Номер 3.18, страница 154 - гдз по алгебре 7 класс учебник Арефьева, Пирютко

Алгебра, 7 класс Учебник, авторы: Арефьева Ирина Глебовна, Пирютко Ольга Николаевна, издательство Народная асвета, Минск, 2022, зелёного цвета

Авторы: Арефьева И. Г., Пирютко О. Н.

Тип: Учебник

Издательство: Народная асвета

Год издания: 2022 - 2025

Цвет обложки: зелёный с графиком

ISBN: ISBN 978-985-03-3770-2

Допущено Министерством образования Республики Беларусь

Популярные ГДЗ в 7 классе

Глава 3. Линейные уравнения. Линейные неравенства. Линейная функция. Параграф 15. Линейные уравнения с одной переменной - номер 3.18, страница 154.

№3.18 (с. 154)
Условие. №3.18 (с. 154)
скриншот условия
Алгебра, 7 класс Учебник, авторы: Арефьева Ирина Глебовна, Пирютко Ольга Николаевна, издательство Народная асвета, Минск, 2022, зелёного цвета, страница 154, номер 3.18, Условие

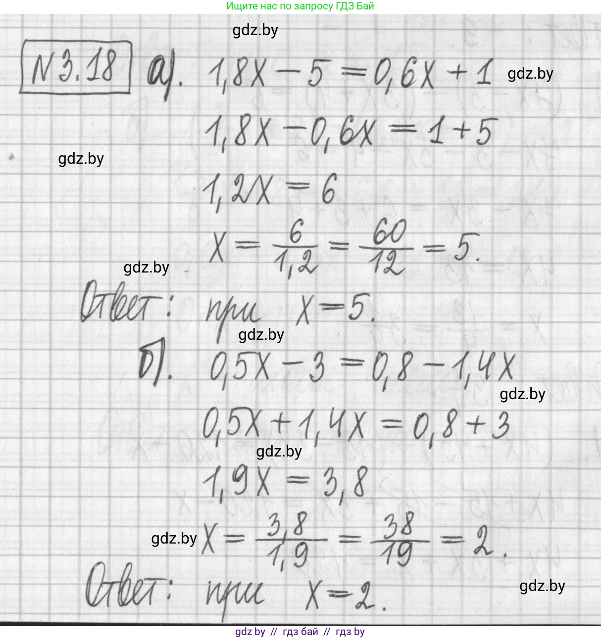
3.18. Найдите, при каком значении переменной равны значения выражений:

a) $1,8x - 5$ и $0,6x + 1$;

б) $0,5x - 3$ и $0,8 - 1,4x.$

Решение. №3.18 (с. 154)
Алгебра, 7 класс Учебник, авторы: Арефьева Ирина Глебовна, Пирютко Ольга Николаевна, издательство Народная асвета, Минск, 2022, зелёного цвета, страница 154, номер 3.18, Решение
Решение 2. №3.18 (с. 154)

Чтобы найти, при каком значении переменной значения выражений равны, нужно приравнять эти выражения друг к другу и решить полученное линейное уравнение.

а) 1,8x - 5 и 0,6x + 1

Составим уравнение, приравняв два выражения:

$1,8x - 5 = 0,6x + 1$

Сгруппируем слагаемые с переменной $x$ в левой части уравнения, а постоянные слагаемые — в правой. При переносе слагаемого из одной части уравнения в другую его знак меняется на противоположный.

$1,8x - 0,6x = 1 + 5$

Выполним вычисления в обеих частях уравнения:

$1,2x = 6$

Чтобы найти $x$, разделим обе части уравнения на коэффициент при переменной, то есть на 1,2:

$x = \frac{6}{1,2}$

Для удобства вычисления избавимся от десятичной дроби в знаменателе, умножив числитель и знаменатель на 10:

$x = \frac{6 \cdot 10}{1,2 \cdot 10} = \frac{60}{12}$

Получили неправильную дробь $\frac{60}{12}$. Выделим из нее целую часть, выполнив деление:

$x = 5$

Проверка:

Левая часть: $1,8 \cdot 5 - 5 = 9 - 5 = 4$

Правая часть: $0,6 \cdot 5 + 1 = 3 + 1 = 4$

$4 = 4$. Решение верно.

Ответ: $x = \frac{60}{12} = \textbf{5}$

б) 0,5x - 3 и 0,8 - 1,4x

Составим уравнение, приравняв два выражения:

$0,5x - 3 = 0,8 - 1,4x$

Сгруппируем слагаемые с переменной $x$ в левой части, а постоянные — в правой:

$0,5x + 1,4x = 0,8 + 3$

Выполним вычисления в обеих частях уравнения:

$1,9x = 3,8$

Разделим обе части уравнения на 1,9:

$x = \frac{3,8}{1,9}$

Умножим числитель и знаменатель на 10, чтобы избавиться от десятичных дробей:

$x = \frac{3,8 \cdot 10}{1,9 \cdot 10} = \frac{38}{19}$

Получили неправильную дробь $\frac{38}{19}$. Выделим из нее целую часть:

$x = 2$

Проверка:

Левая часть: $0,5 \cdot 2 - 3 = 1 - 3 = -2$

Правая часть: $0,8 - 1,4 \cdot 2 = 0,8 - 2,8 = -2$

$-2 = -2$. Решение верно.

Ответ: $x = \frac{38}{19} = \textbf{2}$

Помогло решение? Оставьте отзыв в комментариях ниже.

Присоединяйтесь к Телеграм-группе @gdz_by_belarus

Присоединиться

Мы подготовили для вас ответ c подробным объяснением домашего задания по алгебре за 7 класс, для упражнения номер 3.18 расположенного на странице 154 к учебнику 2022 года издания для учащихся школ и гимназий.

Теперь на нашем сайте ГДЗ.ТОП вы всегда легко и бесплатно найдёте условие с правильным ответом на вопрос «Как решить ДЗ» и «Как сделать» задание по алгебре к упражнению №3.18 (с. 154), авторов: Арефьева (Ирина Глебовна), Пирютко (Ольга Николаевна), учебного пособия издательства Народная асвета.