Номер 28.2, страница 129 - гдз по алгебре 7-9 класс сборник задач Арефьева, Пирютко

Алгебра, 7-9 класс Сборник задач, авторы: Арефьева Ирина Глебовна, Пирютко Ольга Николаевна, издательство Народная асвета, Минск, 2020

Авторы: Арефьева И. Г., Пирютко О. Н.

Тип: Сборник задач

Издательство: Народная асвета

Год издания: 2020 - 2025

Цвет обложки: синий с графиками

Допущено Министерством образования Республики Беларусь

Популярные ГДЗ в 7 классе

8 класс. Параграф 28. Решение целых рациональных уравнений, сводящихся к квадратным уравнениям - номер 28.2, страница 129.

№28.2 (с. 129)
Условие. №28.2 (с. 129)
скриншот условия
Алгебра, 7-9 класс Сборник задач, авторы: Арефьева Ирина Глебовна, Пирютко Ольга Николаевна, издательство Народная асвета, Минск, 2020, страница 129, номер 28.2, Условие

28.2. Решите уравнение двумя способами:

а) $(x-1)^2-5(x-1)-6=0;$

б) $(x^2+5)^2-2(x^2+5)-15=0.$

Решение. №28.2 (с. 129)
Алгебра, 7-9 класс Сборник задач, авторы: Арефьева Ирина Глебовна, Пирютко Ольга Николаевна, издательство Народная асвета, Минск, 2020, страница 129, номер 28.2, Решение Алгебра, 7-9 класс Сборник задач, авторы: Арефьева Ирина Глебовна, Пирютко Ольга Николаевна, издательство Народная асвета, Минск, 2020, страница 129, номер 28.2, Решение (продолжение 2) Алгебра, 7-9 класс Сборник задач, авторы: Арефьева Ирина Глебовна, Пирютко Ольга Николаевна, издательство Народная асвета, Минск, 2020, страница 129, номер 28.2, Решение (продолжение 3)
Решение 2. №28.2 (с. 129)

а) $(x-1)^2 - 5(x-1) - 6 = 0$

Способ 1: Метод замены переменной.

Этот тип уравнений удобно решать, вводя новую переменную. Пусть $t = x - 1$. Тогда исходное уравнение можно переписать в виде квадратного уравнения относительно $t$:

$t^2 - 5t - 6 = 0$

Решим это уравнение. Можно использовать формулу корней квадратного уравнения или теорему Виета. По теореме Виета, сумма корней $t_1 + t_2 = 5$, а их произведение $t_1 \cdot t_2 = -6$. Легко подобрать корни:

$t_1 = 6$ и $t_2 = -1$.

Теперь выполним обратную замену, чтобы найти значения $x$:

1) Если $t = 6$, то $x - 1 = 6$. Отсюда $x_1 = 6 + 1 = 7$.

2) Если $t = -1$, то $x - 1 = -1$. Отсюда $x_2 = -1 + 1 = 0$.

Способ 2: Раскрытие скобок.

Второй способ заключается в том, чтобы раскрыть все скобки и привести уравнение к стандартному виду квадратного уравнения $ax^2 + bx + c = 0$.

Раскроем скобки в уравнении $(x - 1)^2 - 5(x - 1) - 6 = 0$:

$(x^2 - 2x + 1) - (5x - 5) - 6 = 0$

$x^2 - 2x + 1 - 5x + 5 - 6 = 0$

Приведем подобные слагаемые:

$x^2 + (-2x - 5x) + (1 + 5 - 6) = 0$

$x^2 - 7x = 0$

Это неполное квадратное уравнение. Вынесем общий множитель $x$ за скобки:

$x(x - 7) = 0$

Произведение равно нулю, когда хотя бы один из множителей равен нулю:

$x_1 = 0$ или $x - 7 = 0$, что дает $x_2 = 7$.

Оба способа приводят к одинаковым корням.

Ответ: 0; 7.


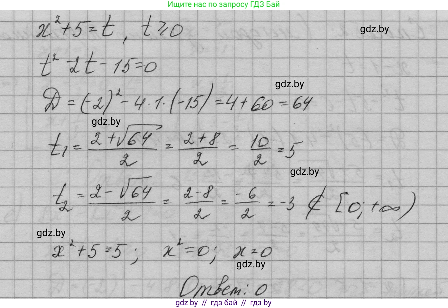
б) $(x^2+5)^2 - 2(x^2+5) - 15 = 0$

Способ 1: Метод замены переменной.

Это биквадратное уравнение, которое также эффективно решается заменой переменной. Пусть $t = x^2 + 5$. Тогда уравнение принимает вид:

$t^2 - 2t - 15 = 0$

Решим полученное квадратное уравнение относительно $t$. По теореме Виета, $t_1 + t_2 = 2$ и $t_1 \cdot t_2 = -15$. Корнями являются:

$t_1 = 5$ и $t_2 = -3$.

Выполним обратную замену:

1) Если $t = 5$, то $x^2 + 5 = 5$.

$x^2 = 0$

$x = 0$

2) Если $t = -3$, то $x^2 + 5 = -3$.

$x^2 = -8$

Данное уравнение не имеет действительных корней, так как квадрат любого действительного числа не может быть отрицательным ($x^2 \ge 0$).

Способ 2: Раскрытие скобок.

Раскроем скобки и приведем подобные слагаемые, чтобы получить уравнение в стандартном виде.

$(x^2 + 5)^2 - 2(x^2 + 5) - 15 = 0$

$(x^4 + 10x^2 + 25) - (2x^2 + 10) - 15 = 0$

$x^4 + 10x^2 + 25 - 2x^2 - 10 - 15 = 0$

Приведем подобные члены:

$x^4 + (10x^2 - 2x^2) + (25 - 10 - 15) = 0$

$x^4 + 8x^2 = 0$

Вынесем общий множитель $x^2$ за скобки:

$x^2(x^2 + 8) = 0$

Произведение равно нулю, если один из множителей равен нулю:

1) $x^2 = 0$, откуда $x = 0$.

2) $x^2 + 8 = 0$, откуда $x^2 = -8$. Это уравнение не имеет действительных корней, так как $x^2$ всегда неотрицательно.

Таким образом, единственным решением уравнения является $x=0$.

Ответ: 0.

Помогло решение? Оставьте отзыв в комментариях ниже.

Присоединяйтесь к Телеграм-группе @gdz_by_belarus

Присоединиться

Мы подготовили для вас ответ c подробным объяснением домашего задания по алгебре за 7-9 класс, для упражнения номер 28.2 расположенного на странице 129 к сборнику задач 2020 года издания для учащихся школ и гимназий.

Теперь на нашем сайте ГДЗ.ТОП вы всегда легко и бесплатно найдёте условие с правильным ответом на вопрос «Как решить ДЗ» и «Как сделать» задание по алгебре к упражнению №28.2 (с. 129), авторов: Арефьева (Ирина Глебовна), Пирютко (Ольга Николаевна), учебного пособия издательства Народная асвета.