Номер 28.4, страница 129 - гдз по алгебре 7-9 класс сборник задач Арефьева, Пирютко

Алгебра, 7-9 класс Сборник задач, авторы: Арефьева Ирина Глебовна, Пирютко Ольга Николаевна, издательство Народная асвета, Минск, 2020

Авторы: Арефьева И. Г., Пирютко О. Н.

Тип: Сборник задач

Издательство: Народная асвета

Год издания: 2020 - 2025

Цвет обложки: синий с графиками

Допущено Министерством образования Республики Беларусь

Популярные ГДЗ в 7 классе

8 класс. Параграф 28. Решение целых рациональных уравнений, сводящихся к квадратным уравнениям - номер 28.4, страница 129.

№28.4 (с. 129)
Условие. №28.4 (с. 129)
скриншот условия
Алгебра, 7-9 класс Сборник задач, авторы: Арефьева Ирина Глебовна, Пирютко Ольга Николаевна, издательство Народная асвета, Минск, 2020, страница 129, номер 28.4, Условие

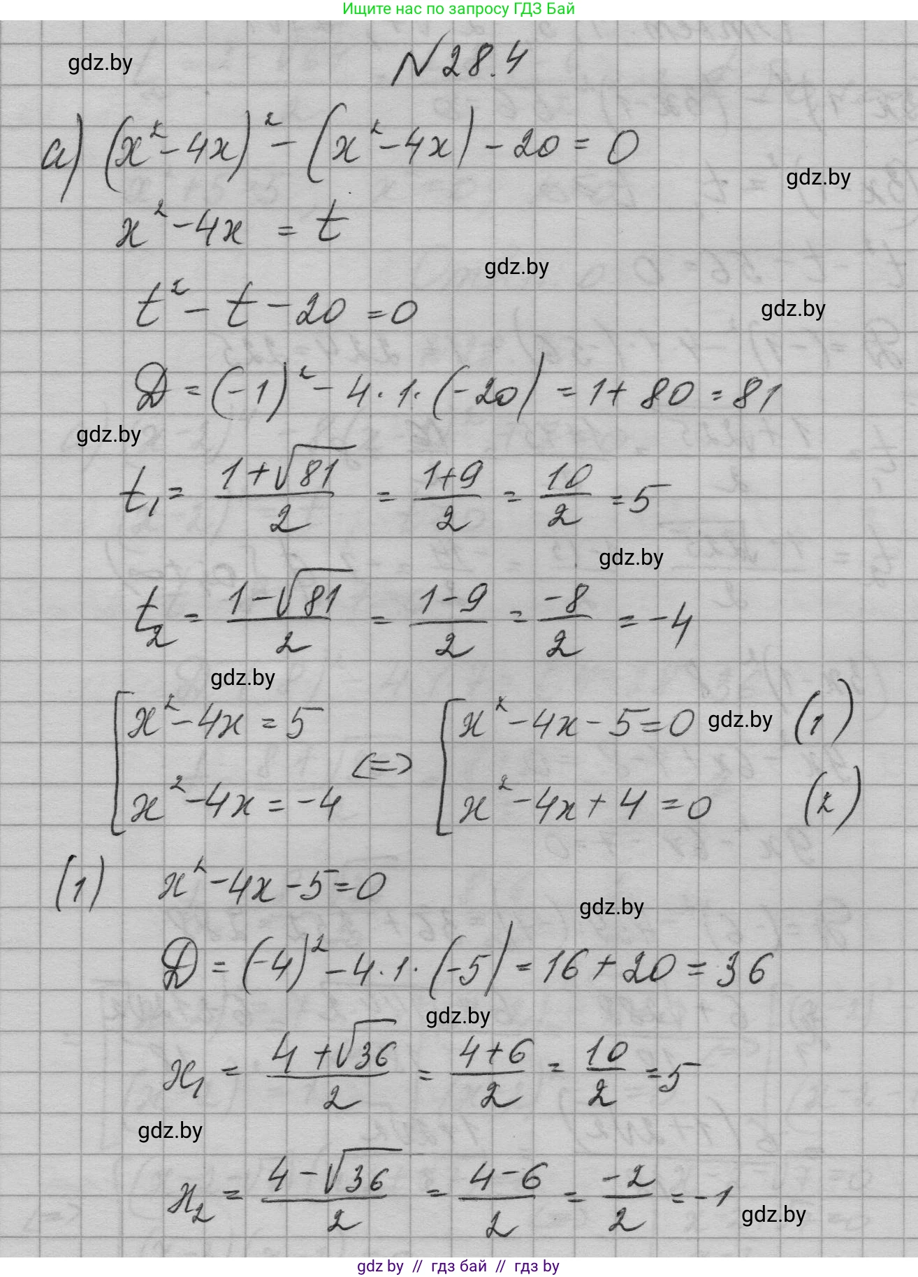
28.4. Методом замены переменной решите уравнение:

