Номер 280, страница 62 - гдз по химии 9 класс сборник задач Хвалюк, Резяпкин

Химия, 9 класс Сборник задач, авторы: Хвалюк Виктор Николаевич, Резяпкин Виктор Ильич, издательство Адукацыя i выхаванне, Минск, 2020, салатового цвета

Авторы: Хвалюк В. Н., Резяпкин В. И.

Тип: Сборник задач

Издательство: Адукацыя i выхаванне

Год издания: 2020 - 2025

Цвет обложки: салатовый, голубой с колбами

ISBN: 978-985-599-248-7

Допущено Министерством образования Республики Беларусь

Популярные ГДЗ в 9 классе

Глава 3. Неметаллы. Параграф 17. Хлориды. Применение соляной кислоты и хлоридов - номер 280, страница 62.

№280 (с. 62)
Условие. №280 (с. 62)
скриншот условия
Химия, 9 класс Сборник задач, авторы: Хвалюк Виктор Николаевич, Резяпкин Виктор Ильич, издательство Адукацыя i выхаванне, Минск, 2020, салатового цвета, страница 62, номер 280, Условие

280. Приведите молекулярные и ионные уравнения реакций, с помощью которых можно осуществить следующие превращения:

а) $KCl \rightarrow Cl_2 \rightarrow Br_2 \rightarrow HBr \rightarrow CaBr_2$;

б) $Fe \rightarrow FeCl_2 \rightarrow FeCl_3 \rightarrow CaCl_2 \rightarrow AgCl$;

в) $H_2 \rightarrow HCl \rightarrow CaCl_2 \rightarrow Cl_2 \rightarrow CuCl_2 \rightarrow KCl \rightarrow AgCl$.

Решение. №280 (с. 62)
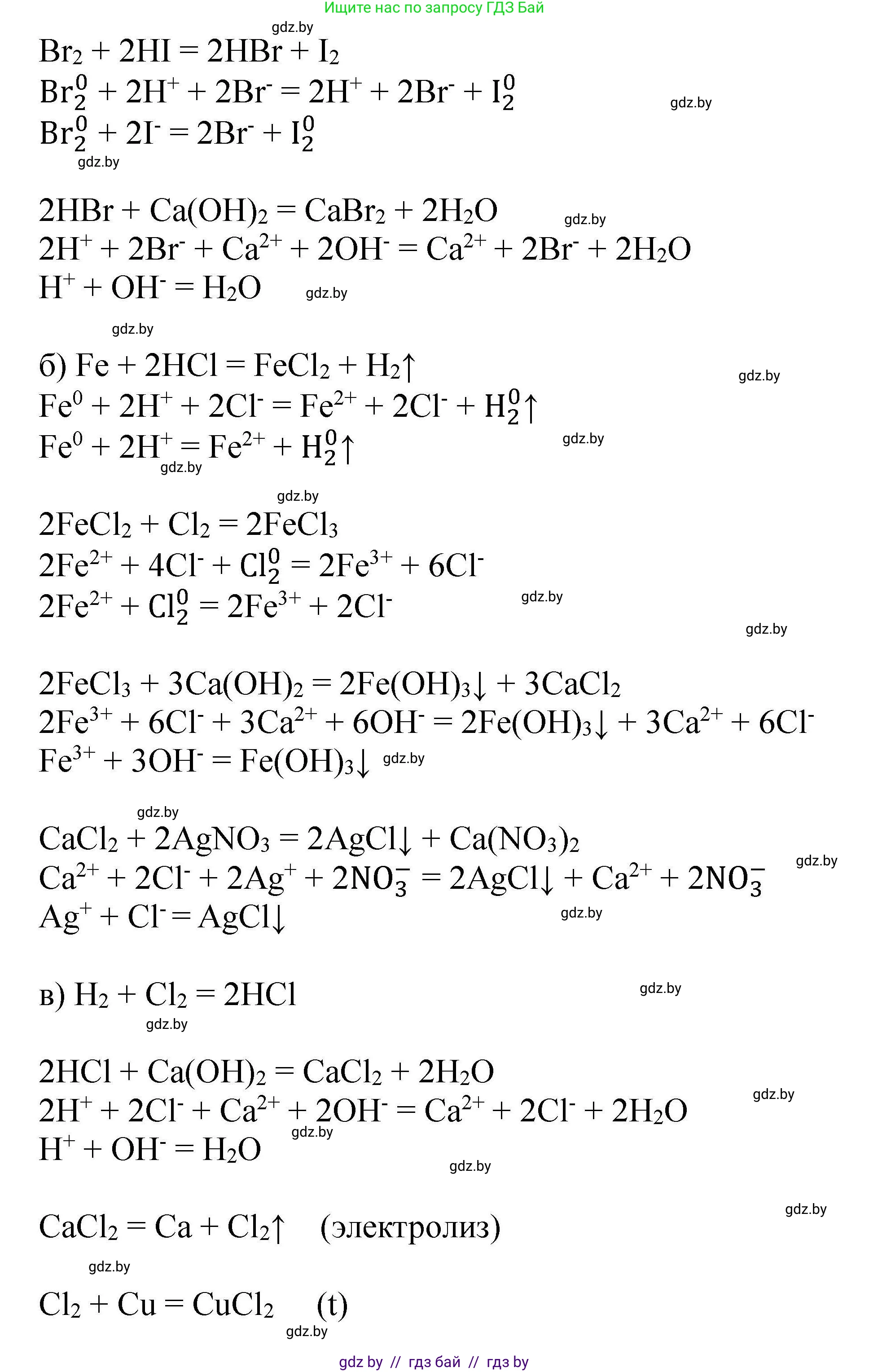
Химия, 9 класс Сборник задач, авторы: Хвалюк Виктор Николаевич, Резяпкин Виктор Ильич, издательство Адукацыя i выхаванне, Минск, 2020, салатового цвета, страница 62, номер 280, Решение Химия, 9 класс Сборник задач, авторы: Хвалюк Виктор Николаевич, Резяпкин Виктор Ильич, издательство Адукацыя i выхаванне, Минск, 2020, салатового цвета, страница 62, номер 280, Решение (продолжение 2) Химия, 9 класс Сборник задач, авторы: Хвалюк Виктор Николаевич, Резяпкин Виктор Ильич, издательство Адукацыя i выхаванне, Минск, 2020, салатового цвета, страница 62, номер 280, Решение (продолжение 3)
Решение 2. №280 (с. 62)

