Номер 1.349, страница 114 - гдз по алгебре 10 класс учебник Арефьева, Пирютко

Алгебра, 10 класс Учебник, авторы: Арефьева Ирина Глебовна, Пирютко Ольга Николаевна, издательство Народная асвета, Минск, 2019, голубого цвета

Авторы: Арефьева И. Г., Пирютко О. Н.

Тип: Учебник

Издательство: Народная асвета

Год издания: 2019 - 2025

Цвет обложки: голубой с графиком

Допущено Министерством образования Республики Беларусь

Популярные ГДЗ в 10 классе

Глава 1. Тригонометрия. Параграф 8. Тригонометрические уравнения - номер 1.349, страница 114.

№1.349 (с. 114)
Условие. №1.349 (с. 114)
скриншот условия
Алгебра, 10 класс Учебник, авторы: Арефьева Ирина Глебовна, Пирютко Ольга Николаевна, издательство Народная асвета, Минск, 2019, голубого цвета, страница 114, номер 1.349, Условие

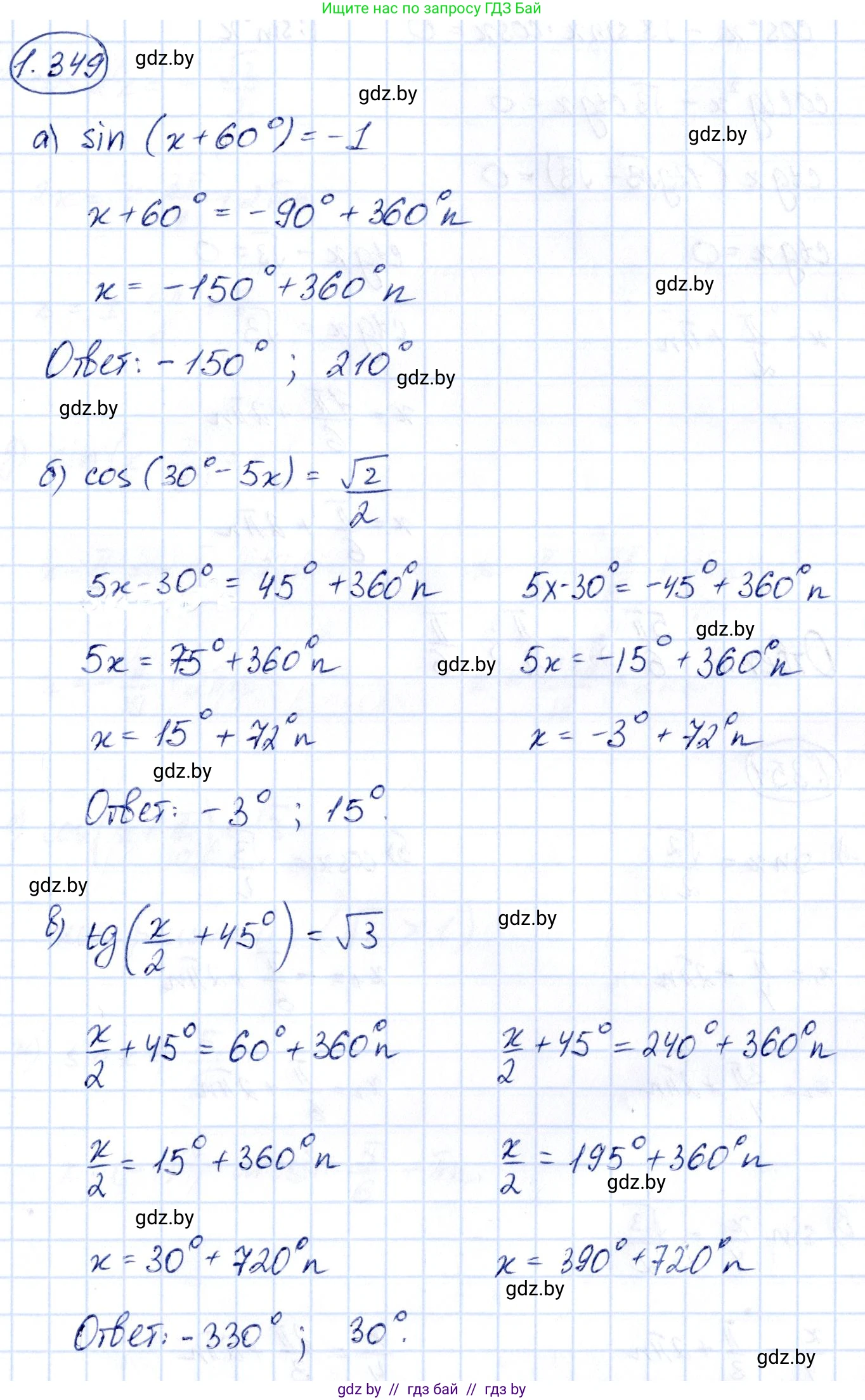
1.349*. Найдите (в градусах) наименьший положительный и наибольший отрицательный корни уравнения:

a) $ \sin(60^\circ + x) = -1; $

б) $ \cos(30^\circ - 5x) = \frac{\sqrt{2}}{2}; $

в) $ \operatorname{tg}\left(\frac{x}{2} + 45^\circ\right) = \sqrt{3}. $

Решение. №1.349 (с. 114)
Алгебра, 10 класс Учебник, авторы: Арефьева Ирина Глебовна, Пирютко Ольга Николаевна, издательство Народная асвета, Минск, 2019, голубого цвета, страница 114, номер 1.349, Решение
Решение 2. №1.349 (с. 114)

a) Решим уравнение $ \sin(60^\circ + x) = -1 $.

