Номер 26.14, страница 128 - гдз по алгебре 10 класс сборник задач Арефьева, Пирютко

Алгебра, 10 класс Сборник задач, авторы: Арефьева Ирина Глебовна, Пирютко Ольга Николаевна, издательство Народная асвета, Минск, 2020, белого цвета

Авторы: Арефьева И. Г., Пирютко О. Н.

Тип: Сборник задач

Издательство: Народная асвета

Год издания: 2020 - 2025

Уровень обучения: базовый и повышенный

Цвет обложки: белый, голубой с графиком

Допущено Министерством образования Республики Беларусь

Популярные ГДЗ в 10 классе

Глава 5. Производная. Параграф 26. Производная сложной функции. Производная обратной функции. Производные тригонометрических функций - номер 26.14, страница 128.

№26.14 (с. 128)
Условие. №26.14 (с. 128)
скриншот условия
Алгебра, 10 класс Сборник задач, авторы: Арефьева Ирина Глебовна, Пирютко Ольга Николаевна, издательство Народная асвета, Минск, 2020, белого цвета, страница 128, номер 26.14, Условие

26.14. Решите неравенство:

a) $f'(x) > 0$, если $f(x) = \frac{x}{2} - \cos x$;

б) $f'(x) \leq 0$, если $f(x) = \sin 2x - \sqrt{3}x$;

в) $f'(x) < 0$, если $f(x) = \cos^2 x - \sin^2 x$;

г) $f'(x) \geq 0$, если $f(x) = \sin 5x \cos 5x$.

Решение. №26.14 (с. 128)
Алгебра, 10 класс Сборник задач, авторы: Арефьева Ирина Глебовна, Пирютко Ольга Николаевна, издательство Народная асвета, Минск, 2020, белого цвета, страница 128, номер 26.14, Решение Алгебра, 10 класс Сборник задач, авторы: Арефьева Ирина Глебовна, Пирютко Ольга Николаевна, издательство Народная асвета, Минск, 2020, белого цвета, страница 128, номер 26.14, Решение (продолжение 2)
Решение 2. №26.14 (с. 128)

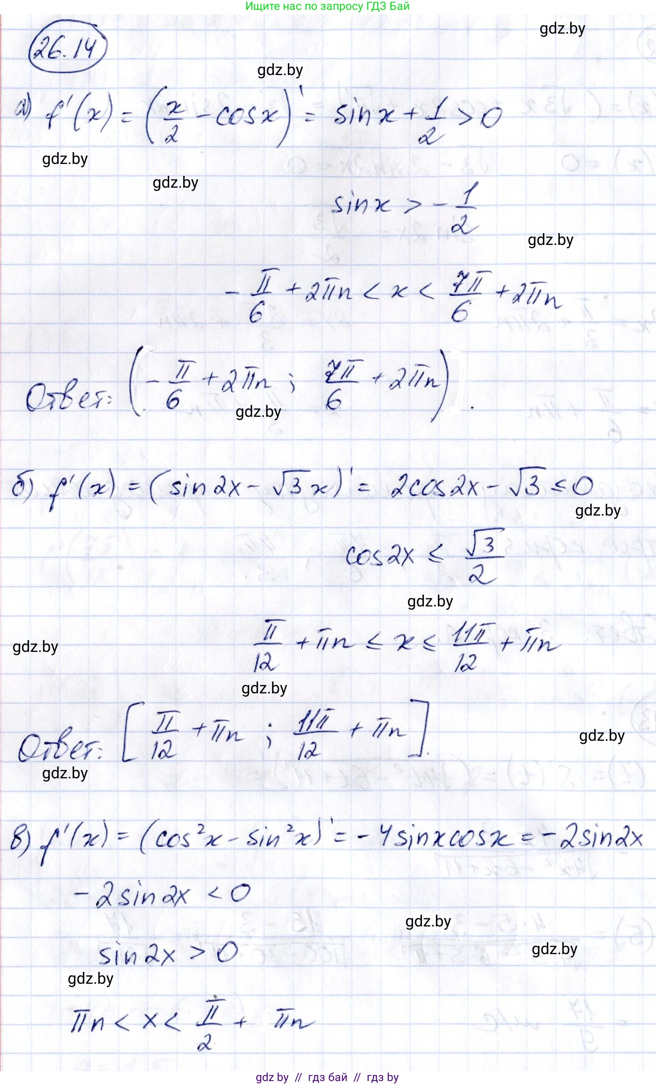
а) Дана функция $f(x) = \frac{x}{2} - \cos x$. Требуется решить неравенство $f'(x) > 0$.
Сначала найдем производную функции $f(x)$:
$f'(x) = (\frac{x}{2} - \cos x)' = (\frac{x}{2})' - (\cos x)' = \frac{1}{2} - (-\sin x) = \frac{1}{2} + \sin x$.
Теперь решим неравенство $f'(x) > 0$:
$\frac{1}{2} + \sin x > 0$
$\sin x > -\frac{1}{2}$.
Решениями этого тригонометрического неравенства являются интервалы, на которых синус больше, чем $-\frac{1}{2}$.
На единичной окружности это соответствует дуге от точки $-\frac{\pi}{6}$ до точки $\frac{7\pi}{6}$ против часовой стрелки.
Таким образом, общее решение неравенства:
$-\frac{\pi}{6} + 2\pi k < x < \frac{7\pi}{6} + 2\pi k$, где $k \in \mathbb{Z}$.
Выделим целую часть в неправильной дроби $\frac{7}{6} = 1\frac{1}{6}$.
Ответ: $-\frac{\pi}{6} + 2\pi k < x < \mathbf{1}\frac{1}{6}\pi + 2\pi k, k \in \mathbb{Z}$.

