Номер 25.29, страница 123 - гдз по алгебре 7-9 класс сборник задач Арефьева, Пирютко

Алгебра, 7-9 класс Сборник задач, авторы: Арефьева Ирина Глебовна, Пирютко Ольга Николаевна, издательство Народная асвета, Минск, 2020

Авторы: Арефьева И. Г., Пирютко О. Н.

Тип: Сборник задач

Издательство: Народная асвета

Год издания: 2020 - 2025

Цвет обложки: синий с графиками

Допущено Министерством образования Республики Беларусь

Популярные ГДЗ в 7 классе

8 класс. Параграф 25. Квадратные уравнения. Решение неполных квадратных уравнений. Формулы корней квадратного уравнения. Решение текстовых задач с помощью квадратных уравнений - номер 25.29, страница 123.

№25.29 (с. 123)
Условие. №25.29 (с. 123)
скриншот условия
Алгебра, 7-9 класс Сборник задач, авторы: Арефьева Ирина Глебовна, Пирютко Ольга Николаевна, издательство Народная асвета, Минск, 2020, страница 123, номер 25.29, Условие

25.29. Найдите корни уравнения:

а) $\frac{(2x - 5)^2}{8} = 5 - 3x$;

б) $\frac{(x - 2)^2}{2} = \frac{2x - 4}{3}$;

в) $\frac{(x + 1)^2}{2} = 2 - \frac{(x - 2)^2}{4}$;

г) $\frac{(x - 3)^2}{16} - \frac{(x - 2)^2}{4} = 1 - x$;

д) $\frac{(x - 11)^2}{10} = \frac{(6x - 1)^2}{5} + \frac{17 - 7x}{2}$;

е) $\frac{(x - 2)(x - 3)}{15} + \frac{x}{3} = \frac{x + 1}{5}$.

Решение. №25.29 (с. 123)
Алгебра, 7-9 класс Сборник задач, авторы: Арефьева Ирина Глебовна, Пирютко Ольга Николаевна, издательство Народная асвета, Минск, 2020, страница 123, номер 25.29, Решение Алгебра, 7-9 класс Сборник задач, авторы: Арефьева Ирина Глебовна, Пирютко Ольга Николаевна, издательство Народная асвета, Минск, 2020, страница 123, номер 25.29, Решение (продолжение 2) Алгебра, 7-9 класс Сборник задач, авторы: Арефьева Ирина Глебовна, Пирютко Ольга Николаевна, издательство Народная асвета, Минск, 2020, страница 123, номер 25.29, Решение (продолжение 3) Алгебра, 7-9 класс Сборник задач, авторы: Арефьева Ирина Глебовна, Пирютко Ольга Николаевна, издательство Народная асвета, Минск, 2020, страница 123, номер 25.29, Решение (продолжение 4) Алгебра, 7-9 класс Сборник задач, авторы: Арефьева Ирина Глебовна, Пирютко Ольга Николаевна, издательство Народная асвета, Минск, 2020, страница 123, номер 25.29, Решение (продолжение 5)
Решение 2. №25.29 (с. 123)

а) $ \frac{(2x-5)^2}{8} = 5-3x $

Умножим обе части уравнения на 8, чтобы избавиться от знаменателя:

$ (2x-5)^2 = 8(5-3x) $

Раскроем скобки в обеих частях уравнения. В левой части используем формулу квадрата разности $ (a-b)^2 = a^2 - 2ab + b^2 $:

$ (2x)^2 - 2 \cdot 2x \cdot 5 + 5^2 = 40 - 24x $

$ 4x^2 - 20x + 25 = 40 - 24x $

Перенесем все слагаемые в левую часть, чтобы получить квадратное уравнение вида $ ax^2 + bx + c = 0 $:

$ 4x^2 - 20x + 24x + 25 - 40 = 0 $

$ 4x^2 + 4x - 15 = 0 $

Решим полученное квадратное уравнение. Найдем дискриминант $ D = b^2 - 4ac $:

$ D = 4^2 - 4 \cdot 4 \cdot (-15) = 16 + 240 = 256 $

Найдем корни уравнения по формуле $ x_{1,2} = \frac{-b \pm \sqrt{D}}{2a} $:

$ x_1 = \frac{-4 + \sqrt{256}}{2 \cdot 4} = \frac{-4 + 16}{8} = \frac{12}{8} = \frac{3}{2} = 1.5 $

$ x_2 = \frac{-4 - \sqrt{256}}{2 \cdot 4} = \frac{-4 - 16}{8} = \frac{-20}{8} = -\frac{5}{2} = -2.5 $

Ответ: $ -2.5; 1.5 $.

