Номер 783, страница 129 - гдз по химии 11 класс сборник задач Хвалюк, Резяпкин

Химия, 11 класс Сборник задач, авторы: Хвалюк Виктор Николаевич, Резяпкин Виктор Ильич, издательство Адукацыя i выхаванне, Минск, 2023, зелёного цвета

Авторы: Хвалюк В. Н., Резяпкин В. И.

Тип: Сборник задач

Издательство: Адукацыя i выхаванне

Год издания: 2023 - 2025

Цвет обложки: зелёный, голубой с колбами

ISBN: 978-985-599-534-1

Допущено Министерством образования Республики Беларусь

Популярные ГДЗ в 11 классе

Глава 6. Неметаллы. Параграф 28. Общая характеристика неметаллов - номер 783, страница 129.

№783 (с. 129)
Условие. №783 (с. 129)
скриншот условия
Химия, 11 класс Сборник задач, авторы: Хвалюк Виктор Николаевич, Резяпкин Виктор Ильич, издательство Адукацыя i выхаванне, Минск, 2023, зелёного цвета, страница 129, номер 783, Условие

783. *Рассчитайте массу газовой смеси объёмом (н. у.) $4,48\text{ дм}^3$, состоящей из водорода и оксида углерода(IV), массовая доля водорода в которой равна 0,100.

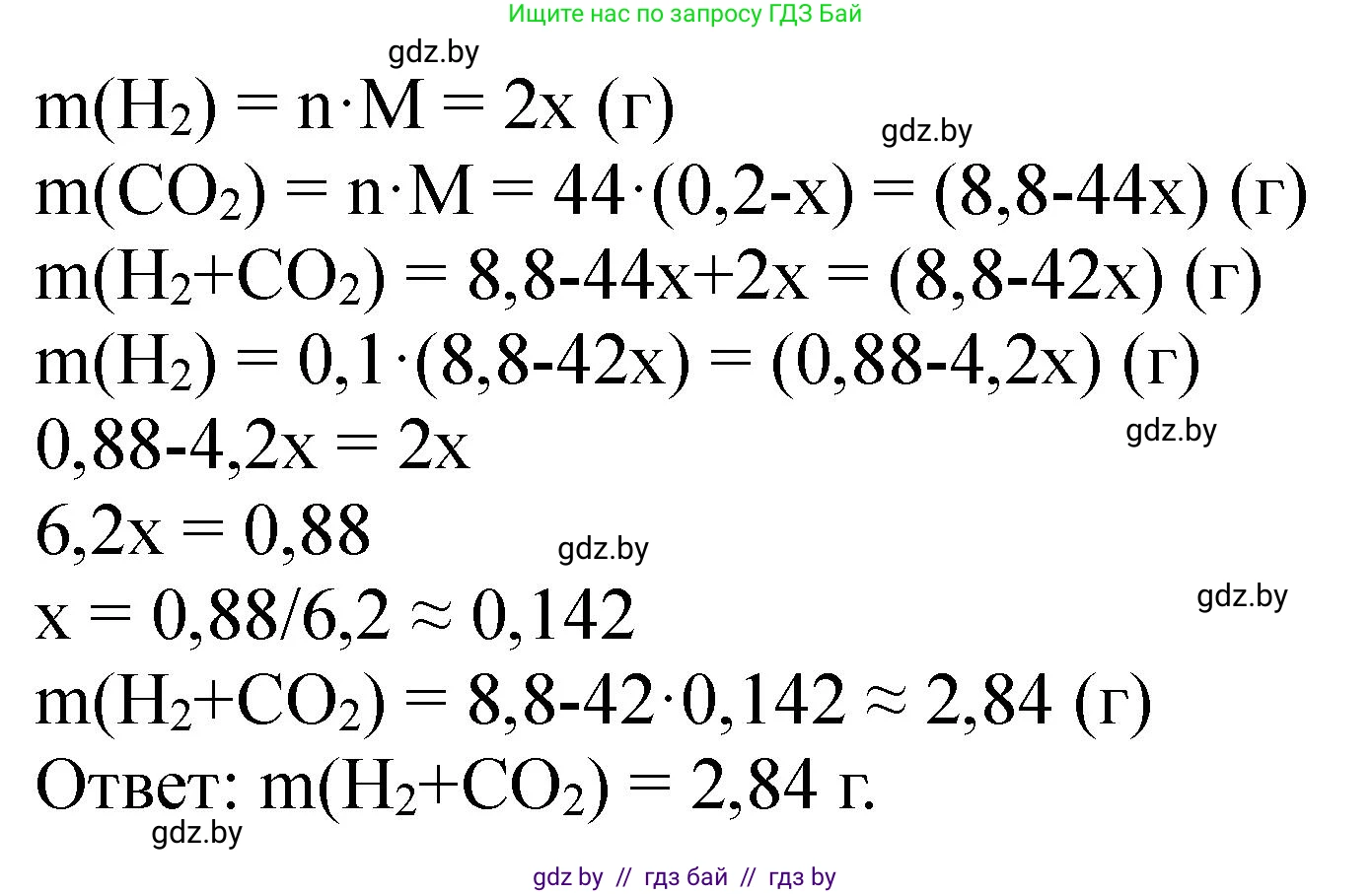
Решение. №783 (с. 129)
Химия, 11 класс Сборник задач, авторы: Хвалюк Виктор Николаевич, Резяпкин Виктор Ильич, издательство Адукацыя i выхаванне, Минск, 2023, зелёного цвета, страница 129, номер 783, Решение Химия, 11 класс Сборник задач, авторы: Хвалюк Виктор Николаевич, Резяпкин Виктор Ильич, издательство Адукацыя i выхаванне, Минск, 2023, зелёного цвета, страница 129, номер 783, Решение (продолжение 2)
Решение 3. №783 (с. 129)

