Номер 20.10, страница 104 - гдз по алгебре 10 класс сборник задач Арефьева, Пирютко
Авторы: Арефьева И. Г., Пирютко О. Н.
Тип: Сборник задач
Издательство: Народная асвета
Год издания: 2020 - 2025
Уровень обучения: базовый и повышенный
Цвет обложки: белый, голубой с графиком
Допущено Министерством образования Республики Беларусь
Популярные ГДЗ в 10 классе
Глава 4. Корень n-й степени из числа. Параграф 20. Применение свойств корней n-й степени для преобразования выражений - номер 20.10, страница 104.
№20.10 (с. 104)
Условие. №20.10 (с. 104)
скриншот условия
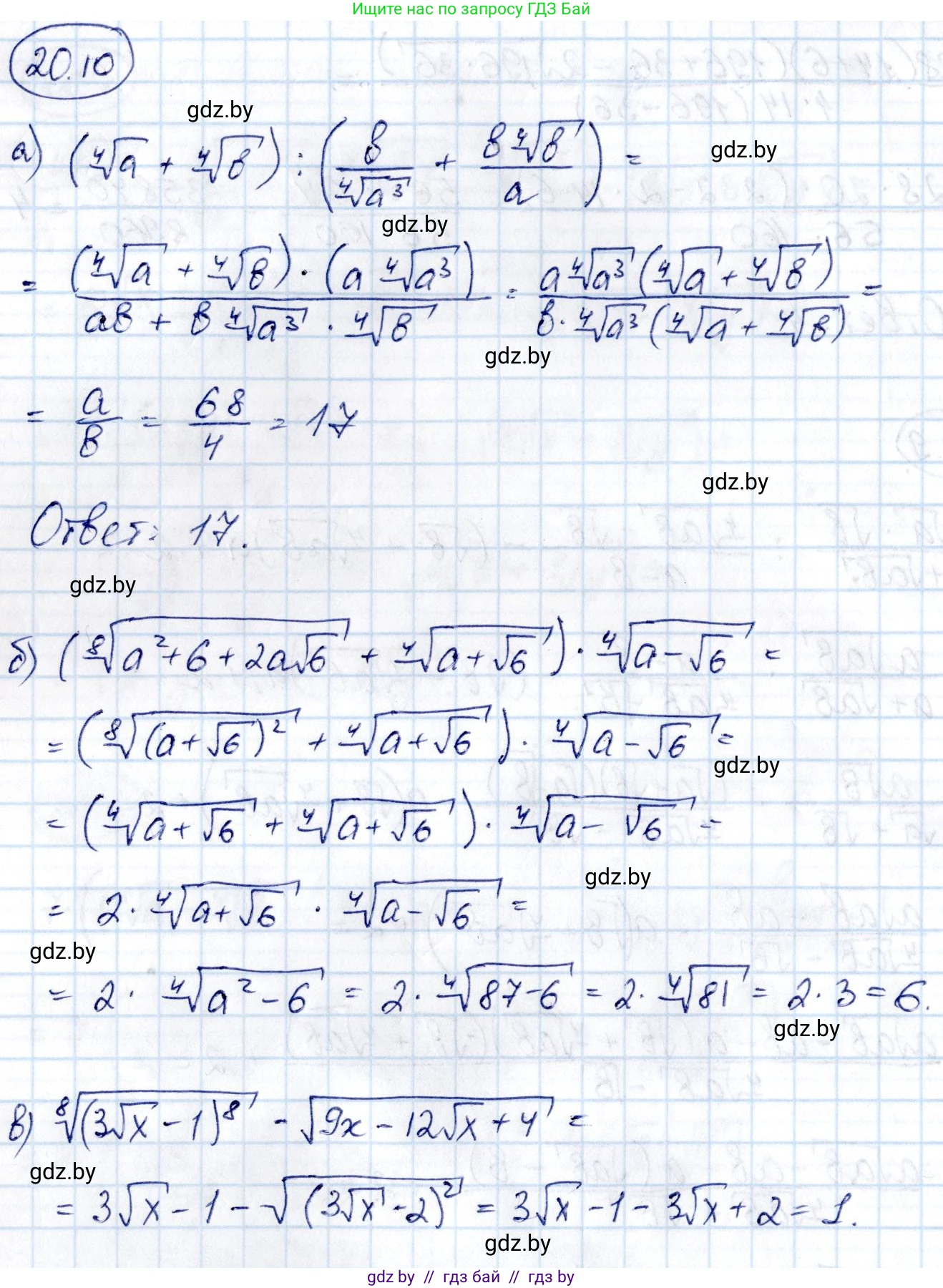
20.10. Найдите значение выражения:
а) $(\sqrt[4]{a} + \sqrt[4]{b}) : \left(\frac{b}{\sqrt[4]{a^3}} + \frac{b\sqrt[4]{b}}{a}\right)$ при $a = 68, b = 4;$
б) $\left(\sqrt[8]{a^2 + 6 + 2a\sqrt{6}} + \sqrt[4]{a + \sqrt{6}}\right) \cdot \sqrt[4]{a - \sqrt{6}}$ при $a = \sqrt{87};$
в) $\sqrt[8]{(3\sqrt{x} - 1)^8} - \sqrt{9x - 12\sqrt{x} + 4}$ при $x = 1\frac{2}{9}.$
Решение. №20.10 (с. 104)
Решение 2. №20.10 (с. 104)
а)
Упростим выражение $(\sqrt[4]{a} + \sqrt[4]{b}) : \left(\frac{b}{\sqrt[4]{a^3}} + \frac{b\sqrt[4]{b}}{a}\right)$.
Сначала преобразуем выражение в скобках (делитель), приведя слагаемые к общему знаменателю. Общий знаменатель - $a$.
