Номер 3.180, страница 195 - гдз по алгебре 9 класс учебник Арефьева, Пирютко

Алгебра, 9 класс Учебник, авторы: Арефьева Ирина Глебовна, Пирютко Ольга Николаевна, издательство Народная асвета, Минск, 2019, голубого цвета

Авторы: Арефьева И. Г., Пирютко О. Н.

Тип: Учебник

Издательство: Народная асвета

Год издания: 2019 - 2025

Цвет обложки: голубой, синий с графиком

ISBN: 978-985-03-3077-2

Допущено Министерством образования Республики Беларусь

Популярные ГДЗ в 9 классе

Глава 3. Дробно-рациональные уравнения и неравенства. Параграф 13. Дробно-рациональные неравенства. Метод интервалов для решения рациональных неравенств - номер 3.180, страница 195.

№3.180 (с. 195)
Условие. №3.180 (с. 195)
скриншот условия
Алгебра, 9 класс Учебник, авторы: Арефьева Ирина Глебовна, Пирютко Ольга Николаевна, издательство Народная асвета, Минск, 2019, голубого цвета, страница 195, номер 3.180, Условие

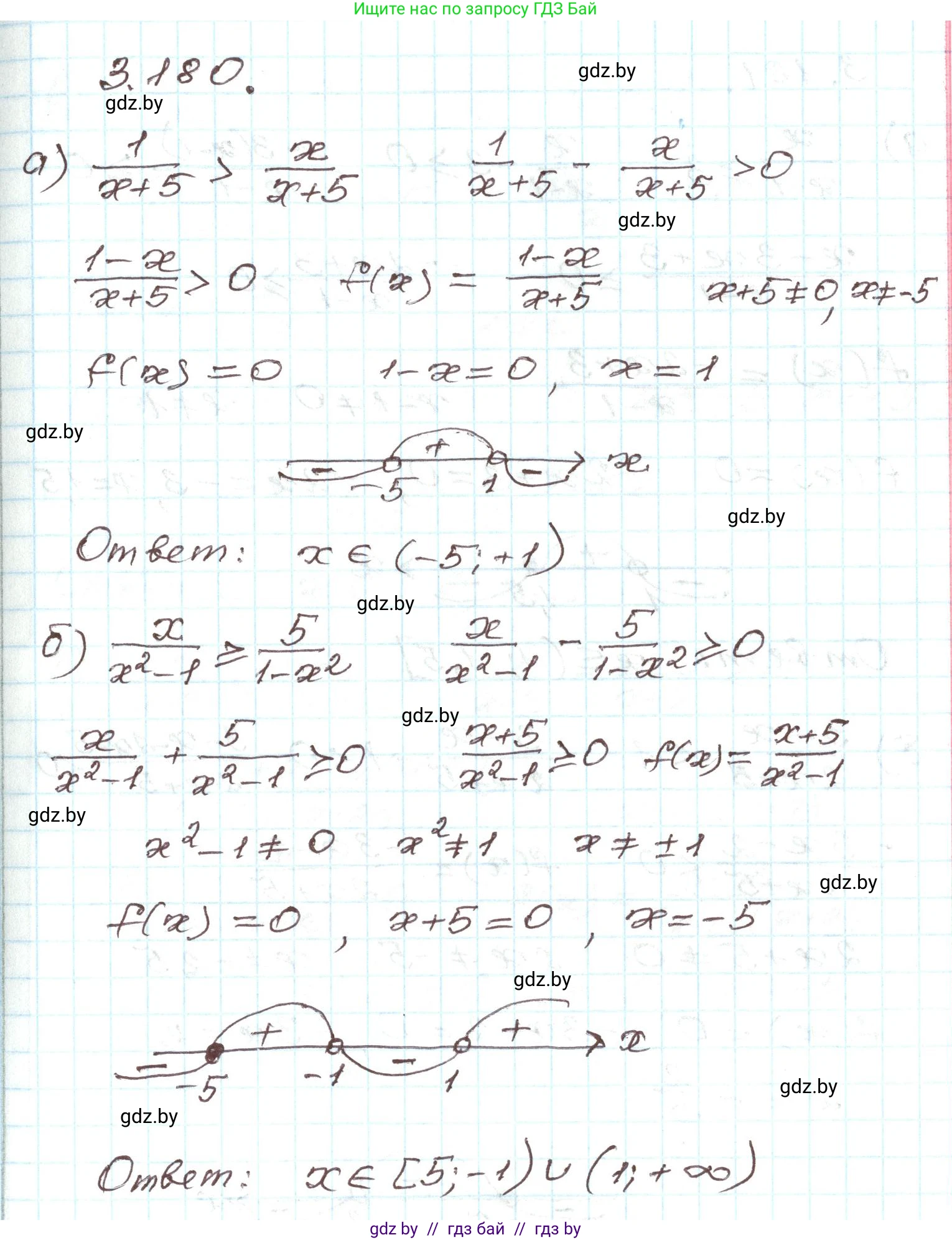
3.180. Составьте план решения и найдите наименьшее целое решение неравенства:

