Номер 20.9, страница 104 - гдз по алгебре 10 класс сборник задач Арефьева, Пирютко
Авторы: Арефьева И. Г., Пирютко О. Н.
Тип: Сборник задач
Издательство: Народная асвета
Год издания: 2020 - 2025
Уровень обучения: базовый и повышенный
Цвет обложки: белый, голубой с графиком
Допущено Министерством образования Республики Беларусь
Популярные ГДЗ в 10 классе
Глава 4. Корень n-й степени из числа. Параграф 20. Применение свойств корней n-й степени для преобразования выражений - номер 20.9, страница 104.
№20.9 (с. 104)
Условие. №20.9 (с. 104)
скриншот условия
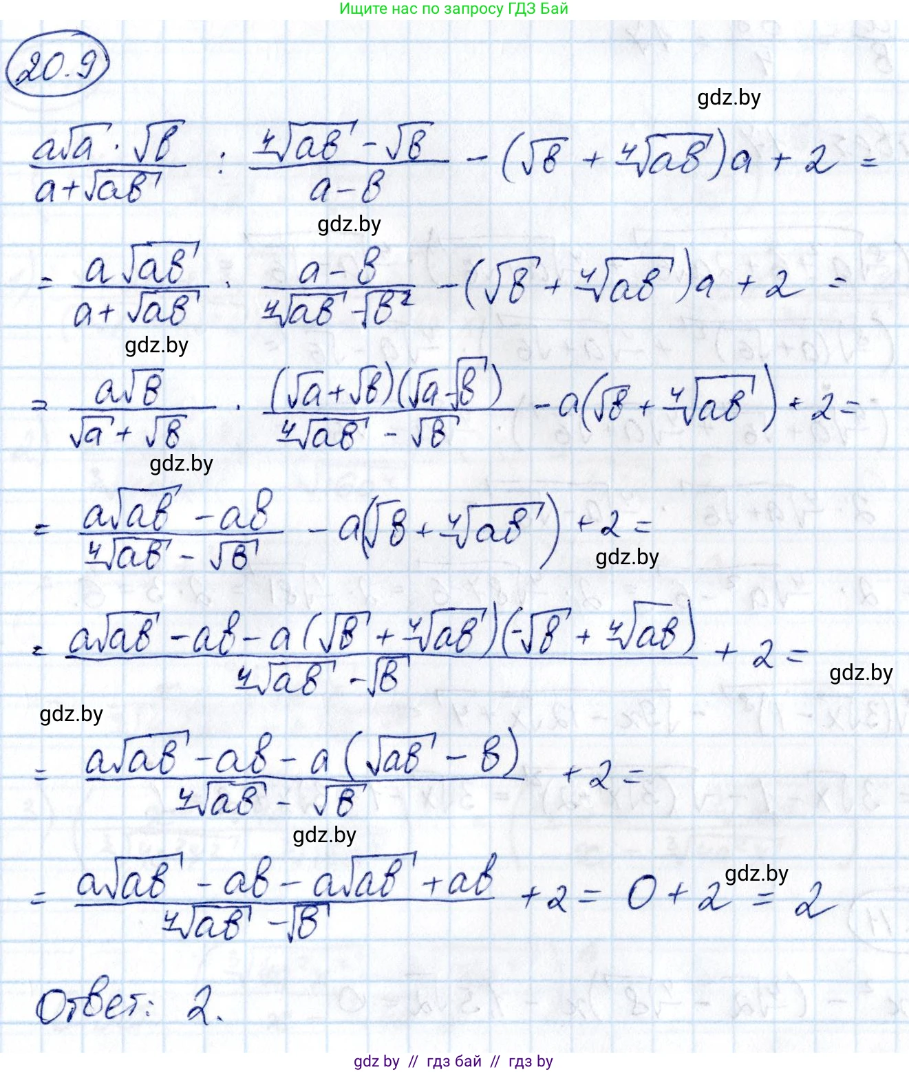
20.9. Упростите выражение
$\frac{a\sqrt{a} \cdot \sqrt{b}}{a+\sqrt{ab}} : \frac{\sqrt[4]{ab}-\sqrt{b}}{a-b} - (\sqrt{b}+\sqrt[4]{ab})a+2.$
Решение. №20.9 (с. 104)
Решение 2. №20.9 (с. 104)
Для упрощения данного выражения, будем выполнять действия по порядку. Сначала выполним деление, а затем остальные действия. Область допустимых значений (ОДЗ): $a > 0$, $b > 0$, $a \neq b$.
1. Рассмотрим первую часть выражения, включающую деление:
$$ \frac{a\sqrt{a} \cdot \sqrt{b}}{a + \sqrt{ab}} : \frac{\sqrt[4]{ab} - \sqrt{b}}{a - b} $$
Упростим первую дробь $\frac{a\sqrt{a} \cdot \sqrt{b}}{a + \sqrt{ab}}$.
Преобразуем числитель: $a\sqrt{a} \cdot \sqrt{b} = a\sqrt{ab}$.
