx+c = a(x-x_1)(x-x_2)$, получаем:

$6x^2 - 5x + 1 = 6(x-\frac{1}{2})(x-\frac{1}{3}) = 2 \cdot 3 \cdot (x-\frac{1}{2})(x-\frac{1}{3}) = (2x-1)(3x-1)$.

Таким образом, итоговое разложение:

$6x^3 - 5x^2 + x = x(2x-1)(3x-1)$.

Ответ: $x(2x-1)(3x-1)$.

в) $-x^3 + 10x^2 - 25x$

Вынесем общий множитель $-x$ за скобки, чтобы старший коэффициент в скобках стал положительным:

$-x(x^2 - 10x + 25)$

Выражение в скобках $x^2 - 10x + 25$ является полным квадратом разности. Воспользуемся формулой квадрата разности $a^2 - 2ab + b^2 = (a-b)^2$.

В нашем случае $a=x$ и $b=5$. Проверяем: $x^2 - 2 \cdot x \cdot 5 + 5^2 = x^2 - 10x + 25$.

Следовательно, $x^2 - 10x + 25 = (x-5)^2$.

Итоговое разложение многочлена:

$-x^3 + 10x^2 - 25x = -x(x-5)^2$.

Ответ: $-x(x-5)^2$.

г) $-2x^3 + 13x^2 - 6x$

Вынесем общий множитель $-x$ за скобки:

$-x(2x^2 - 13x + 6)$

Теперь разложим на множители квадратный трехчлен $2x^2 - 13x + 6$. Найдем корни уравнения $2x^2 - 13x + 6 = 0$.

Дискриминант $D = (-13)^2 - 4 \cdot 2 \cdot 6 = 169 - 48 = 121 = 11^2$.

Корни уравнения: $x_1 = \frac{13 + 11}{2 \cdot 2} = \frac{24}{4} = 6$; $x_2 = \frac{13 - 11}{2 \cdot 2} = \frac{2}{4} = \frac{1}{2}$.

Используя формулу $ax^2+bx+c = a(x-x_1)(x-x_2)$, получаем:

$2x^2 - 13x + 6 = 2(x-6)(x-\frac{1}{2}) = (x-6)(2x-1)$.

Таким образом, итоговое разложение:

$-2x^3 + 13x^2 - 6x = -x(x-6)(2x-1)$.

Ответ: $-x(x-6)(2x-1)$.

Помогло решение? Оставьте отзыв в комментариях ниже.

Присоединяйтесь к Телеграм-группе @gdz_by_belarus

Присоединиться

Мы подготовили для вас ответ c подробным объяснением домашего задания по алгебре за 7-9 класс, для упражнения номер 27.7 расположенного на странице 128 к сборнику задач 2020 года издания для учащихся школ и гимназий.

Теперь на нашем сайте ГДЗ.ТОП вы всегда легко и бесплатно найдёте условие с правильным ответом на вопрос «Как решить ДЗ» и «Как сделать» задание по алгебре к упражнению №27.7 (с. 128), авторов: Арефьева (Ирина Глебовна), Пирютко (Ольга Николаевна), учебного пособия издательства Народная асвета.