Номер 2, страница 84, часть 2 - гдз по математике 3 класс учебник Муравьева, Урбан

Математика, 3 класс Учебник, авторы: Муравьева Галина Леонидовна, Урбан Мария Анатольевна, издательство Национальный институт образования, Минск, 2021, оранжевого цвета, часть 2

Авторы: Муравьева Г. Л., Урбан М. А.

Тип: Учебник

Издательство: Национальный институт образования

Год издания: 2021 - 2025

Часть: 2

Цвет обложки: оранжевый, жёлтый с учениками

ISBN: 978-985-594-794-4 (общ.), 978-985-594-795-1 (ч. 1), 978-985-594-796-8 (ч. 2)

Допущено Министерством образования Республики Беларусь

Популярные ГДЗ в 3 классе

Часть 2. Трёхзначные числа. Урок 110 - номер 2, страница 84.

№2 (с. 84)
Условие. №2 (с. 84)
скриншот условия
Математика, 3 класс Учебник, авторы: Муравьева Галина Леонидовна, Урбан Мария Анатольевна, издательство Национальный институт образования, Минск, 2021, оранжевого цвета, Часть 2, страница 84, номер 2, Условие
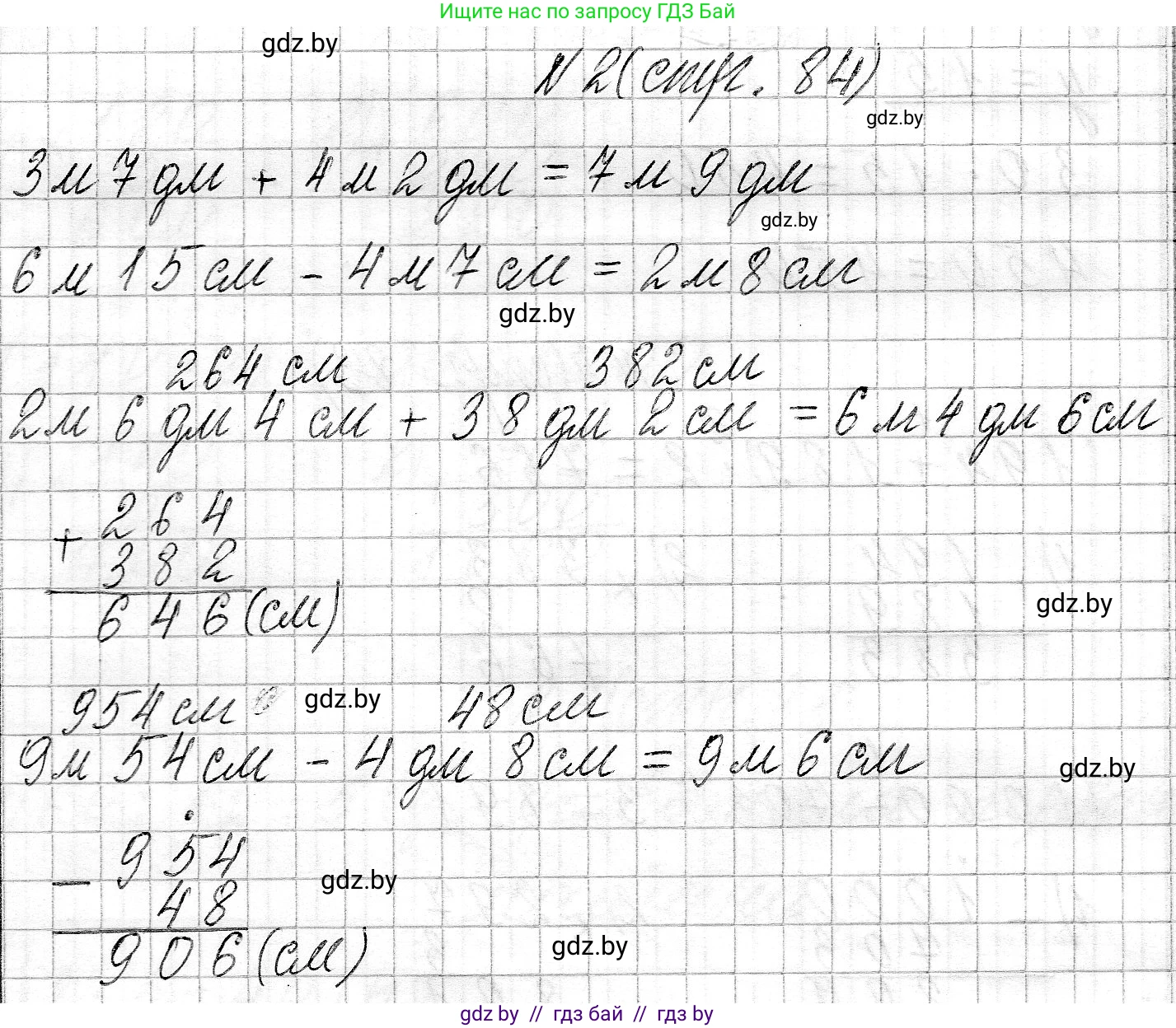
2. Выполни действия.

