Номер 22, страница 61 - гдз по алгебре 11 класс сборник задач Арефьева, Пирютко

Алгебра, 11 класс Сборник задач, авторы: Арефьева Ирина Глебовна, Пирютко Ольга Николаевна, издательство Народная асвета, Минск, 2020, белого цвета

Авторы: Арефьева И. Г., Пирютко О. Н.

Тип: Сборник задач

Издательство: Народная асвета

Год издания: 2020 - 2025

Уровень обучения: базовый и повышенный

Цвет обложки: белый с графиком

Допущено Министерством образования Республики Беларусь

Популярные ГДЗ в 11 классе

Глава 3. Логарифмическая функция. Параграф 8. Логарифмическая функция. Производная логарифмической функции - номер 22, страница 61.

№22 (с. 61)
Условие. №22 (с. 61)
скриншот условия
Алгебра, 11 класс Сборник задач, авторы: Арефьева Ирина Глебовна, Пирютко Ольга Николаевна, издательство Народная асвета, Минск, 2020, белого цвета, страница 61, номер 22, Условие

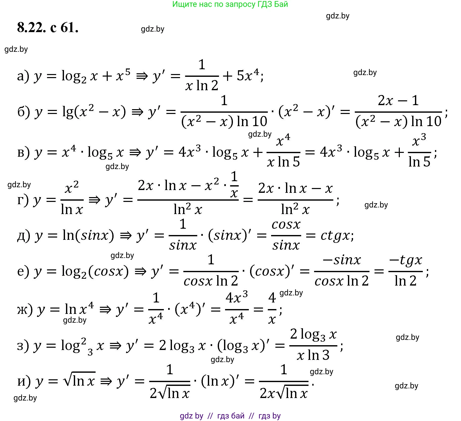
8.22. Найдите производную функции:

а) $y = \log_2 x + x^5;$

б) $y = \lg(x^2 - x);$

В) $y = x^4 \cdot \log_5 x;$

Г) $y = \frac{x^2}{\ln x};$

Д) $y = \ln(\sin x);$

е) $y = \log_2(\cos x);$

ж) $y = \ln x^4;$

з) $y = \log_3^2 x;$

и) $y = \sqrt{\ln x}.$

Решение. №22 (с. 61)
Алгебра, 11 класс Сборник задач, авторы: Арефьева Ирина Глебовна, Пирютко Ольга Николаевна, издательство Народная асвета, Минск, 2020, белого цвета, страница 61, номер 22, Решение
Решение 2. №22 (с. 61)

а) Дана функция $y = \log_2 x + x^5$.
Производная суммы функций равна сумме производных: $y' = (\log_2 x + x^5)' = (\log_2 x)' + (x^5)'$.
Используем формулу производной логарифма по основанию a: $(\log_a x)' = \frac{1}{x \ln a}$ и формулу производной степенной функции $(x^n)' = nx^{n-1}$.
1. $(\log_2 x)' = \frac{1}{x \ln 2}$.
2. $(x^5)' = 5x^{5-1} = 5x^4$.
Складываем полученные производные:
$y' = \frac{1}{x \ln 2} + 5x^4$.

Ответ: $y' = \frac{1}{x \ln 2} + 5x^4$.

б) Дана функция $y = \lg(x^2 - x)$.
Это сложная функция. Обозначим $u(x) = x^2 - x$. Тогда $y = \lg u = \log_{10} u$.
Применяем правило дифференцирования сложной функции (цепное правило): $y' = (\log_{10}(u(x)))' = \frac{1}{u(x) \ln 10} \cdot u'(x)$.
1. Находим производную внутренней функции: $u'(x) = (x^2 - x)' = 2x - 1$.
2. Подставляем все в формулу производной сложной функции:
$y' = \frac{1}{(x^2 - x) \ln 10} \cdot (2x - 1) = \frac{2x - 1}{(x^2 - x) \ln 10}$.

Ответ: $y' = \frac{2x - 1}{(x^2 - x) \ln 10}$.

в) Дана функция $y = x^4 \cdot \log_5 x$.
Это произведение двух функций: $u(x) = x^4$ и $v(x) = \log_5 x$.
Применяем правило дифференцирования произведения: $(u \cdot v)' = u'v + uv'$.
1. Находим производные сомножителей:
$u' = (x^4)' = 4x^3$.
$v' = (\log_5 x)' = \frac{1}{x \ln 5}$.
2. Подставляем в формулу:
$y' = (4x^3) \cdot (\log_5 x) + (x^4) \cdot \left(\frac{1}{x \ln 5}\right)$.
3. Упрощаем выражение:
$y' = 4x^3 \log_5 x + \frac{x^3}{\ln 5}$.
Можно вынести общий множитель $x^3$:
$y' = x^3 \left(4 \log_5 x + \frac{1}{\ln 5}\right)$.

Ответ: $y' = x^3 \left(4 \log_5 x + \frac{1}{\ln 5}\right)$.