a) $(x^2 - 4x)^2 - (x^2 - 4x) - 20 = 0;$

б) $(x^2 + x)^2 + 3(x^2 + x) - 10 = 0;$

в) $2(x^2 - x + 1)^2 - 3(x^2 - x + 1) - 2 = 0;$

г) $(x^2 - 3x + 3)^2 - 2(x^2 - 3x + 3) + 1 = 0.$

Решение. №28.4 (с. 129)
Алгебра, 7-9 класс Сборник задач, авторы: Арефьева Ирина Глебовна, Пирютко Ольга Николаевна, издательство Народная асвета, Минск, 2020, страница 129, номер 28.4, Решение Алгебра, 7-9 класс Сборник задач, авторы: Арефьева Ирина Глебовна, Пирютко Ольга Николаевна, издательство Народная асвета, Минск, 2020, страница 129, номер 28.4, Решение (продолжение 2) Алгебра, 7-9 класс Сборник задач, авторы: Арефьева Ирина Глебовна, Пирютко Ольга Николаевна, издательство Народная асвета, Минск, 2020, страница 129, номер 28.4, Решение (продолжение 3) Алгебра, 7-9 класс Сборник задач, авторы: Арефьева Ирина Глебовна, Пирютко Ольга Николаевна, издательство Народная асвета, Минск, 2020, страница 129, номер 28.4, Решение (продолжение 4)
Решение 2. №28.4 (с. 129)

а) $(x^2-4x)^2 - (x^2-4x) - 20 = 0$

Введем замену переменной. Пусть $t = x^2 - 4x$. Тогда исходное уравнение примет вид:
$t^2 - t - 20 = 0$
Это квадратное уравнение относительно переменной $t$. Решим его с помощью дискриминанта:
$D = b^2 - 4ac = (-1)^2 - 4 \cdot 1 \cdot (-20) = 1 + 80 = 81$
$t_1 = \frac{-b + \sqrt{D}}{2a} = \frac{1 + \sqrt{81}}{2 \cdot 1} = \frac{1+9}{2} = 5$
$t_2 = \frac{-b - \sqrt{D}}{2a} = \frac{1 - \sqrt{81}}{2 \cdot 1} = \frac{1-9}{2} = -4$
Теперь выполним обратную замену для каждого найденного значения $t$.
1) Если $t=5$, то:
$x^2 - 4x = 5$
$x^2 - 4x - 5 = 0$
$D = (-4)^2 - 4 \cdot 1 \cdot (-5) = 16 + 20 = 36$
$x_1 = \frac{4 + \sqrt{36}}{2} = \frac{4+6}{2} = 5$
$x_2 = \frac{4 - \sqrt{36}}{2} = \frac{4-6}{2} = -1$
2) Если $t=-4$, то:
$x^2 - 4x = -4$
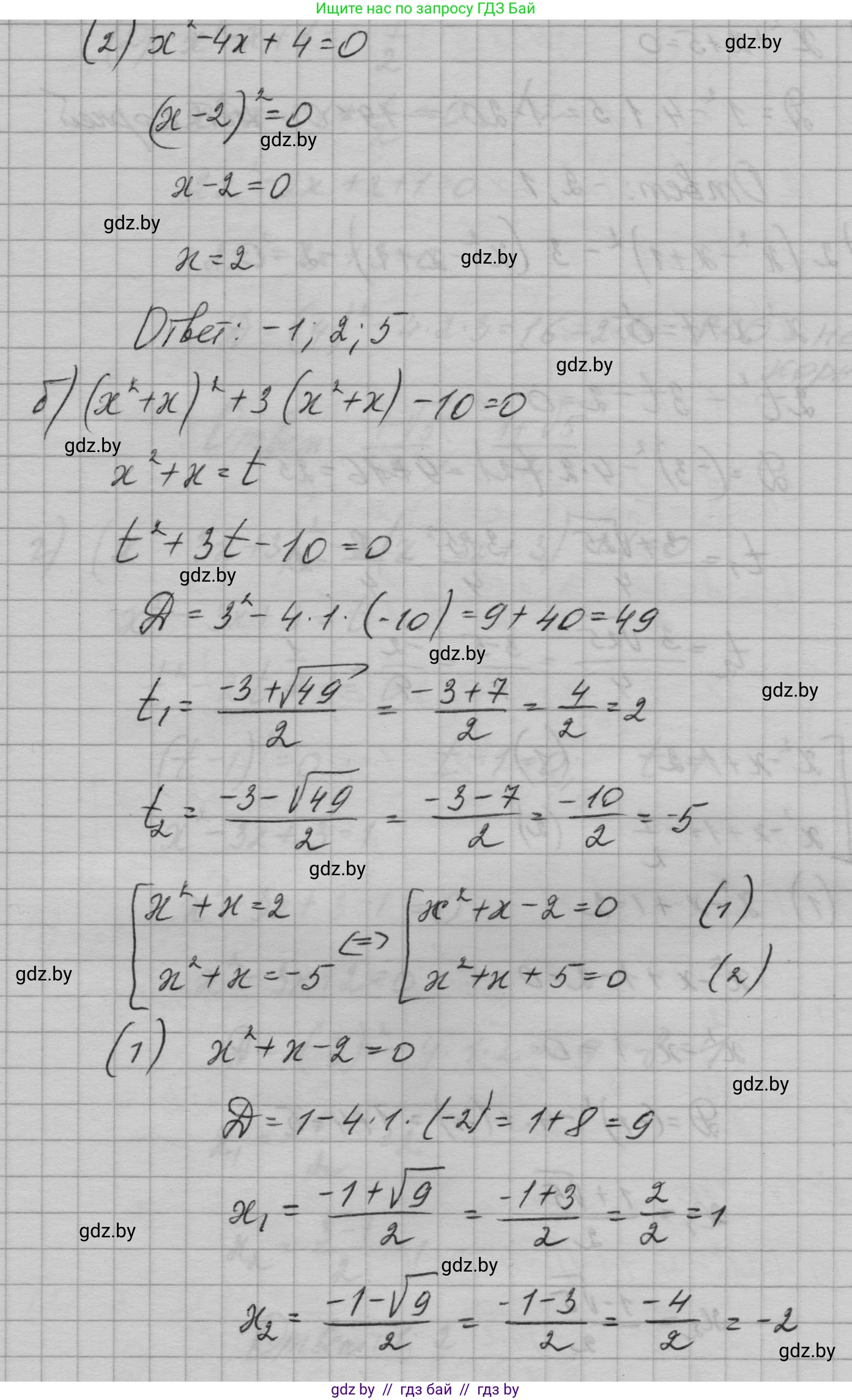
$x^2 - 4x + 4 = 0$
Это уравнение является полным квадратом:
$(x-2)^2 = 0$
$x-2=0$
$x_3 = 2$
Таким образом, исходное уравнение имеет три корня.