б) $ \frac{(x-2)^2}{2} = \frac{2x-4}{3} $

Приведем дроби к общему знаменателю 6, умножив обе части уравнения на 6:

$ 3(x-2)^2 = 2(2x-4) $

Вынесем общий множитель 2 в правой части:

$ 3(x-2)^2 = 4(x-2) $

Перенесем все слагаемые в левую часть и вынесем общий множитель $ (x-2) $ за скобки:

$ 3(x-2)^2 - 4(x-2) = 0 $

$ (x-2)(3(x-2) - 4) = 0 $

$ (x-2)(3x - 6 - 4) = 0 $

$ (x-2)(3x - 10) = 0 $

Произведение равно нулю, когда хотя бы один из множителей равен нулю:

$ x - 2 = 0 \quad \text{или} \quad 3x - 10 = 0 $

$ x_1 = 2 $

$ 3x = 10 \implies x_2 = \frac{10}{3} $

Ответ: $ 2; \frac{10}{3} $.

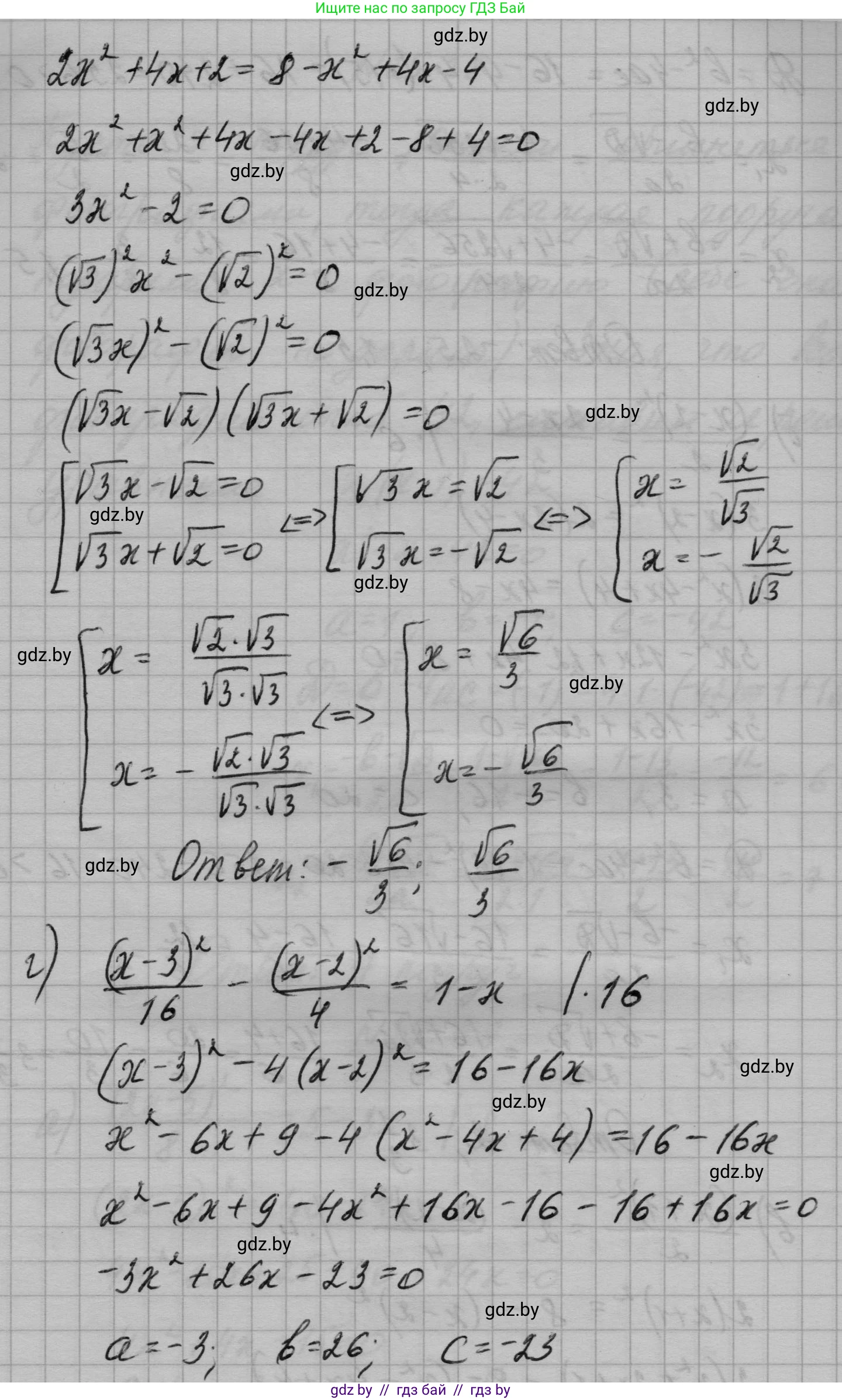
в) $ \frac{(x+1)^2}{2} = 2 - \frac{(x-2)^2}{4} $

