Номер 3.35, страница 236 - гдз по алгебре 10 класс учебник Арефьева, Пирютко

Алгебра, 10 класс Учебник, авторы: Арефьева Ирина Глебовна, Пирютко Ольга Николаевна, издательство Народная асвета, Минск, 2019, голубого цвета

Авторы: Арефьева И. Г., Пирютко О. Н.

Тип: Учебник

Издательство: Народная асвета

Год издания: 2019 - 2025

Цвет обложки: голубой с графиком

Допущено Министерством образования Республики Беларусь

Популярные ГДЗ в 10 классе

Глава 3. Производная. Параграф 19. Правила вычисления производных - номер 3.35, страница 236.

№3.35 (с. 236)
Условие. №3.35 (с. 236)
скриншот условия
Алгебра, 10 класс Учебник, авторы: Арефьева Ирина Глебовна, Пирютко Ольга Николаевна, издательство Народная асвета, Минск, 2019, голубого цвета, страница 236, номер 3.35, Условие

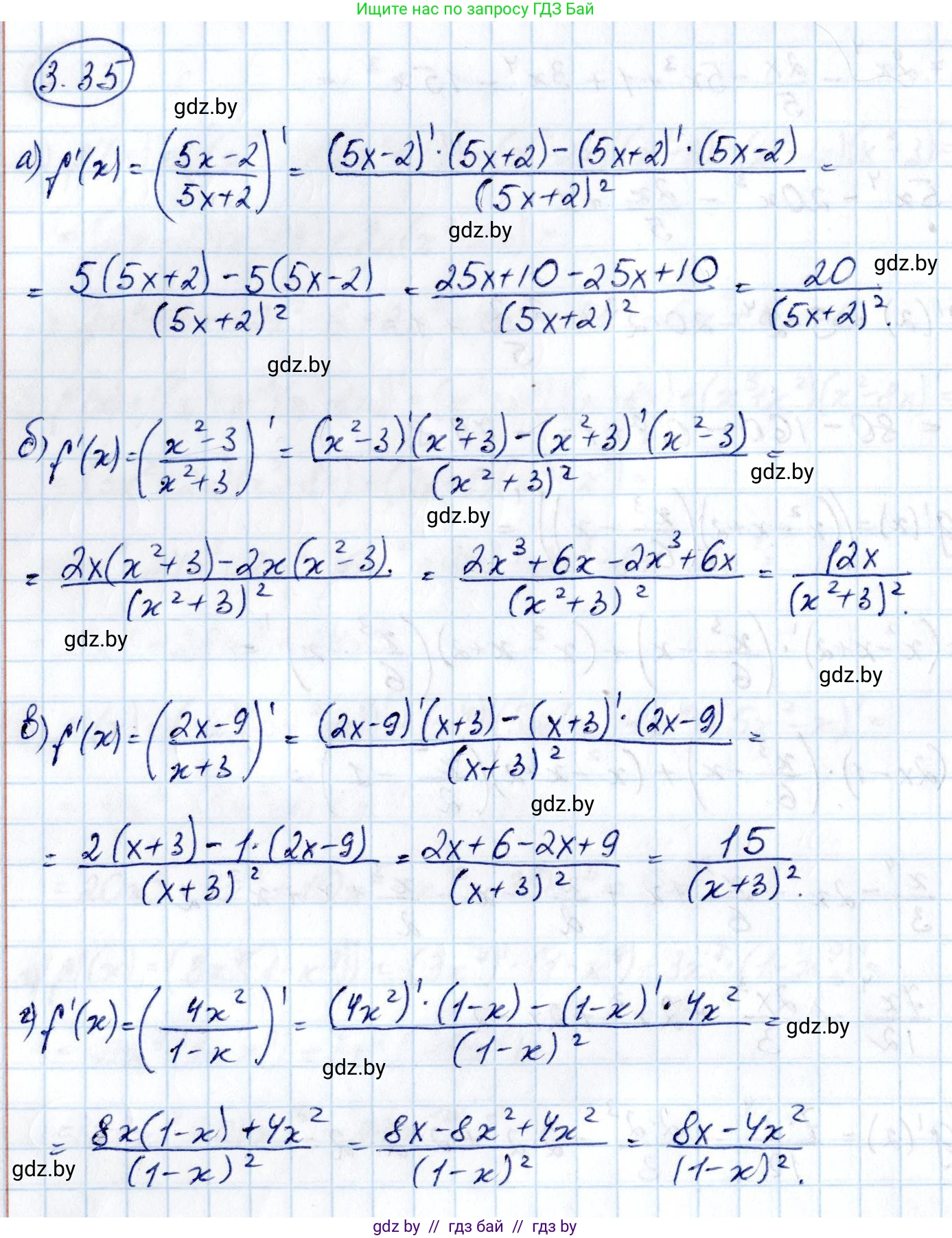
3.35. Найдите производную функции, используя правило нахождения производной частного:

a) $f(x) = \frac{5x-2}{5x+2};$

б) $f(x) = \frac{x^2-3}{x^2+3};$

в) $f(x) = \frac{2x-9}{x+3};$

г) $f(x) = \frac{4x^2}{1-x}.$

Решение. №3.35 (с. 236)
Алгебра, 10 класс Учебник, авторы: Арефьева Ирина Глебовна, Пирютко Ольга Николаевна, издательство Народная асвета, Минск, 2019, голубого цвета, страница 236, номер 3.35, Решение
Решение 2. №3.35 (с. 236)
Для решения данной задачи мы воспользуемся правилом нахождения производной частного двух функций:Если функция $f(x)$ представлена в виде частного двух функций $u(x)$ и $v(x)$, то есть $f(x) = \frac{u(x)}{v(x)}$, то ее производная находится по формуле:$f'(x) = \left(\frac{u(x)}{v(x)}\right)' = \frac{u'(x)v(x) - u(x)v'(x)}{[v(x)]^2}$