Ответ: $-1; 2; 5$.

б) $(x^2+x)^2 + 3(x^2+x) - 10 = 0$

Введем замену переменной. Пусть $t = x^2 + x$. Уравнение примет вид:
$t^2 + 3t - 10 = 0$
Решим это квадратное уравнение. По теореме Виета, сумма корней равна $-3$, а произведение равно $-10$. Подбором находим корни $t_1=2$ и $t_2=-5$.
Или через дискриминант:
$D = 3^2 - 4 \cdot 1 \cdot (-10) = 9 + 40 = 49$
$t_1 = \frac{-3 + \sqrt{49}}{2} = \frac{-3+7}{2} = 2$
$t_2 = \frac{-3 - \sqrt{49}}{2} = \frac{-3-7}{2} = -5$
Выполним обратную замену.
1) Если $t=2$, то:
$x^2 + x = 2$
$x^2 + x - 2 = 0$
$D = 1^2 - 4 \cdot 1 \cdot (-2) = 1 + 8 = 9$
$x_1 = \frac{-1 + \sqrt{9}}{2} = \frac{-1+3}{2} = 1$
$x_2 = \frac{-1 - \sqrt{9}}{2} = \frac{-1-3}{2} = -2$
2) Если $t=-5$, то:
$x^2 + x = -5$
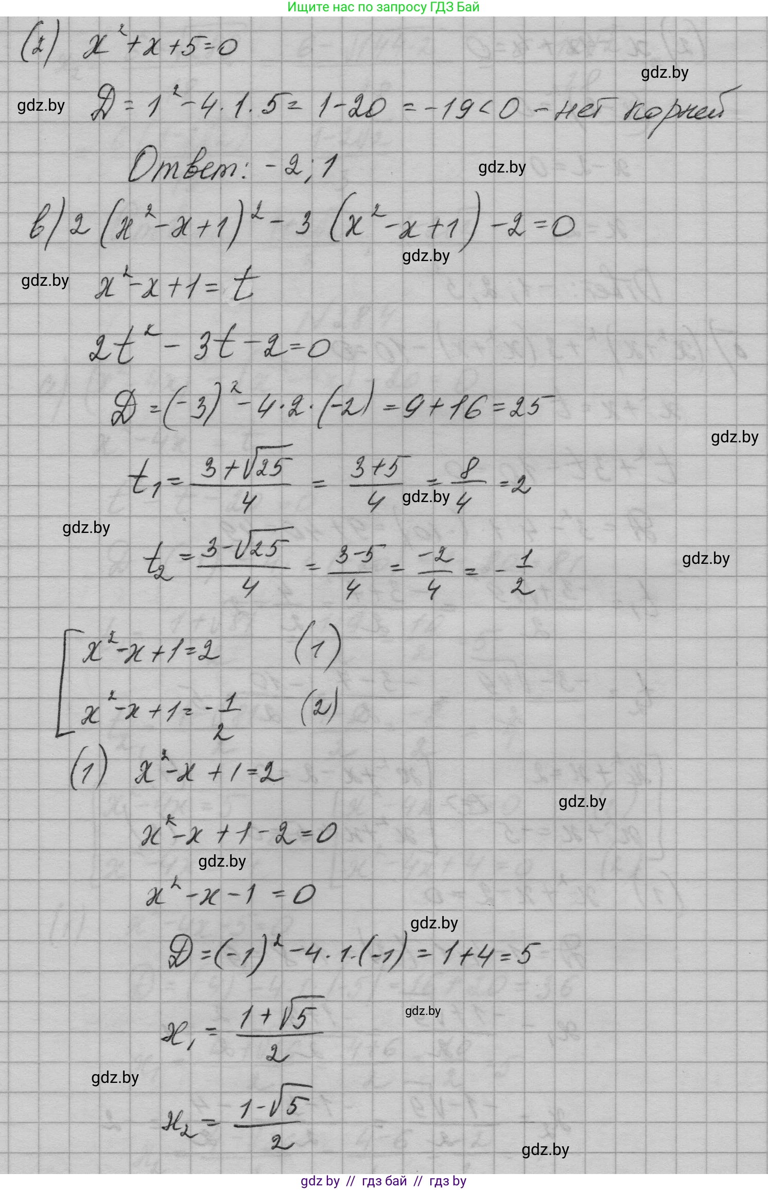
$x^2 + x + 5 = 0$
$D = 1^2 - 4 \cdot 1 \cdot 5 = 1 - 20 = -19$
Так как $D < 0$, в этом случае действительных корней нет.