a) KCl → Cl₂ → Br₂ → HBr → CaBr₂

1. Получение хлора из хлорида калия путем электролиза расплава:

Молекулярное уравнение: $2KCl \xrightarrow{электролиз} 2K + Cl_2 \uparrow$

Реакция протекает в расплаве, поэтому ионные уравнения для водного раствора не составляются.

2. Получение брома путем вытеснения его хлором из раствора бромида натрия:

Молекулярное уравнение: $Cl_2 + 2NaBr \rightarrow 2NaCl + Br_2$

Полное ионное уравнение: $Cl_2 + 2Na^+ + 2Br^- \rightarrow 2Na^+ + 2Cl^- + Br_2$

Сокращенное ионное уравнение: $Cl_2 + 2Br^- \rightarrow 2Cl^- + Br_2$

3. Получение бромоводорода реакцией соединения водорода и брома при нагревании:

Молекулярное уравнение: $H_2 + Br_2 \xrightarrow{t} 2HBr$

Реакция между газами, ионные уравнения не составляются.

4. Получение бромида кальция реакцией нейтрализации бромоводородной кислоты гидроксидом кальция:

Молекулярное уравнение: $2HBr + Ca(OH)_2 \rightarrow CaBr_2 + 2H_2O$

Полное ионное уравнение: $2H^+ + 2Br^- + Ca^{2+} + 2OH^- \rightarrow Ca^{2+} + 2Br^- + 2H_2O$

Сокращенное ионное уравнение: $H^+ + OH^- \rightarrow H_2O$

Ответ:

$2KCl \xrightarrow{электролиз} 2K + Cl_2 \uparrow$

$Cl_2 + 2NaBr \rightarrow 2NaCl + Br_2$

$H_2 + Br_2 \xrightarrow{t} 2HBr$

$2HBr + Ca(OH)_2 \rightarrow CaBr_2 + 2H_2O$

б) Fe → FeCl₂ → FeCl₃ → CaCl₂ → AgCl

1. Получение хлорида железа(II) реакцией железа с соляной кислотой:

Молекулярное уравнение: $Fe + 2HCl \rightarrow FeCl_2 + H_2 \uparrow$

Полное ионное уравнение: $Fe + 2H^+ + 2Cl^- \rightarrow Fe^{2+} + 2Cl^- + H_2 \uparrow$

Сокращенное ионное уравнение: $Fe + 2H^+ \rightarrow Fe^{2+} + H_2 \uparrow$

2. Окисление хлорида железа(II) до хлорида железа(III) с помощью хлора:

Молекулярное уравнение: $2FeCl_2 + Cl_2 \rightarrow 2FeCl_3$

Полное ионное уравнение: $2Fe^{2+} + 4Cl^- + Cl_2 \rightarrow 2Fe^{3+} + 6Cl^-$

Сокращенное ионное уравнение: $2Fe^{2+} + Cl_2 \rightarrow 2Fe^{3+} + 2Cl^-$

3. Получение хлорида кальция реакцией обмена между хлоридом железа(III) и гидроксидом кальция:

Молекулярное уравнение: $2FeCl_3 + 3Ca(OH)_2 \rightarrow 2Fe(OH)_3 \downarrow + 3CaCl_2$

Полное ионное уравнение: $2Fe^{3+} + 6Cl^- + 3Ca^{2+} + 6OH^- \rightarrow 2Fe(OH)_3 \downarrow + 3Ca^{2+} + 6Cl^-$

