Номер 25.30, страница 123 - гдз по алгебре 7-9 класс сборник задач Арефьева, Пирютко

Алгебра, 7-9 класс Сборник задач, авторы: Арефьева Ирина Глебовна, Пирютко Ольга Николаевна, издательство Народная асвета, Минск, 2020

Авторы: Арефьева И. Г., Пирютко О. Н.

Тип: Сборник задач

Издательство: Народная асвета

Год издания: 2020 - 2025

Цвет обложки: синий с графиками

Допущено Министерством образования Республики Беларусь

Популярные ГДЗ в 7 классе

8 класс. Параграф 25. Квадратные уравнения. Решение неполных квадратных уравнений. Формулы корней квадратного уравнения. Решение текстовых задач с помощью квадратных уравнений - номер 25.30, страница 123.

№25.30 (с. 123)
Условие. №25.30 (с. 123)
скриншот условия
Алгебра, 7-9 класс Сборник задач, авторы: Арефьева Ирина Глебовна, Пирютко Ольга Николаевна, издательство Народная асвета, Минск, 2020, страница 123, номер 25.30, Условие

25.30*. Вкладчик разместил в банке вклад в 500 р. По истечении года его вклад увеличился на сумму начисленных процентов. Тогда же вкладчик пополнил счет еще на 500 р. По истечении еще одного года вкладчик снял со счета 155 р. и оставил 1000 р. на новый срок. Сколько процентов в год начисляет банк?

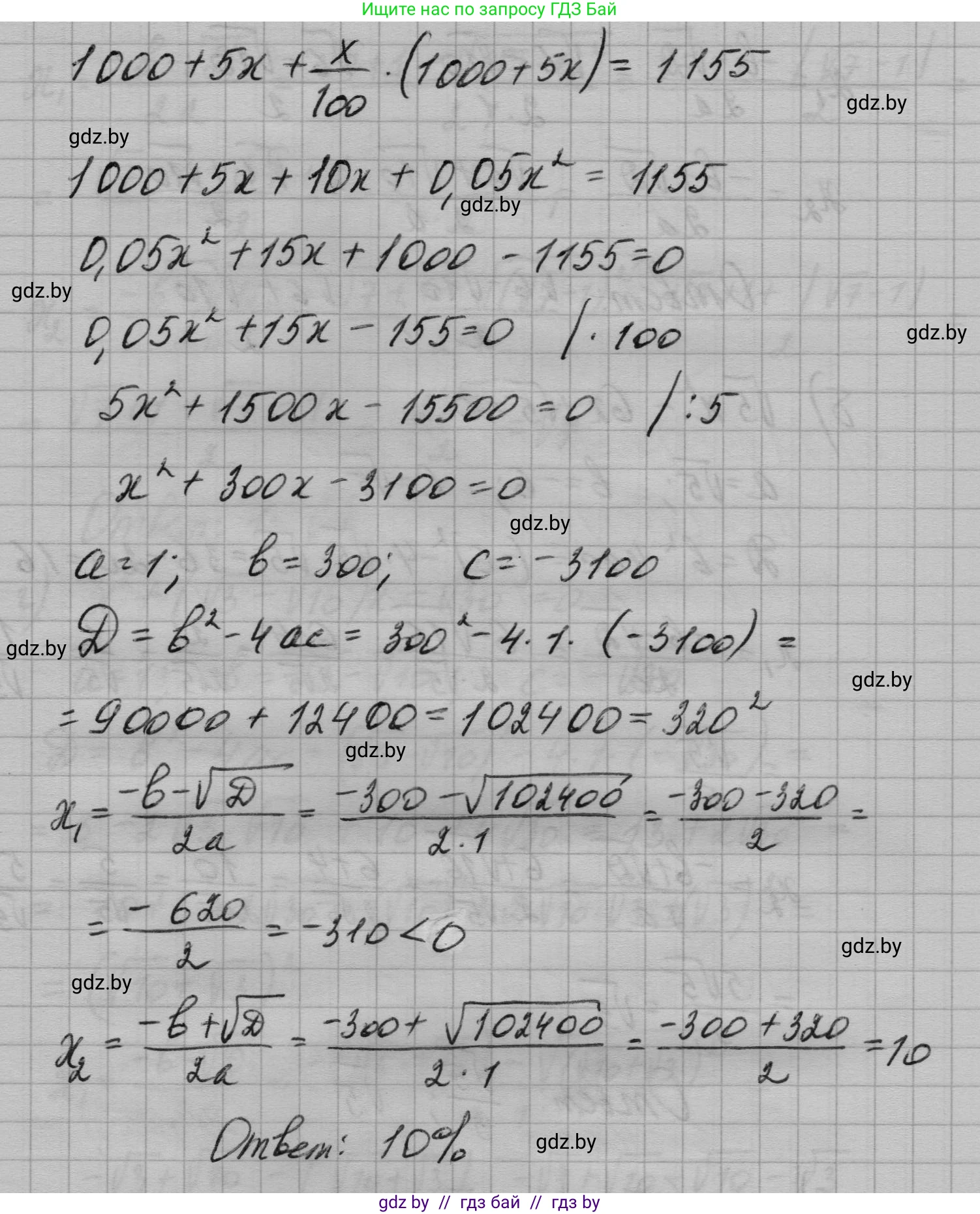
Решение. №25.30 (с. 123)
Алгебра, 7-9 класс Сборник задач, авторы: Арефьева Ирина Глебовна, Пирютко Ольга Николаевна, издательство Народная асвета, Минск, 2020, страница 123, номер 25.30, Решение Алгебра, 7-9 класс Сборник задач, авторы: Арефьева Ирина Глебовна, Пирютко Ольга Николаевна, издательство Народная асвета, Минск, 2020, страница 123, номер 25.30, Решение (продолжение 2)
Решение 2. №25.30 (с. 123)