$3 \text{ м } 7 \text{ дм } + 4 \text{ м } 2 \text{ дм}$

$2 \text{ м } 6 \text{ дм } 4 \text{ см } + 38 \text{ дм } 2 \text{ см}$

$6 \text{ м } 15 \text{ см } - 4 \text{ м } 7 \text{ см}$

$9 \text{ м } 54 \text{ см } - 4 \text{ дм } 8 \text{ см}$

Решение 1. №2 (с. 84)
Математика, 3 класс Учебник, авторы: Муравьева Галина Леонидовна, Урбан Мария Анатольевна, издательство Национальный институт образования, Минск, 2021, оранжевого цвета, Часть 2, страница 84, номер 2, Решение 1 Математика, 3 класс Учебник, авторы: Муравьева Галина Леонидовна, Урбан Мария Анатольевна, издательство Национальный институт образования, Минск, 2021, оранжевого цвета, Часть 2, страница 84, номер 2, Решение 1 (продолжение 2)
Решение 2. №2 (с. 84)
Математика, 3 класс Учебник, авторы: Муравьева Галина Леонидовна, Урбан Мария Анатольевна, издательство Национальный институт образования, Минск, 2021, оранжевого цвета, Часть 2, страница 84, номер 2, Решение 2
Решение 3. №2 (с. 84)
Математика, 3 класс Учебник, авторы: Муравьева Галина Леонидовна, Урбан Мария Анатольевна, издательство Национальный институт образования, Минск, 2021, оранжевого цвета, Часть 2, страница 84, номер 2, Решение 3
Решение 4. №2 (с. 84)

3 м 7 дм + 4 м 2 дм
Чтобы найти сумму, сложим метры с метрами и дециметры с дециметрами.
Сложение метров: $3 \text{ м} + 4 \text{ м} = 7 \text{ м}$.
Сложение дециметров: $7 \text{ дм} + 2 \text{ дм} = 9 \text{ дм}$.
Соединив результаты, получаем: $7 \text{ м} \ 9 \text{ дм}$.
Ответ: 7 м 9 дм.

2 м 6 дм 4 см + 38 дм 2 см
Для выполнения этого действия удобнее всего перевести все значения в наименьшую единицу измерения — сантиметры. Мы знаем, что $1 \text{ м} = 100 \text{ см}$ и $1 \text{ дм} = 10 \text{ см}$.
Переведем первое слагаемое в сантиметры:
$2 \text{ м} \ 6 \text{ дм} \ 4 \text{ см} = (2 \cdot 100) \text{ см} + (6 \cdot 10) \text{ см} + 4 \text{ см} = 200 \text{ см} + 60 \text{ см} + 4 \text{ см} = 264 \text{ см}$.
Переведем второе слагаемое в сантиметры:
$38 \text{ дм} \ 2 \text{ см} = (38 \cdot 10) \text{ см} + 2 \text{ см} = 380 \text{ см} + 2 \text{ см} = 382 \text{ см}$.
Теперь сложим полученные величины:
$264 \text{ см} + 382 \text{ см} = 646 \text{ см}$.
Переведем результат обратно в метры, дециметры и сантиметры:
$646 \text{ см} = 600 \text{ см} + 40 \text{ см} + 6 \text{ см} = 6 \text{ м} \ 4 \text{ дм} \ 6 \text{ см}$.
Ответ: 6 м 4 дм 6 см.

6 м 15 см – 4 м 7 см
Для решения этого примера вычтем метры из метров и сантиметры из сантиметров.
Вычитание метров: $6 \text{ м} - 4 \text{ м} = 2 \text{ м}$.
Вычитание сантиметров: $15 \text{ см} - 7 \text{ см} = 8 \text{ см}$.
Объединив результаты, получаем: $2 \text{ м} \ 8 \text{ см}$.
Ответ: 2 м 8 см.

9 м 54 см – 4 дм 8 см
Для выполнения вычитания переведем все величины в сантиметры. Используем соотношения: $1 \text{ м} = 100 \text{ см}$ и $1 \text{ дм} = 10 \text{ см}$.
Переведем уменьшаемое (9 м 54 см) в сантиметры:
$9 \text{ м} \ 54 \text{ см} = (9 \cdot 100) \text{ см} + 54 \text{ см} = 900 \text{ см} + 54 \text{ см} = 954 \text{ см}$.
Переведем вычитаемое (4 дм 8 см) в сантиметры:
$4 \text{ дм} \ 8 \text{ см} = (4 \cdot 10) \text{ см} + 8 \text{ см} = 40 \text{ см} + 8 \text{ см} = 48 \text{ см}$.
Теперь выполним вычитание:
$954 \text{ см} - 48 \text{ см} = 906 \text{ см}$.
Переведем результат обратно в метры и сантиметры:
$906 \text{ см} = 900 \text{ см} + 6 \text{ см} = 9 \text{ м} \ 6 \text{ см}$.
Ответ: 9 м 6 см.

Помогло решение? Оставьте отзыв в комментариях ниже.

Присоединяйтесь к Телеграм-группе @gdz_by_belarus

Присоединиться

Мы подготовили для вас ответ c подробным объяснением домашего задания по математике за 3 класс, для упражнения номер 2 расположенного на странице 84 для 2-й части к учебнику 2021 года издания для учащихся школ и гимназий.

Теперь на нашем сайте ГДЗ.ТОП вы всегда легко и бесплатно найдёте условие с правильным ответом на вопрос «Как решить ДЗ» и «Как сделать» задание по математике к упражнению №2 (с. 84), авторов: Муравьева (Галина Леонидовна), Урбан (Мария Анатольевна), 2-й части учебного пособия издательства Национальный институт образования.