$\frac{b}{\sqrt[4]{a^3}} + \frac{b\sqrt[4]{b}}{a} = \frac{b}{a^{3/4}} + \frac{b \cdot b^{1/4}}{a} = \frac{b \cdot a^{1/4}}{a^{3/4} \cdot a^{1/4}} + \frac{b^{5/4}}{a} = \frac{b a^{1/4}}{a} + \frac{b^{5/4}}{a} = \frac{b a^{1/4} + b \cdot b^{1/4}}{a} = \frac{b(a^{1/4} + b^{1/4})}{a} = \frac{b(\sqrt[4]{a} + \sqrt[4]{b})}{a}$.
Теперь выполним деление:
$(\sqrt[4]{a} + \sqrt[4]{b}) : \frac{b(\sqrt[4]{a} + \sqrt[4]{b})}{a} = (\sqrt[4]{a} + \sqrt[4]{b}) \cdot \frac{a}{b(\sqrt[4]{a} + \sqrt[4]{b})}$.
Поскольку $a = 68 > 0$ и $b = 4 > 0$, выражение $(\sqrt[4]{a} + \sqrt[4]{b})$ не равно нулю, и на него можно сократить. В результате получаем:
$\frac{a}{b}$.
Подставим заданные значения $a = 68$ и $b = 4$:
$\frac{68}{4} = 17$.
Ответ: 17.
б)
Упростим выражение $(\sqrt[8]{a^2 + 6 + 2a\sqrt{6}} + \sqrt[4]{a+\sqrt{6}}) \cdot \sqrt[4]{a-\sqrt{6}}$.
Рассмотрим подкоренное выражение в первом слагаемом: $a^2 + 6 + 2a\sqrt{6}$. Это полный квадрат суммы: $a^2 + 2a\sqrt{6} + (\sqrt{6})^2 = (a+\sqrt{6})^2$.
Тогда $\sqrt[8]{a^2 + 6 + 2a\sqrt{6}} = \sqrt[8]{(a+\sqrt{6})^2}$.
Используя свойство $\sqrt[nk]{x^k} = \sqrt[n]{x}$ (для $x \ge 0$), получим $\sqrt[4]{a+\sqrt{6}}$ (поскольку $a=\sqrt{87}>0$, то $a+\sqrt{6}>0$).