Это частный случай тригонометрического уравнения. Общее решение для $ \sin(\alpha) = -1 $ имеет вид: $ \alpha = -90^\circ + 360^\circ n $, где $ n \in \mathbb{Z} $.

В нашем случае $ \alpha = 60^\circ + x $. Подставляем и решаем относительно $x$: $ 60^\circ + x = -90^\circ + 360^\circ n $ $ x = -90^\circ - 60^\circ + 360^\circ n $ $ x = -150^\circ + 360^\circ n $

Теперь найдем наименьший положительный и наибольший отрицательный корни, перебирая целочисленные значения $n$.

  • Наименьший положительный корень ($x > 0$):
    Для этого должно выполняться неравенство $ -150^\circ + 360^\circ n > 0 $, то есть $ 360^\circ n > 150^\circ $, или $ n > \frac{150}{360} = \frac{5}{12} $. Наименьшее целое $n$, удовлетворяющее этому условию, — это $n=1$. При $n=1$: $ x = -150^\circ + 360^\circ \cdot 1 = 210^\circ $.
  • Наибольший отрицательный корень ($x < 0$):
    Для этого должно выполняться неравенство $ -150^\circ + 360^\circ n < 0 $, то есть $ 360^\circ n < 150^\circ $, или $ n < \frac{5}{12} $. Наибольшее целое $n$, удовлетворяющее этому условию, — это $n=0$. При $n=0$: $ x = -150^\circ + 360^\circ \cdot 0 = -150^\circ $.

Ответ: наименьший положительный корень $210^\circ$, наибольший отрицательный корень $-150^\circ$.


б) Решим уравнение $ \cos(30^\circ - 5x) = \frac{\sqrt{2}}{2} $.

Общее решение для уравнения $ \cos(\alpha) = \frac{\sqrt{2}}{2} $ имеет вид: $ \alpha = \pm 45^\circ + 360^\circ n $, где $ n \in \mathbb{Z} $.

В нашем случае $ \alpha = 30^\circ - 5x $. Это приводит к двум сериям решений:

  1. $ 30^\circ - 5x = 45^\circ + 360^\circ n $
    $ -5x = 15^\circ + 360^\circ n $
    $ x = -3^\circ - 72^\circ n $
  2. $ 30^\circ - 5x = -45^\circ + 360^\circ n $
    $ -5x = -75^\circ + 360^\circ n $
    $ x = 15^\circ - 72^\circ n $

Теперь найдем требуемые корни для каждой серии.

Для первой серии $ x = -3^\circ - 72^\circ n $:

  • Наименьший положительный корень ($x > 0$): при $n=-1$, $ x = -3^\circ - 72^\circ(-1) = 69^\circ $.
  • Наибольший отрицательный корень ($x < 0$): при $n=0$, $ x = -3^\circ - 72^\circ(0) = -3^\circ $.

Для второй серии $ x = 15^\circ - 72^\circ n $:

  • Наименьший положительный корень ($x > 0$): при $n=0$, $ x = 15^\circ - 72^\circ(0) = 15^\circ $.
  • Наибольший отрицательный корень ($x < 0$): при $n=1$, $ x = 15^\circ - 72^\circ(1) = -57^\circ $.

Сравнивая полученные корни, выбираем:

  • Наименьший положительный корень из $69^\circ$ и $15^\circ$ это $15^\circ$.
  • Наибольший отрицательный корень из $-3^\circ$ и $-57^\circ$ это $-3^\circ$.

Ответ: наименьший положительный корень $15^\circ$, наибольший отрицательный корень $-3^\circ$.


в) Решим уравнение $ \text{tg}(\frac{x}{2} + 45^\circ) = \sqrt{3} $.

Общее решение для уравнения $ \text{tg}(\alpha) = \sqrt{3} $ имеет вид: $ \alpha = 60^\circ + 180^\circ n $, где $ n \in \mathbb{Z} $.

В нашем случае $ \alpha = \frac{x}{2} + 45^\circ $. Подставляем и решаем относительно $x$: $ \frac{x}{2} + 45^\circ = 60^\circ + 180^\circ n $ $ \frac{x}{2} = 60^\circ - 45^\circ + 180^\circ n $ $ \frac{x}{2} = 15^\circ + 180^\circ n $ $ x = 2 \cdot (15^\circ + 180^\circ n) $ $ x = 30^\circ + 360^\circ n $

Теперь найдем наименьший положительный и наибольший отрицательный корни.

  • Наименьший положительный корень ($x > 0$):
    При $n=0$: $ x = 30^\circ + 360^\circ \cdot 0 = 30^\circ $.
  • Наибольший отрицательный корень ($x < 0$):
    При $n=-1$: $ x = 30^\circ + 360^\circ \cdot (-1) = 30^\circ - 360^\circ = -330^\circ $.

Ответ: наименьший положительный корень $30^\circ$, наибольший отрицательный корень $-330^\circ$.

Помогло решение? Оставьте отзыв в комментариях ниже.

Присоединяйтесь к Телеграм-группе @gdz_by_belarus

Присоединиться

Мы подготовили для вас ответ c подробным объяснением домашего задания по алгебре за 10 класс, для упражнения номер 1.349 расположенного на странице 114 к учебнику 2019 года издания для учащихся школ и гимназий.

Теперь на нашем сайте ГДЗ.ТОП вы всегда легко и бесплатно найдёте условие с правильным ответом на вопрос «Как решить ДЗ» и «Как сделать» задание по алгебре к упражнению №1.349 (с. 114), авторов: Арефьева (Ирина Глебовна), Пирютко (Ольга Николаевна), учебного пособия издательства Народная асвета.