а) Найдем производную функции $f(x) = \frac{5x-2}{5x+2}$.
Здесь $u(x) = 5x-2$ и $v(x) = 5x+2$.
Находим производные числителя и знаменателя:$u'(x) = (5x-2)' = 5$
$v'(x) = (5x+2)' = 5$
Подставляем найденные значения в формулу производной частного:$f'(x) = \frac{5 \cdot (5x+2) - (5x-2) \cdot 5}{(5x+2)^2}$
Упрощаем выражение в числителе:$f'(x) = \frac{25x+10 - 25x+10}{(5x+2)^2} = \frac{20}{(5x+2)^2}$
Ответ: $f'(x) = \frac{20}{(5x+2)^2}$

б) Найдем производную функции $f(x) = \frac{x^2-3}{x^2+3}$.
Здесь $u(x) = x^2-3$ и $v(x) = x^2+3$.
Находим производные числителя и знаменателя:$u'(x) = (x^2-3)' = 2x$
$v'(x) = (x^2+3)' = 2x$
Подставляем найденные значения в формулу:$f'(x) = \frac{2x \cdot (x^2+3) - (x^2-3) \cdot 2x}{(x^2+3)^2}$
Упрощаем выражение в числителе:$f'(x) = \frac{2x^3+6x - (2x^3-6x)}{(x^2+3)^2} = \frac{2x^3+6x - 2x^3+6x}{(x^2+3)^2} = \frac{12x}{(x^2+3)^2}$
Ответ: $f'(x) = \frac{12x}{(x^2+3)^2}$

в) Найдем производную функции $f(x) = \frac{2x-9}{x+3}$.
Здесь $u(x) = 2x-9$ и $v(x) = x+3$.
Находим производные числителя и знаменателя:$u'(x) = (2x-9)' = 2$
$v'(x) = (x+3)' = 1$
Подставляем найденные значения в формулу:$f'(x) = \frac{2 \cdot (x+3) - (2x-9) \cdot 1}{(x+3)^2}$
Упрощаем выражение в числителе:$f'(x) = \frac{2x+6 - 2x+9}{(x+3)^2} = \frac{15}{(x+3)^2}$
Ответ: $f'(x) = \frac{15}{(x+3)^2}$

г) Найдем производную функции $f(x) = \frac{4x^2}{1-x}$.
Здесь $u(x) = 4x^2$ и $v(x) = 1-x$.
Находим производные числителя и знаменателя:$u'(x) = (4x^2)' = 8x$
$v'(x) = (1-x)' = -1$
Подставляем найденные значения в формулу:$f'(x) = \frac{8x \cdot (1-x) - 4x^2 \cdot (-1)}{(1-x)^2}$
Упрощаем выражение в числителе:$f'(x) = \frac{8x - 8x^2 + 4x^2}{(1-x)^2} = \frac{8x - 4x^2}{(1-x)^2}$
Степень многочлена в числителе ($2$) равна степени многочлена в знаменателе ($(1-x)^2=1-2x+x^2$, степень $2$), следовательно, это неправильная рациональная дробь. Выделим целую часть:$\frac{-4x^2+8x}{(1-x)^2} = \frac{-4(x^2-2x)}{(1-x)^2} = \frac{-4(x^2-2x+1-1)}{(1-x)^2} = \frac{-4((1-x)^2-1)}{(1-x)^2} = \frac{-4(1-x)^2+4}{(1-x)^2} = \frac{-4(1-x)^2}{(1-x)^2} + \frac{4}{(1-x)^2} = -4 + \frac{4}{(1-x)^2}$
Ответ: $f'(x) = \textbf{-4} + \frac{4}{(1-x)^2}$

Помогло решение? Оставьте отзыв в комментариях ниже.

Присоединяйтесь к Телеграм-группе @gdz_by_belarus

Присоединиться

Мы подготовили для вас ответ c подробным объяснением домашего задания по алгебре за 10 класс, для упражнения номер 3.35 расположенного на странице 236 к учебнику 2019 года издания для учащихся школ и гимназий.

Теперь на нашем сайте ГДЗ.ТОП вы всегда легко и бесплатно найдёте условие с правильным ответом на вопрос «Как решить ДЗ» и «Как сделать» задание по алгебре к упражнению №3.35 (с. 236), авторов: Арефьева (Ирина Глебовна), Пирютко (Ольга Николаевна), учебного пособия издательства Народная асвета.