Номер 20.7, страница 104 - гдз по алгебре 10 класс сборник задач Арефьева, Пирютко
Авторы: Арефьева И. Г., Пирютко О. Н.
Тип: Сборник задач
Издательство: Народная асвета
Год издания: 2020 - 2025
Уровень обучения: базовый и повышенный
Цвет обложки: белый, голубой с графиком
Допущено Министерством образования Республики Беларусь
Популярные ГДЗ в 10 классе
Глава 4. Корень n-й степени из числа. Параграф 20. Применение свойств корней n-й степени для преобразования выражений - номер 20.7, страница 104.
№20.7 (с. 104)
Условие. №20.7 (с. 104)
скриншот условия
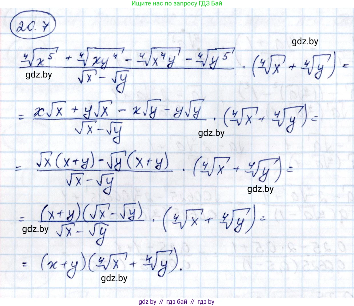
20.7. Упростите выражение
$\frac{\sqrt[4]{x^5} + \sqrt[4]{xy^4} - \sqrt[4]{x^4y} - \sqrt[4]{y^5}}{\sqrt{x} - \sqrt{y}} \cdot (\sqrt[4]{x} + \sqrt[4]{y})$
Решение. №20.7 (с. 104)
Решение 2. №20.7 (с. 104)
Для упрощения данного выражения выполним преобразования по шагам.
1. Преобразуем числитель первой дроби $ \sqrt[4]{x^5} + \sqrt[4]{xy^4} - \sqrt[4]{x^4y} - \sqrt[4]{y^5} $. Вынесем из-под знака корня максимально возможную степень множителя (при условии $ x \ge 0, y \ge 0 $):
$ \sqrt[4]{x^5} = \sqrt[4]{x^4 \cdot x} = x\sqrt[4]{x} $
$ \sqrt[4]{xy^4} = y\sqrt[4]{x} $
$ \sqrt[4]{x^4y} = x\sqrt[4]{y} $
$ \sqrt[4]{y^5} = \sqrt[4]{y^4 \cdot y} = y\sqrt[4]{y} $
Подставим полученные выражения в числитель и сгруппируем слагаемые:
$ (x\sqrt[4]{x} + y\sqrt[4]{x}) - (x\sqrt[4]{y} + y\sqrt[4]{y}) $
Теперь вынесем общие множители за скобки:
$ \sqrt[4]{x}(x+y) - \sqrt[4]{y}(x+y) = (x+y)(\sqrt[4]{x} - \sqrt[4]{y}) $
2. Преобразуем знаменатель первой дроби $ \sqrt{x} - \sqrt{y} $. Применим формулу разности квадратов $ a^2 - b^2 = (a-b)(a+b) $, представив $ \sqrt{x} $ как $ (\sqrt[4]{x})^2 $ и $ \sqrt{y} $ как $ (\sqrt[4]{y})^2 $:
$ \sqrt{x} - \sqrt{y} = (\sqrt[4]{x})^2 - (\sqrt[4]{y})^2 = (\sqrt[4]{x} - \sqrt[4]{y})(\sqrt[4]{x} + \sqrt[4]{y}) $
3. Подставим преобразованные числитель и знаменатель в исходное выражение:
$ \frac{(x+y)(\sqrt[4]{x} - \sqrt[4]{y})}{(\sqrt[4]{x} - \sqrt[4]{y})(\sqrt[4]{x} + \sqrt[4]{y})} \cdot (\sqrt[4]{x} + \sqrt[4]{y}) $
4. Сократим полученное выражение. При условии, что $ x \neq y $, знаменатель не равен нулю, и мы можем сократить общий множитель $ (\sqrt[4]{x} - \sqrt[4]{y}) $:
$ \frac{x+y}{\sqrt[4]{x} + \sqrt[4]{y}} \cdot (\sqrt[4]{x} + \sqrt[4]{y}) $
Далее сокращаем на множитель $ (\sqrt[4]{x} + \sqrt[4]{y}) $, который также не равен нулю:
$ x+y $
20.7. Ответ: $x+y$.
Другие задания:
Помогло решение? Оставьте отзыв в комментариях ниже.
Присоединяйтесь к Телеграм-группе @gdz_by_belarus
ПрисоединитьсяМы подготовили для вас ответ c подробным объяснением домашего задания по алгебре за 10 класс, для упражнения номер 20.7 расположенного на странице 104 к сборнику задач 2020 года издания для учащихся школ и гимназий.
Теперь на нашем сайте ГДЗ.ТОП вы всегда легко и бесплатно найдёте условие с правильным ответом на вопрос «Как решить ДЗ» и «Как сделать» задание по алгебре к упражнению №20.7 (с. 104), авторов: Арефьева (Ирина Глебовна), Пирютко (Ольга Николаевна), базовый и повышенный уровень обучения учебного пособия издательства Народная асвета.