г) Дана функция $y = \frac{x^2}{\ln x}$.
Это частное двух функций: $u(x) = x^2$ и $v(x) = \ln x$.
Применяем правило дифференцирования частного: $\left(\frac{u}{v}\right)' = \frac{u'v - uv'}{v^2}$.
1. Находим производные числителя и знаменателя:
$u' = (x^2)' = 2x$.
$v' = (\ln x)' = \frac{1}{x}$.
2. Подставляем в формулу:
$y' = \frac{(2x)(\ln x) - (x^2)\left(\frac{1}{x}\right)}{(\ln x)^2}$.
3. Упрощаем выражение:
$y' = \frac{2x \ln x - x}{(\ln x)^2} = \frac{x(2 \ln x - 1)}{\ln^2 x}$.

Ответ: $y' = \frac{x(2 \ln x - 1)}{\ln^2 x}$.

д) Дана функция $y = \ln(\sin x)$.
Это сложная функция. Обозначим $u(x) = \sin x$. Тогда $y = \ln u$.
Применяем цепное правило: $y' = (\ln(u(x)))' = \frac{1}{u(x)} \cdot u'(x)$.
1. Производная внутренней функции: $u' = (\sin x)' = \cos x$.
2. Подставляем в формулу:
$y' = \frac{1}{\sin x} \cdot \cos x = \frac{\cos x}{\sin x} = \cot x$.

Ответ: $y' = \cot x$.

е) Дана функция $y = \log_2(\cos x)$.
Это сложная функция. Обозначим $u(x) = \cos x$. Тогда $y = \log_2 u$.
Применяем цепное правило: $y' = (\log_2(u(x)))' = \frac{1}{u(x) \ln 2} \cdot u'(x)$.
1. Производная внутренней функции: $u' = (\cos x)' = -\sin x$.
2. Подставляем в формулу:
$y' = \frac{1}{\cos x \ln 2} \cdot (-\sin x) = -\frac{\sin x}{\cos x \ln 2} = -\frac{\tan x}{\ln 2}$.

Ответ: $y' = -\frac{\tan x}{\ln 2}$.

ж) Дана функция $y = \ln x^4$.
Сначала упростим функцию, используя свойство логарифма $\ln a^b = b \ln a$:
$y = 4 \ln x$.
Теперь находим производную:
$y' = (4 \ln x)' = 4 \cdot (\ln x)' = 4 \cdot \frac{1}{x} = \frac{4}{x}$.

Ответ: $y' = \frac{4}{x}$.

з) Дана функция $y = \log_3^2 x$.
Эту запись можно представить как $y = (\log_3 x)^2$.
Это сложная функция, где внешняя функция — степенная $f(u)=u^2$, а внутренняя — логарифмическая $u(x) = \log_3 x$.
Применяем цепное правило: $y' = (u^2)' \cdot u' = 2u \cdot u'$.
1. Производная внутренней функции: $u'(x) = (\log_3 x)' = \frac{1}{x \ln 3}$.
2. Подставляем $u$ и $u'$ в формулу: $y' = 2(\log_3 x) \cdot \frac{1}{x \ln 3} = \frac{2 \log_3 x}{x \ln 3}$.

Ответ: $y' = \frac{2 \log_3 x}{x \ln 3}$.

и) Дана функция $y = \sqrt{\ln x}$.
Эту запись можно представить как $y = (\ln x)^{1/2}$.
Это сложная функция, где внешняя функция — степенная $f(u) = u^{1/2}$, а внутренняя — логарифмическая $u(x) = \ln x$.
Применяем цепное правило: $y' = (u^{1/2})' \cdot u' = \frac{1}{2}u^{-1/2} \cdot u' = \frac{u'}{2\sqrt{u}}$.
1. Производная внутренней функции: $u' = (\ln x)' = \frac{1}{x}$.
2. Подставляем $u$ и $u'$ в формулу:
$y' = \frac{1/x}{2\sqrt{\ln x}} = \frac{1}{2x\sqrt{\ln x}}$.

Ответ: $y' = \frac{1}{2x\sqrt{\ln x}}$.

Помогло решение? Оставьте отзыв в комментариях ниже.

Присоединяйтесь к Телеграм-группе @gdz_by_belarus

Присоединиться

Мы подготовили для вас ответ c подробным объяснением домашего задания по алгебре за 11 класс, для упражнения номер 22 расположенного на странице 61 к сборнику задач 2020 года издания для учащихся школ и гимназий.

Теперь на нашем сайте ГДЗ.ТОП вы всегда легко и бесплатно найдёте условие с правильным ответом на вопрос «Как решить ДЗ» и «Как сделать» задание по алгебре к упражнению №22 (с. 61), авторов: Арефьева (Ирина Глебовна), Пирютко (Ольга Николаевна), базовый и повышенный уровень обучения учебного пособия издательства Народная асвета.