a) $\frac{1}{x+5} > \frac{x}{x+5}$;

б) $\frac{x}{x^2-1} \gg \frac{5}{1-x^2}$.

Решение. №3.180 (с. 195)
Алгебра, 9 класс Учебник, авторы: Арефьева Ирина Глебовна, Пирютко Ольга Николаевна, издательство Народная асвета, Минск, 2019, голубого цвета, страница 195, номер 3.180, Решение
Решение 2. №3.180 (с. 195)

а) План решения:

  1. Найти область допустимых значений (ОДЗ), исключив значения $x$, при которых знаменатель обращается в ноль.
  2. Перенести все слагаемые в левую часть неравенства, чтобы справа остался ноль.
  3. Привести дроби к общему знаменателю и упростить полученное выражение.
  4. Решить полученное рациональное неравенство методом интервалов: найти нули числителя и знаменателя, отметить их на числовой прямой и определить знаки выражения в каждом интервале.
  5. Выбрать интервалы, удовлетворяющие знаку неравенства.
  6. Из полученного множества решений найти наименьшее целое число.

Решение:

Дано неравенство: $\frac{1}{x+5} > \frac{x}{x+5}$.

1. Область допустимых значений (ОДЗ): знаменатель не должен быть равен нулю.

$x+5 \neq 0 \implies x \neq -5$.

2. Перенесем все члены в левую часть:

$\frac{1}{x+5} - \frac{x}{x+5} > 0$

3. Так как знаменатели одинаковы, приведем к общему знаменателю:

$\frac{1-x}{x+5} > 0$

4. Решим неравенство методом интервалов. Найдем нули числителя и знаменателя.

Нуль числителя: $1-x=0 \implies x=1$.

Нуль знаменателя: $x+5=0 \implies x=-5$.

5. Нанесем точки на числовую прямую. Так как неравенство строгое, а $x=-5$ также обращает знаменатель в ноль, обе точки будут выколотыми (не включаются в решение).

Определим знаки выражения $\frac{1-x}{x+5}$ на интервалах $(-\infty; -5)$, $(-5; 1)$ и $(1; +\infty)$.

  • При $x > 1$ (например, $x=2$): $\frac{1-2}{2+5} = \frac{-1}{7} < 0$. Знак «-».
  • При $-5 < x < 1$ (например, $x=0$): $\frac{1-0}{0+5} = \frac{1}{5} > 0$. Знак «+».
  • При $x < -5$ (например, $x=-6$): $\frac{1-(-6)}{-6+5} = \frac{7}{-1} < 0$. Знак «-».

Неравенство $\frac{1-x}{x+5} > 0$ выполняется, когда выражение положительно, то есть на интервале $x \in (-5; 1)$.