б) Дана функция $f(x) = \sin 2x - \sqrt{3}x$. Требуется решить неравенство $f'(x) \le 0$.
Найдем производную функции $f(x)$:
$f'(x) = (\sin 2x - \sqrt{3}x)' = (\sin 2x)' - (\sqrt{3}x)' = 2\cos 2x - \sqrt{3}$.
Теперь решим неравенство $f'(x) \le 0$:
$2\cos 2x - \sqrt{3} \le 0$
$2\cos 2x \le \sqrt{3}$
$\cos 2x \le \frac{\sqrt{3}}{2}$.
Пусть $t = 2x$. Решим неравенство $\cos t \le \frac{\sqrt{3}}{2}$.
На единичной окружности это соответствует дуге от $\frac{\pi}{6}$ до $\frac{11\pi}{6}$ (или $2\pi - \frac{\pi}{6}$).
Таким образом, общее решение для $t$:
$\frac{\pi}{6} + 2\pi k \le t \le \frac{11\pi}{6} + 2\pi k$, где $k \in \mathbb{Z}$.
Подставим обратно $t=2x$ и разделим все части неравенства на 2:
$\frac{\pi}{12} + \pi k \le x \le \frac{11\pi}{12} + \pi k$, где $k \in \mathbb{Z}$.
Ответ: $\frac{\pi}{12} + \pi k \le x \le \frac{11\pi}{12} + \pi k, k \in \mathbb{Z}$.

в) Дана функция $f(x) = \cos^2 x - \sin^2 x$. Требуется решить неравенство $f'(x) < 0$.
Сначала упростим функцию, используя формулу косинуса двойного угла: $\cos 2\alpha = \cos^2 \alpha - \sin^2 \alpha$.
$f(x) = \cos 2x$.
Найдем производную функции $f(x)$:
$f'(x) = (\cos 2x)' = -2\sin 2x$.
Теперь решим неравенство $f'(x) < 0$:
$-2\sin 2x < 0$
$\sin 2x > 0$ (при делении на отрицательное число знак неравенства меняется).
Пусть $t = 2x$. Решим неравенство $\sin t > 0$.
Синус положителен в первой и второй координатных четвертях, что соответствует интервалу $(0, \pi)$.
Общее решение для $t$:
$2\pi k < t < \pi + 2\pi k$, где $k \in \mathbb{Z}$.
Подставим обратно $t=2x$ и разделим все части на 2:
$\pi k < x < \frac{\pi}{2} + \pi k$, где $k \in \mathbb{Z}$.
Ответ: $\pi k < x < \frac{\pi}{2} + \pi k, k \in \mathbb{Z}$.

г) Дана функция $f(x) = \sin 5x \cos 5x$. Требуется решить неравенство $f'(x) \ge 0$.
Сначала упростим функцию, используя формулу синуса двойного угла: $\sin \alpha \cos \alpha = \frac{1}{2}\sin 2\alpha$.
$f(x) = \frac{1}{2}\sin(2 \cdot 5x) = \frac{1}{2}\sin 10x$.
Найдем производную функции $f(x)$:
$f'(x) = (\frac{1}{2}\sin 10x)' = \frac{1}{2} \cdot (\cos 10x) \cdot 10 = 5\cos 10x$.
Теперь решим неравенство $f'(x) \ge 0$:
$5\cos 10x \ge 0$
$\cos 10x \ge 0$.
Пусть $t = 10x$. Решим неравенство $\cos t \ge 0$.
Косинус неотрицателен в первой и четвертой координатных четвертях, что соответствует отрезку $[-\frac{\pi}{2}, \frac{\pi}{2}]$.
Общее решение для $t$:
$-\frac{\pi}{2} + 2\pi k \le t \le \frac{\pi}{2} + 2\pi k$, где $k \in \mathbb{Z}$.
Подставим обратно $t=10x$ и разделим все части на 10:
$-\frac{\pi}{20} + \frac{2\pi k}{10} \le x \le \frac{\pi}{20} + \frac{2\pi k}{10}$
$-\frac{\pi}{20} + \frac{\pi k}{5} \le x \le \frac{\pi}{20} + \frac{\pi k}{5}$, где $k \in \mathbb{Z}$.
Ответ: $-\frac{\pi}{20} + \frac{\pi k}{5} \le x \le \frac{\pi}{20} + \frac{\pi k}{5}, k \in \mathbb{Z}$.

Помогло решение? Оставьте отзыв в комментариях ниже.

Присоединяйтесь к Телеграм-группе @gdz_by_belarus

Присоединиться

Мы подготовили для вас ответ c подробным объяснением домашего задания по алгебре за 10 класс, для упражнения номер 26.14 расположенного на странице 128 к сборнику задач 2020 года издания для учащихся школ и гимназий.

Теперь на нашем сайте ГДЗ.ТОП вы всегда легко и бесплатно найдёте условие с правильным ответом на вопрос «Как решить ДЗ» и «Как сделать» задание по алгебре к упражнению №26.14 (с. 128), авторов: Арефьева (Ирина Глебовна), Пирютко (Ольга Николаевна), базовый и повышенный уровень обучения учебного пособия издательства Народная асвета.