Номер 27.10, страница 128 - гдз по алгебре 7-9 класс сборник задач Арефьева, Пирютко
Авторы: Арефьева И. Г., Пирютко О. Н.
Тип: Сборник задач
Издательство: Народная асвета
Год издания: 2020 - 2025
Цвет обложки: синий с графиками
Допущено Министерством образования Республики Беларусь
Популярные ГДЗ в 7 классе
8 класс. Параграф 27. Квадратный трехчлен. Разложение квадратного трехчлена на множители - номер 27.10, страница 128.
№27.10 (с. 128)
Условие. №27.10 (с. 128)
скриншот условия
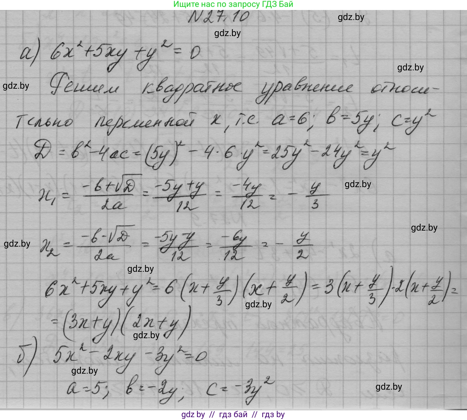
27.10*. Представьте выражение в виде произведения:
a) $6x^2 + 5xy + y^2$;
б) $5x^2 - 2xy - 3y^2$.
Решение. №27.10 (с. 128)
Решение 2. №27.10 (с. 128)
а) $6x^2 + 5xy + y^2$
Для того чтобы разложить данный многочлен на множители, воспользуемся методом группировки. Для этого представим средний член $5xy$ в виде суммы двух слагаемых. Нам нужно найти два одночлена, сумма которых равна $5xy$, а произведение равно произведению крайних членов, то есть $(6x^2)(y^2) = 6x^2y^2$.
Такими одночленами являются $2xy$ и $3xy$, так как $2xy + 3xy = 5xy$ и $(2xy)(3xy) = 6x^2y^2$.
Теперь подставим их в исходное выражение: $6x^2 + 5xy + y^2 = 6x^2 + 2xy + 3xy + y^2$
Сгруппируем слагаемые и вынесем общие множители за скобки из каждой группы: $(6x^2 + 2xy) + (3xy + y^2) = 2x(3x + y) + y(3x + y)$
Теперь мы видим общий множитель $(3x + y)$, который также можно вынести за скобки: $(3x + y)(2x + y)$
Ответ: $(3x + y)(2x + y)$
б) $5x^2 - 2xy - 3y^2$
Используем тот же метод. Нам нужно представить $-2xy$ в виде суммы двух слагаемых, произведение которых равно $(5x^2)(-3y^2) = -15x^2y^2$.
Такими одночленами будут $3xy$ и $-5xy$, так как $3xy - 5xy = -2xy$ и $(3xy)(-5xy) = -15x^2y^2$.
Подставим их в выражение: $5x^2 - 2xy - 3y^2 = 5x^2 + 3xy - 5xy - 3y^2$
Сгруппируем слагаемые. Удобнее сгруппировать первое слагаемое с третьим, а второе с четвертым, чтобы получить одинаковые скобки: $(5x^2 - 5xy) + (3xy - 3y^2) = 5x(x - y) + 3y(x - y)$
Вынесем общий множитель $(x - y)$ за скобки: $(x - y)(5x + 3y)$
Ответ: $(x - y)(5x + 3y)$
Другие задания:
Помогло решение? Оставьте отзыв в комментариях ниже.
Присоединяйтесь к Телеграм-группе @gdz_by_belarus
ПрисоединитьсяМы подготовили для вас ответ c подробным объяснением домашего задания по алгебре за 7-9 класс, для упражнения номер 27.10 расположенного на странице 128 к сборнику задач 2020 года издания для учащихся школ и гимназий.
Теперь на нашем сайте ГДЗ.ТОП вы всегда легко и бесплатно найдёте условие с правильным ответом на вопрос «Как решить ДЗ» и «Как сделать» задание по алгебре к упражнению №27.10 (с. 128), авторов: Арефьева (Ирина Глебовна), Пирютко (Ольга Николаевна), учебного пособия издательства Народная асвета.