6. Целые числа, принадлежащие этому интервалу: -4, -3, -2, -1, 0.

Наименьшее целое решение — это -4.

Ответ: -4.

б) План решения:

  1. Найти область допустимых значений (ОДЗ).
  2. Преобразовать одну из дробей, чтобы привести их к общему знаменателю.
  3. Перенести все слагаемые в левую часть неравенства.
  4. Сложить дроби, упростить полученное выражение и разложить знаменатель на множители.
  5. Решить полученное рациональное неравенство методом интервалов.
  6. Выбрать интервалы, удовлетворяющие знаку неравенства.
  7. Из полученного множества решений найти наименьшее целое число.

Решение:

Дано неравенство: $\frac{x}{x^2 - 1} \ge \frac{5}{1 - x^2}$.

1. Область допустимых значений (ОДЗ): знаменатели не могут быть равны нулю.

$x^2 - 1 \neq 0 \implies (x-1)(x+1) \neq 0 \implies x \neq 1$ и $x \neq -1$.

2. Преобразуем правую часть неравенства, используя свойство $1-x^2 = -(x^2-1)$:

$\frac{5}{1-x^2} = \frac{5}{-(x^2-1)} = -\frac{5}{x^2-1}$

3. Подставим преобразованную дробь в неравенство и перенесем ее в левую часть:

$\frac{x}{x^2 - 1} \ge -\frac{5}{x^2 - 1}$

$\frac{x}{x^2 - 1} + \frac{5}{x^2 - 1} \ge 0$

4. Сложим дроби и разложим знаменатель на множители:

$\frac{x+5}{x^2 - 1} \ge 0$

$\frac{x+5}{(x-1)(x+1)} \ge 0$

5. Решим неравенство методом интервалов.

Нуль числителя: $x+5=0 \implies x=-5$. Так как неравенство нестрогое ($\ge$), эта точка является решением (закрашенная точка).

Нули знаменателя: $x-1=0 \implies x=1$; $x+1=0 \implies x=-1$. Эти точки не являются решениями, так как находятся в знаменателе (выколотые точки).

6. Нанесем точки на числовую прямую (-5, -1, 1) и определим знаки выражения на интервалах.

  • При $x > 1$ (например, $x=2$): $\frac{2+5}{(2-1)(2+1)} = \frac{7}{3} > 0$. Знак «+».
  • При $-1 < x < 1$ (например, $x=0$): $\frac{0+5}{(0-1)(0+1)} = -5 < 0$. Знак «-».
  • При $-5 \le x < -1$ (например, $x=-2$): $\frac{-2+5}{(-2-1)(-2+1)} = \frac{3}{3} = 1 > 0$. Знак «+».
  • При $x < -5$ (например, $x=-6$): $\frac{-6+5}{(-6-1)(-6+1)} = \frac{-1}{35} < 0$. Знак «-».

Неравенство $\ge 0$ выполняется, когда выражение положительно или равно нулю. Решением является объединение интервалов: $x \in [-5, -1) \cup (1, +\infty)$.

7. Целые числа, входящие в множество решений: -5, -4, -3, -2, 2, 3, 4, ...

Наименьшее целое решение из этого множества — это -5.

Ответ: -5.

Помогло решение? Оставьте отзыв в комментариях ниже.

Присоединяйтесь к Телеграм-группе @gdz_by_belarus

Присоединиться

Мы подготовили для вас ответ c подробным объяснением домашего задания по алгебре за 9 класс, для упражнения номер 3.180 расположенного на странице 195 к учебнику 2019 года издания для учащихся школ и гимназий.

Теперь на нашем сайте ГДЗ.ТОП вы всегда легко и бесплатно найдёте условие с правильным ответом на вопрос «Как решить ДЗ» и «Как сделать» задание по алгебре к упражнению №3.180 (с. 195), авторов: Арефьева (Ирина Глебовна), Пирютко (Ольга Николаевна), учебного пособия издательства Народная асвета.