Номер 9.15, страница 47 - гдз по алгебре 10 класс сборник задач Арефьева, Пирютко
Авторы: Арефьева И. Г., Пирютко О. Н.
Тип: Сборник задач
Издательство: Народная асвета
Год издания: 2020 - 2025
Уровень обучения: базовый и повышенный
Цвет обложки: белый, голубой с графиком
Допущено Министерством образования Республики Беларусь
Популярные ГДЗ в 10 классе
Глава 3. Тригонометрия. Параграф 9. Соотношения между синусом, косинусом, тангенсом и котангенсом одного и того же угла (тригонометрические тождества) - номер 9.15, страница 47.
№9.15 (с. 47)
Условие. №9.15 (с. 47)
скриншот условия
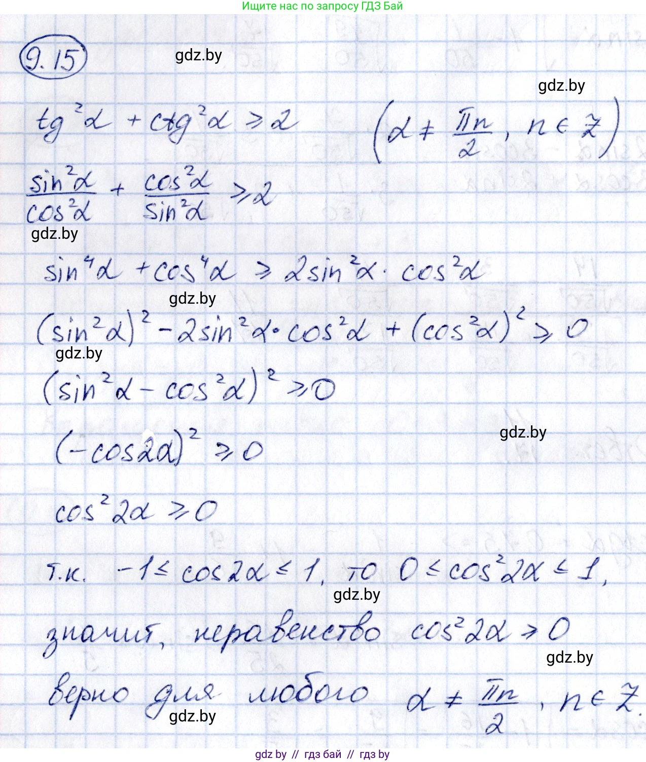
9.15. Докажите, что $tg^2\alpha + ctg^2\alpha \ge 2$.
Решение. №9.15 (с. 47)
Решение 2. №9.15 (с. 47)
Для доказательства данного неравенства можно использовать несколько подходов. Рассмотрим один из них, основанный на свойстве квадрата действительного числа.
Во-первых, определим область допустимых значений. Выражения $\text{tg}\alpha$ и $\text{ctg}\alpha$ определены, когда $\alpha \ne \frac{\pi k}{2}$, где $k$ - любое целое число. В этой области $\text{tg}\alpha \ne 0$ и $\text{ctg}\alpha \ne 0$.
Рассмотрим квадрат разности $\text{tg}\alpha$ и $\text{ctg}\alpha$. Квадрат любого действительного числа всегда неотрицателен (больше или равен нулю).
$(\text{tg}\alpha - \text{ctg}\alpha)^2 \ge 0$
Теперь раскроем скобки, используя формулу сокращенного умножения для квадрата разности: $(a-b)^2 = a^2 - 2ab + b^2$.
$\text{tg}^2\alpha - 2 \cdot \text{tg}\alpha \cdot \text{ctg}\alpha + \text{ctg}^2\alpha \ge 0$
Известно, что тангенс и котангенс одного и того же угла являются взаимно обратными величинами, поэтому их произведение равно 1:
$\text{tg}\alpha \cdot \text{ctg}\alpha = 1$
Подставим это значение в наше неравенство:
$\text{tg}^2\alpha - 2 \cdot 1 + \text{ctg}^2\alpha \ge 0$
$\text{tg}^2\alpha - 2 + \text{ctg}^2\alpha \ge 0$
Перенесем -2 из левой части неравенства в правую, изменив знак на противоположный:
$\text{tg}^2\alpha + \text{ctg}^2\alpha \ge 2$
Таким образом, мы доказали исходное неравенство.
Равенство достигается тогда, когда выражение в скобках равно нулю:
$\text{tg}\alpha - \text{ctg}\alpha = 0$
$\text{tg}\alpha = \text{ctg}\alpha$
$\text{tg}\alpha = \frac{1}{\text{tg}\alpha}$
$\text{tg}^2\alpha = 1$
Это означает, что $|\text{tg}\alpha| = 1$, что справедливо для углов $\alpha = \frac{\pi}{4} + \frac{\pi n}{2}$, где $n$ - любое целое число. В этих точках значение выражения $\text{tg}^2\alpha + \text{ctg}^2\alpha$ будет равно $1+1=2$. Во всех остальных точках из области определения оно будет строго больше 2.
Другие задания:
Помогло решение? Оставьте отзыв в комментариях ниже.
Присоединяйтесь к Телеграм-группе @gdz_by_belarus
ПрисоединитьсяМы подготовили для вас ответ c подробным объяснением домашего задания по алгебре за 10 класс, для упражнения номер 9.15 расположенного на странице 47 к сборнику задач 2020 года издания для учащихся школ и гимназий.
Теперь на нашем сайте ГДЗ.ТОП вы всегда легко и бесплатно найдёте условие с правильным ответом на вопрос «Как решить ДЗ» и «Как сделать» задание по алгебре к упражнению №9.15 (с. 47), авторов: Арефьева (Ирина Глебовна), Пирютко (Ольга Николаевна), базовый и повышенный уровень обучения учебного пособия издательства Народная асвета.