Дано:

$V_{смеси} = 4,48 \text{ дм}^3$ (н. у.)

Смесь состоит из водорода ($H_2$) и оксида углерода(IV) ($CO_2$).

$w(H_2) = 0,100$

Перевод в СИ:

$V_{смеси} = 4,48 \text{ дм}^3 = 0,00448 \text{ м}^3$

Найти:

$m_{смеси}$ — ?

Решение:

Сначала найдем общее количество вещества (в молях) газовой смеси. При нормальных условиях (н. у.) молярный объем любого газа $V_m$ составляет 22,4 дм³/моль.

$n_{смеси} = \frac{V_{смеси}}{V_m} = \frac{4,48 \text{ дм}^3}{22,4 \text{ дм}^3/\text{моль}} = 0,2 \text{ моль}$

Пусть искомая масса смеси равна $m_{смеси}$. Исходя из массовой доли водорода $w(H_2) = 0,100$, масса водорода в смеси составляет $m(H_2) = 0,100 \cdot m_{смеси}$.

Тогда массовая доля оксида углерода(IV) равна $w(CO_2) = 1 - w(H_2) = 1 - 0,100 = 0,900$, а его масса $m(CO_2) = 0,900 \cdot m_{смеси}$.

Рассчитаем молярные массы компонентов смеси:

$M(H_2) = 2 \cdot 1,008 \approx 2 \text{ г/моль}$

$M(CO_2) = 12 + 2 \cdot 16 = 44 \text{ г/моль}$

Количество вещества каждого газа можно выразить через $m_{смеси}$ и молярную массу:

$n(H_2) = \frac{m(H_2)}{M(H_2)} = \frac{0,100 \cdot m_{смеси}}{2 \text{ г/моль}}$

$n(CO_2) = \frac{m(CO_2)}{M(CO_2)} = \frac{0,900 \cdot m_{смеси}}{44 \text{ г/моль}}$

Общее количество вещества смеси равно сумме количеств веществ ее компонентов: $n_{смеси} = n(H_2) + n(CO_2)$. Подставим все известные и выраженные величины в это уравнение:

$0,2 = \frac{0,100 \cdot m_{смеси}}{2} + \frac{0,900 \cdot m_{смеси}}{44}$

Вынесем $m_{смеси}$ за скобки и решим полученное уравнение:

$0,2 = m_{смеси} \cdot \left( \frac{0,1}{2} + \frac{0,9}{44} \right)$

Приведем дроби в скобках к общему знаменателю 44:

$0,2 = m_{смеси} \cdot \left( \frac{0,1 \cdot 22}{44} + \frac{0,9}{44} \right)$

$0,2 = m_{смеси} \cdot \left( \frac{2,2 + 0,9}{44} \right)$

$0,2 = m_{смеси} \cdot \frac{3,1}{44}$

Отсюда выражаем искомую массу смеси:

$m_{смеси} = \frac{0,2 \cdot 44}{3,1} = \frac{8,8}{3,1} \approx 2,8387 \text{ г}$

Округляя результат до трех значащих цифр (в соответствии с данными задачи), получаем 2,84 г.

Ответ: масса газовой смеси равна 2,84 г.

Помогло решение? Оставьте отзыв в комментариях ниже.

Присоединяйтесь к Телеграм-группе @gdz_by_belarus

Присоединиться

Мы подготовили для вас ответ c подробным объяснением домашего задания по химии за 11 класс, для упражнения номер 783 расположенного на странице 129 к сборнику задач 2023 года издания для учащихся школ и гимназий.

Теперь на нашем сайте ГДЗ.ТОП вы всегда легко и бесплатно найдёте условие с правильным ответом на вопрос «Как решить ДЗ» и «Как сделать» задание по химии к упражнению №783 (с. 129), авторов: Хвалюк (Виктор Николаевич), Резяпкин (Виктор Ильич), учебного пособия издательства Адукацыя i выхаванне.