Теперь исходное выражение можно переписать так:
$(\sqrt[4]{a+\sqrt{6}} + \sqrt[4]{a+\sqrt{6}}) \cdot \sqrt[4]{a-\sqrt{6}} = 2\sqrt[4]{a+\sqrt{6}} \cdot \sqrt[4]{a-\sqrt{6}}$.
Используя свойство $\sqrt[n]{x} \cdot \sqrt[n]{y} = \sqrt[n]{xy}$, объединим корни:
$2\sqrt[4]{(a+\sqrt{6})(a-\sqrt{6})}$.
Применим формулу разности квадратов: $(a+\sqrt{6})(a-\sqrt{6}) = a^2 - (\sqrt{6})^2 = a^2 - 6$.
Выражение упрощается до $2\sqrt[4]{a^2 - 6}$.
Подставим значение $a = \sqrt{87}$. Тогда $a^2 = (\sqrt{87})^2 = 87$.
$2\sqrt[4]{87 - 6} = 2\sqrt[4]{81}$.
Так как $81 = 3^4$, то $\sqrt[4]{81} = 3$.
Окончательный результат: $2 \cdot 3 = 6$.
Ответ: 6.
в)
Упростим выражение $\sqrt[8]{(3\sqrt{x}-1)^8} - \sqrt{9x-12\sqrt{x}+4}$.
Для первого слагаемого используем свойство $\sqrt[n]{y^n} = |y|$ для четного $n$. Получаем: $\sqrt[8]{(3\sqrt{x}-1)^8} = |3\sqrt{x}-1|$.
Для второго слагаемого заметим, что подкоренное выражение $9x-12\sqrt{x}+4$ является полным квадратом: $(3\sqrt{x})^2 - 2 \cdot (3\sqrt{x}) \cdot 2 + 2^2 = (3\sqrt{x}-2)^2$.
Тогда $\sqrt{9x-12\sqrt{x}+4} = \sqrt{(3\sqrt{x}-2)^2} = |3\sqrt{x}-2|$.
Исходное выражение принимает вид: $|3\sqrt{x}-1| - |3\sqrt{x}-2|$.
Подставим значение $x = 1\frac{2}{9}$. Сначала переведем его в неправильную дробь: $x = \frac{1 \cdot 9 + 2}{9} = \frac{11}{9}$.
Теперь найдем значение $3\sqrt{x}$:
$3\sqrt{x} = 3\sqrt{\frac{11}{9}} = 3 \cdot \frac{\sqrt{11}}{\sqrt{9}} = 3 \cdot \frac{\sqrt{11}}{3} = \sqrt{11}$.
Подставим это в упрощенное выражение: $|\sqrt{11}-1| - |\sqrt{11}-2|$.
Оценим значения в модулях. Так как $9 < 11 < 16$, то $\sqrt{9} < \sqrt{11} < \sqrt{16}$, то есть $3 < \sqrt{11} < 4$.
Отсюда следует, что $\sqrt{11}-1 > 3-1 = 2 > 0$, поэтому $|\sqrt{11}-1| = \sqrt{11}-1$.
Также $\sqrt{11}-2 > 3-2 = 1 > 0$, поэтому $|\sqrt{11}-2| = \sqrt{11}-2$.
Выполним вычитание:
$(\sqrt{11}-1) - (\sqrt{11}-2) = \sqrt{11}-1 - \sqrt{11} + 2 = 1$.
Ответ: 1.
Другие задания:
Помогло решение? Оставьте отзыв в комментариях ниже.
Присоединяйтесь к Телеграм-группе @gdz_by_belarus
ПрисоединитьсяМы подготовили для вас ответ c подробным объяснением домашего задания по алгебре за 10 класс, для упражнения номер 20.10 расположенного на странице 104 к сборнику задач 2020 года издания для учащихся школ и гимназий.
Теперь на нашем сайте ГДЗ.ТОП вы всегда легко и бесплатно найдёте условие с правильным ответом на вопрос «Как решить ДЗ» и «Как сделать» задание по алгебре к упражнению №20.10 (с. 104), авторов: Арефьева (Ирина Глебовна), Пирютко (Ольга Николаевна), базовый и повышенный уровень обучения учебного пособия издательства Народная асвета.