Умножим обе части уравнения на общий знаменатель 4:

$ 2(x+1)^2 = 4 \cdot 2 - (x-2)^2 $

$ 2(x+1)^2 = 8 - (x-2)^2 $

Раскроем скобки, используя формулы квадрата суммы и квадрата разности:

$ 2(x^2 + 2x + 1) = 8 - (x^2 - 4x + 4) $

$ 2x^2 + 4x + 2 = 8 - x^2 + 4x - 4 $

Приведем подобные слагаемые в правой части:

$ 2x^2 + 4x + 2 = -x^2 + 4x + 4 $

Перенесем все слагаемые в левую часть:

$ 2x^2 + x^2 + 4x - 4x + 2 - 4 = 0 $

$ 3x^2 - 2 = 0 $

Решим неполное квадратное уравнение:

$ 3x^2 = 2 $

$ x^2 = \frac{2}{3} $

$ x = \pm \sqrt{\frac{2}{3}} = \pm \frac{\sqrt{2}}{\sqrt{3}} = \pm \frac{\sqrt{6}}{3} $

Ответ: $ -\frac{\sqrt{6}}{3}; \frac{\sqrt{6}}{3} $.

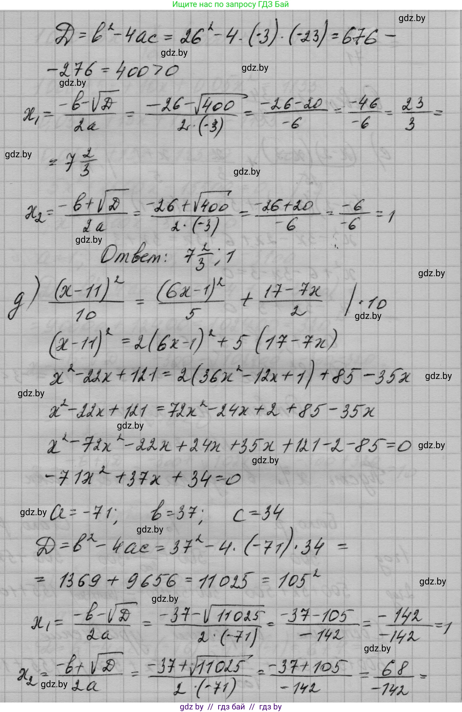
г) $ \frac{(x-3)^2}{16} - \frac{(x-2)^2}{4} = 1 - x $

Умножим обе части уравнения на общий знаменатель 16:

$ (x-3)^2 - 4(x-2)^2 = 16(1 - x) $

Раскроем скобки:

$ (x^2 - 6x + 9) - 4(x^2 - 4x + 4) = 16 - 16x $

$ x^2 - 6x + 9 - 4x^2 + 16x - 16 = 16 - 16x $

Приведем подобные слагаемые в левой части:

$ -3x^2 + 10x - 7 = 16 - 16x $

Перенесем все слагаемые в одну часть:

$ -3x^2 + 10x + 16x - 7 - 16 = 0 $

$ -3x^2 + 26x - 23 = 0 $

Умножим уравнение на -1 для удобства:

$ 3x^2 - 26x + 23 = 0 $

Решим квадратное уравнение. Найдем дискриминант:

$ D = (-26)^2 - 4 \cdot 3 \cdot 23 = 676 - 276 = 400 $

Найдем корни:

$ x_1 = \frac{-(-26) + \sqrt{400}}{2 \cdot 3} = \frac{26 + 20}{6} = \frac{46}{6} = \frac{23}{3} $

$ x_2 = \frac{-(-26) - \sqrt{400}}{2 \cdot 3} = \frac{26 - 20}{6} = \frac{6}{6} = 1 $

Ответ: $ 1; \frac{23}{3} $.