Ответ: $-2; 1$.

в) $2(x^2-x+1)^2 - 3(x^2-x+1) - 2 = 0$

Введем замену переменной. Пусть $t = x^2 - x + 1$. Уравнение преобразуется к виду:
$2t^2 - 3t - 2 = 0$
Решим это квадратное уравнение:
$D = (-3)^2 - 4 \cdot 2 \cdot (-2) = 9 + 16 = 25$
$t_1 = \frac{3 + \sqrt{25}}{2 \cdot 2} = \frac{3+5}{4} = 2$
$t_2 = \frac{3 - \sqrt{25}}{2 \cdot 2} = \frac{3-5}{4} = -\frac{2}{4} = -0.5$
Выполним обратную замену.
1) Если $t=2$, то:
$x^2 - x + 1 = 2$
$x^2 - x - 1 = 0$
$D = (-1)^2 - 4 \cdot 1 \cdot (-1) = 1 + 4 = 5$
$x_1 = \frac{1 + \sqrt{5}}{2}$
$x_2 = \frac{1 - \sqrt{5}}{2}$
2) Если $t=-0.5$, то:
$x^2 - x + 1 = -0.5$
$x^2 - x + 1.5 = 0$
$D = (-1)^2 - 4 \cdot 1 \cdot 1.5 = 1 - 6 = -5$
Так как $D < 0$, в этом случае действительных корней нет.

Ответ: $\frac{1 \pm \sqrt{5}}{2}$.

г) $(x^2-3x+3)^2 - 2(x^2-3x+3) + 1 = 0$

Введем замену переменной. Пусть $t = x^2 - 3x + 3$. Тогда уравнение можно переписать так:
$t^2 - 2t + 1 = 0$
Левая часть уравнения является формулой квадрата разности:
$(t-1)^2 = 0$
$t-1=0$
$t=1$
Выполним обратную замену:
$x^2 - 3x + 3 = 1$
$x^2 - 3x + 2 = 0$
Решим полученное квадратное уравнение. По теореме Виета:
$x_1 + x_2 = 3$
$x_1 \cdot x_2 = 2$
Отсюда корни $x_1 = 1$ и $x_2 = 2$.

Ответ: $1; 2$.

Помогло решение? Оставьте отзыв в комментариях ниже.

Присоединяйтесь к Телеграм-группе @gdz_by_belarus

Присоединиться

Мы подготовили для вас ответ c подробным объяснением домашего задания по алгебре за 7-9 класс, для упражнения номер 28.4 расположенного на странице 129 к сборнику задач 2020 года издания для учащихся школ и гимназий.

Теперь на нашем сайте ГДЗ.ТОП вы всегда легко и бесплатно найдёте условие с правильным ответом на вопрос «Как решить ДЗ» и «Как сделать» задание по алгебре к упражнению №28.4 (с. 129), авторов: Арефьева (Ирина Глебовна), Пирютко (Ольга Николаевна), учебного пособия издательства Народная асвета.