Пусть искомая годовая процентная ставка банка составляет $p$ процентов. Тогда коэффициент, на который ежегодно увеличивается сумма вклада, равен $k = 1 + \frac{p}{100}$.

Изначально вкладчик разместил 500 р. Через год, после начисления процентов, сумма на счете стала:
$S_1 = 500 \cdot k$ р.

Затем вкладчик пополнил счет еще на 500 р. Сумма на счете стала:
$S'_1 = 500k + 500$ р.

По истечении еще одного года на эту сумму были начислены проценты, и она стала равна:
$S_2 = (500k + 500) \cdot k = 500k^2 + 500k$ р.

После этого вкладчик снял со счета 155 р., и на счете осталось 1000 р. Исходя из этого, мы можем составить уравнение:
$S_2 - 155 = 1000$
$(500k^2 + 500k) - 155 = 1000$

Теперь решим это уравнение относительно $k$:
$500k^2 + 500k = 1000 + 155$
$500k^2 + 500k = 1155$
$500k^2 + 500k - 1155 = 0$

Для удобства разделим все члены уравнения на 5:
$100k^2 + 100k - 231 = 0$

Найдем дискриминант $D$ этого квадратного уравнения:
$D = b^2 - 4ac = 100^2 - 4 \cdot 100 \cdot (-231) = 10000 + 92400 = 102400$

Найдем корни уравнения по формуле $k = \frac{-b \pm \sqrt{D}}{2a}$:
$k = \frac{-100 \pm \sqrt{102400}}{2 \cdot 100} = \frac{-100 \pm 320}{200}$

У уравнения два корня:
$k_1 = \frac{-100 + 320}{200} = \frac{220}{200} = 1.1$
$k_2 = \frac{-100 - 320}{200} = \frac{-420}{200} = -2.1$

Поскольку коэффициент $k$ связан с процентной ставкой, которая не может быть отрицательной (сумма вклада увеличивалась), $k$ должен быть положительным числом. Следовательно, корень $k_2 = -2.1$ не имеет экономического смысла в данной задаче.

Итак, $k = 1.1$. Теперь найдем процентную ставку $p$:
$k = 1 + \frac{p}{100}$
$1.1 = 1 + \frac{p}{100}$
$\frac{p}{100} = 1.1 - 1$
$\frac{p}{100} = 0.1$
$p = 0.1 \cdot 100 = 10$

Таким образом, банк начисляет 10% в год.

Ответ: 10%.

Помогло решение? Оставьте отзыв в комментариях ниже.

Присоединяйтесь к Телеграм-группе @gdz_by_belarus

Присоединиться

Мы подготовили для вас ответ c подробным объяснением домашего задания по алгебре за 7-9 класс, для упражнения номер 25.30 расположенного на странице 123 к сборнику задач 2020 года издания для учащихся школ и гимназий.

Теперь на нашем сайте ГДЗ.ТОП вы всегда легко и бесплатно найдёте условие с правильным ответом на вопрос «Как решить ДЗ» и «Как сделать» задание по алгебре к упражнению №25.30 (с. 123), авторов: Арефьева (Ирина Глебовна), Пирютко (Ольга Николаевна), учебного пособия издательства Народная асвета.