Сокращенное ионное уравнение: $Fe^{3+} + 3OH^- \rightarrow Fe(OH)_3 \downarrow$

4. Получение хлорида серебра реакцией обмена между хлоридом кальция и нитратом серебра:

Молекулярное уравнение: $CaCl_2 + 2AgNO_3 \rightarrow 2AgCl \downarrow + Ca(NO_3)_2$

Полное ионное уравнение: $Ca^{2+} + 2Cl^- + 2Ag^+ + 2NO_3^- \rightarrow 2AgCl \downarrow + Ca^{2+} + 2NO_3^-$

Сокращенное ионное уравнение: $Ag^+ + Cl^- \rightarrow AgCl \downarrow$

Ответ:

$Fe + 2HCl \rightarrow FeCl_2 + H_2 \uparrow$

$2FeCl_2 + Cl_2 \rightarrow 2FeCl_3$

$2FeCl_3 + 3Ca(OH)_2 \rightarrow 2Fe(OH)_3 \downarrow + 3CaCl_2$

$CaCl_2 + 2AgNO_3 \rightarrow 2AgCl \downarrow + Ca(NO_3)_2$

в) H₂ → HCl → CaCl₂ → Cl₂ → CuCl₂ → KCl → AgCl

1. Получение хлороводорода реакцией соединения водорода и хлора на свету:

Молекулярное уравнение: $H_2 + Cl_2 \xrightarrow{h\nu} 2HCl$

Реакция между газами, ионные уравнения не составляются.

2. Получение хлорида кальция реакцией соляной кислоты с карбонатом кальция:

Молекулярное уравнение: $2HCl + CaCO_3 \rightarrow CaCl_2 + H_2O + CO_2 \uparrow$

Полное ионное уравнение: $2H^+ + 2Cl^- + CaCO_3 \rightarrow Ca^{2+} + 2Cl^- + H_2O + CO_2 \uparrow$

Сокращенное ионное уравнение: $2H^+ + CaCO_3 \rightarrow Ca^{2+} + H_2O + CO_2 \uparrow$

3. Получение хлора электролизом расплава хлорида кальция:

Молекулярное уравнение: $CaCl_2 \xrightarrow{электролиз} Ca + Cl_2 \uparrow$

Реакция протекает в расплаве, ионные уравнения не составляются.

4. Получение хлорида меди(II) реакцией меди с хлором при нагревании:

Молекулярное уравнение: $Cu + Cl_2 \xrightarrow{t} CuCl_2$

Ионные уравнения не составляются, т.к. реагируют твердое вещество и газ.

5. Получение хлорида калия реакцией обмена между хлоридом меди(II) и гидроксидом калия:

Молекулярное уравнение: $CuCl_2 + 2KOH \rightarrow Cu(OH)_2 \downarrow + 2KCl$

Полное ионное уравнение: $Cu^{2+} + 2Cl^- + 2K^+ + 2OH^- \rightarrow Cu(OH)_2 \downarrow + 2K^+ + 2Cl^-$

Сокращенное ионное уравнение: $Cu^{2+} + 2OH^- \rightarrow Cu(OH)_2 \downarrow$

6. Получение хлорида серебра реакцией обмена между хлоридом калия и нитратом серебра:

Молекулярное уравнение: $KCl + AgNO_3 \rightarrow AgCl \downarrow + KNO_3$

Полное ионное уравнение: $K^+ + Cl^- + Ag^+ + NO_3^- \rightarrow AgCl \downarrow + K^+ + NO_3^-$

Сокращенное ионное уравнение: $Ag^+ + Cl^- \rightarrow AgCl \downarrow$

Ответ:

$H_2 + Cl_2 \xrightarrow{h\nu} 2HCl$

$2HCl + CaCO_3 \rightarrow CaCl_2 + H_2O + CO_2 \uparrow$

$CaCl_2 \xrightarrow{электролиз} Ca + Cl_2 \uparrow$

$Cu + Cl_2 \xrightarrow{t} CuCl_2$

$CuCl_2 + 2KOH \rightarrow Cu(OH)_2 \downarrow + 2KCl$

$KCl + AgNO_3 \rightarrow AgCl \downarrow + KNO_3$

Помогло решение? Оставьте отзыв в комментариях ниже.

Присоединяйтесь к Телеграм-группе @gdz_by_belarus

Присоединиться

Мы подготовили для вас ответ c подробным объяснением домашего задания по химии за 9 класс, для упражнения номер 280 расположенного на странице 62 к сборнику задач 2020 года издания для учащихся школ и гимназий.

Теперь на нашем сайте ГДЗ.ТОП вы всегда легко и бесплатно найдёте условие с правильным ответом на вопрос «Как решить ДЗ» и «Как сделать» задание по химии к упражнению №280 (с. 62), авторов: Хвалюк (Виктор Николаевич), Резяпкин (Виктор Ильич), учебного пособия издательства Адукацыя i выхаванне.