В знаменателе вынесем за скобки общий множитель $\sqrt{a}$: $a + \sqrt{ab} = (\sqrt{a})^2 + \sqrt{a}\sqrt{b} = \sqrt{a}(\sqrt{a} + \sqrt{b})$.
Получаем: $$ \frac{a\sqrt{ab}}{\sqrt{a}(\sqrt{a} + \sqrt{b})} = \frac{(\sqrt{a})^2\sqrt{ab}}{\sqrt{a}(\sqrt{a} + \sqrt{b})} = \frac{\sqrt{a}\sqrt{ab}}{\sqrt{a} + \sqrt{b}} $$
2. Теперь упростим вторую дробь $\frac{\sqrt[4]{ab} - \sqrt{b}}{a - b}$.
Преобразуем числитель, учитывая, что $\sqrt{b} = (\sqrt[4]{b})^2$: $\sqrt[4]{ab} - \sqrt{b} = \sqrt[4]{a}\sqrt[4]{b} - (\sqrt[4]{b})^2 = \sqrt[4]{b}(\sqrt[4]{a} - \sqrt[4]{b})$.
Преобразуем знаменатель, используя формулу разности квадратов дважды:
$a - b = (\sqrt{a} - \sqrt{b})(\sqrt{a} + \sqrt{b}) = ((\sqrt[4]{a})^2 - (\sqrt[4]{b})^2)(\sqrt{a} + \sqrt{b}) = (\sqrt[4]{a} - \sqrt[4]{b})(\sqrt[4]{a} + \sqrt[4]{b})(\sqrt{a} + \sqrt{b})$.
Получаем: $$ \frac{\sqrt[4]{b}(\sqrt[4]{a} - \sqrt[4]{b})}{(\sqrt[4]{a} - \sqrt[4]{b})(\sqrt[4]{a} + \sqrt[4]{b})(\sqrt{a} + \sqrt{b})} = \frac{\sqrt[4]{b}}{(\sqrt[4]{a} + \sqrt[4]{b})(\sqrt{a} + \sqrt{b})} $$
3. Выполним деление, заменив его на умножение на обратную дробь:
$$ \frac{\sqrt{a}\sqrt{ab}}{\sqrt{a} + \sqrt{b}} \cdot \frac{(\sqrt[4]{a} + \sqrt[4]{b})(\sqrt{a} + \sqrt{b})}{\sqrt[4]{b}} $$
Сократим $(\sqrt{a} + \sqrt{b})$:
$$ \sqrt{a}\sqrt{ab} \cdot \frac{\sqrt[4]{a} + \sqrt[4]{b}}{\sqrt[4]{b}} $$
Упростим первый множитель: $\sqrt{a}\sqrt{ab} = a\sqrt{b}$.
$$ a\sqrt{b} \cdot \frac{\sqrt[4]{a} + \sqrt[4]{b}}{\sqrt[4]{b}} = \frac{a \cdot b^{1/2}}{b^{1/4}}(\sqrt[4]{a} + \sqrt[4]{b}) = a \cdot b^{1/2-1/4}(\sqrt[4]{a} + \sqrt[4]{b}) = a\sqrt[4]{b}(\sqrt[4]{a} + \sqrt[4]{b}) $$
Раскроем скобки:
$$ a\sqrt[4]{b}\sqrt[4]{a} + a\sqrt[4]{b}\sqrt[4]{b} = a\sqrt[4]{ab} + a\sqrt[4]{b^2} = a\sqrt[4]{ab} + a\sqrt{b} $$
4. Подставим полученный результат в исходное выражение:
$$ (a\sqrt[4]{ab} + a\sqrt{b}) - (\sqrt{b} + \sqrt[4]{ab})a + 2 $$
Раскроем скобки во втором слагаемом:
$$ a\sqrt[4]{ab} + a\sqrt{b} - a\sqrt{b} - a\sqrt[4]{ab} + 2 $$
Приведем подобные слагаемые:
$$ (a\sqrt[4]{ab} - a\sqrt[4]{ab}) + (a\sqrt{b} - a\sqrt{b}) + 2 = 0 + 0 + 2 = 2 $$
20.9. Ответ: 2
Другие задания:
Помогло решение? Оставьте отзыв в комментариях ниже.
Присоединяйтесь к Телеграм-группе @gdz_by_belarus
ПрисоединитьсяМы подготовили для вас ответ c подробным объяснением домашего задания по алгебре за 10 класс, для упражнения номер 20.9 расположенного на странице 104 к сборнику задач 2020 года издания для учащихся школ и гимназий.
Теперь на нашем сайте ГДЗ.ТОП вы всегда легко и бесплатно найдёте условие с правильным ответом на вопрос «Как решить ДЗ» и «Как сделать» задание по алгебре к упражнению №20.9 (с. 104), авторов: Арефьева (Ирина Глебовна), Пирютко (Ольга Николаевна), базовый и повышенный уровень обучения учебного пособия издательства Народная асвета.