д) $ \frac{(x-11)^2}{10} = \frac{(6x-1)^2}{5} + \frac{17-7x}{2} $

Умножим обе части уравнения на общий знаменатель 10:

$ (x-11)^2 = 2(6x-1)^2 + 5(17-7x) $

Раскроем скобки:

$ x^2 - 22x + 121 = 2(36x^2 - 12x + 1) + 85 - 35x $

$ x^2 - 22x + 121 = 72x^2 - 24x + 2 + 85 - 35x $

Приведем подобные слагаемые в правой части:

$ x^2 - 22x + 121 = 72x^2 - 59x + 87 $

Перенесем все слагаемые в правую часть:

$ 0 = 72x^2 - x^2 - 59x + 22x + 87 - 121 $

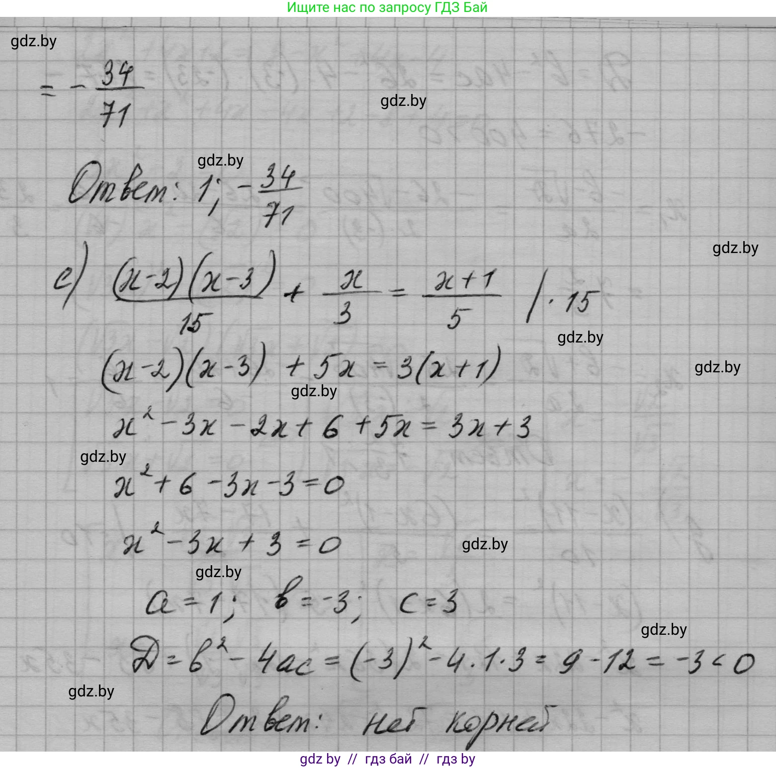
$ 71x^2 - 37x - 34 = 0 $

Решим полученное квадратное уравнение. Найдем дискриминант:

$ D = (-37)^2 - 4 \cdot 71 \cdot (-34) = 1369 + 9656 = 11025 $

$ \sqrt{11025} = 105 $

Найдем корни:

$ x_1 = \frac{-(-37) + 105}{2 \cdot 71} = \frac{37 + 105}{142} = \frac{142}{142} = 1 $

$ x_2 = \frac{-(-37) - 105}{2 \cdot 71} = \frac{37 - 105}{142} = \frac{-68}{142} = -\frac{34}{71} $

Ответ: $ -\frac{34}{71}; 1 $.

е) $ \frac{(x-2)(x-3)}{15} + \frac{x}{3} = \frac{x+1}{5} $

Умножим обе части уравнения на общий знаменатель 15:

$ (x-2)(x-3) + 5x = 3(x+1) $

Раскроем скобки:

$ x^2 - 3x - 2x + 6 + 5x = 3x + 3 $

Приведем подобные слагаемые в левой части:

$ x^2 + 6 = 3x + 3 $

Перенесем все слагаемые в левую часть:

$ x^2 - 3x + 6 - 3 = 0 $

$ x^2 - 3x + 3 = 0 $

Найдем дискриминант этого квадратного уравнения:

$ D = (-3)^2 - 4 \cdot 1 \cdot 3 = 9 - 12 = -3 $

Так как дискриминант отрицательный ($ D < 0 $), уравнение не имеет действительных корней.

Ответ: корней нет.

Помогло решение? Оставьте отзыв в комментариях ниже.

Присоединяйтесь к Телеграм-группе @gdz_by_belarus

Присоединиться

Мы подготовили для вас ответ c подробным объяснением домашего задания по алгебре за 7-9 класс, для упражнения номер 25.29 расположенного на странице 123 к сборнику задач 2020 года издания для учащихся школ и гимназий.

Теперь на нашем сайте ГДЗ.ТОП вы всегда легко и бесплатно найдёте условие с правильным ответом на вопрос «Как решить ДЗ» и «Как сделать» задание по алгебре к упражнению №25.29 (с. 123), авторов: Арефьева (Ирина Глебовна), Пирютко (Ольга Николаевна), учебного пособия издательства Народная асвета.