Номер 3.179, страница 194 - гдз по алгебре 9 класс учебник Арефьева, Пирютко

Алгебра, 9 класс Учебник, авторы: Арефьева Ирина Глебовна, Пирютко Ольга Николаевна, издательство Народная асвета, Минск, 2019, голубого цвета

Авторы: Арефьева И. Г., Пирютко О. Н.

Тип: Учебник

Издательство: Народная асвета

Год издания: 2019 - 2025

Цвет обложки: голубой, синий с графиком

ISBN: 978-985-03-3077-2

Допущено Министерством образования Республики Беларусь

Популярные ГДЗ в 9 классе

Глава 3. Дробно-рациональные уравнения и неравенства. Параграф 13. Дробно-рациональные неравенства. Метод интервалов для решения рациональных неравенств - номер 3.179, страница 194.

№3.179 (с. 194)
Условие. №3.179 (с. 194)
скриншот условия
Алгебра, 9 класс Учебник, авторы: Арефьева Ирина Глебовна, Пирютко Ольга Николаевна, издательство Народная асвета, Минск, 2019, голубого цвета, страница 194, номер 3.179, Условие

3.179. Решите неравенство:

а) $\frac{(x - 3)^3 (x + 5)^4}{x^2} < 0;$

б) $\frac{7(x - 4)(x + 3)^2}{(x^2 + 9)(x + 1)^2 (x - 5)} \le 0;$

в) $-\frac{(x^3 - 8)(x - 4)^2 (x - 6)}{x^2 (x^2 - 9)(x^4 + 25)} < 0;$

г) $\frac{(x + 2)(x + 3)^5 (x - 2)^2}{(4 - x)(2x + 7)} \le 0.$

Какое из этих неравенств содержит среди решений числа -6; 2; 5?

Решение. №3.179 (с. 194)
Алгебра, 9 класс Учебник, авторы: Арефьева Ирина Глебовна, Пирютко Ольга Николаевна, издательство Народная асвета, Минск, 2019, голубого цвета, страница 194, номер 3.179, Решение Алгебра, 9 класс Учебник, авторы: Арефьева Ирина Глебовна, Пирютко Ольга Николаевна, издательство Народная асвета, Минск, 2019, голубого цвета, страница 194, номер 3.179, Решение (продолжение 2) Алгебра, 9 класс Учебник, авторы: Арефьева Ирина Глебовна, Пирютко Ольга Николаевна, издательство Народная асвета, Минск, 2019, голубого цвета, страница 194, номер 3.179, Решение (продолжение 3)
Решение 2. №3.179 (с. 194)

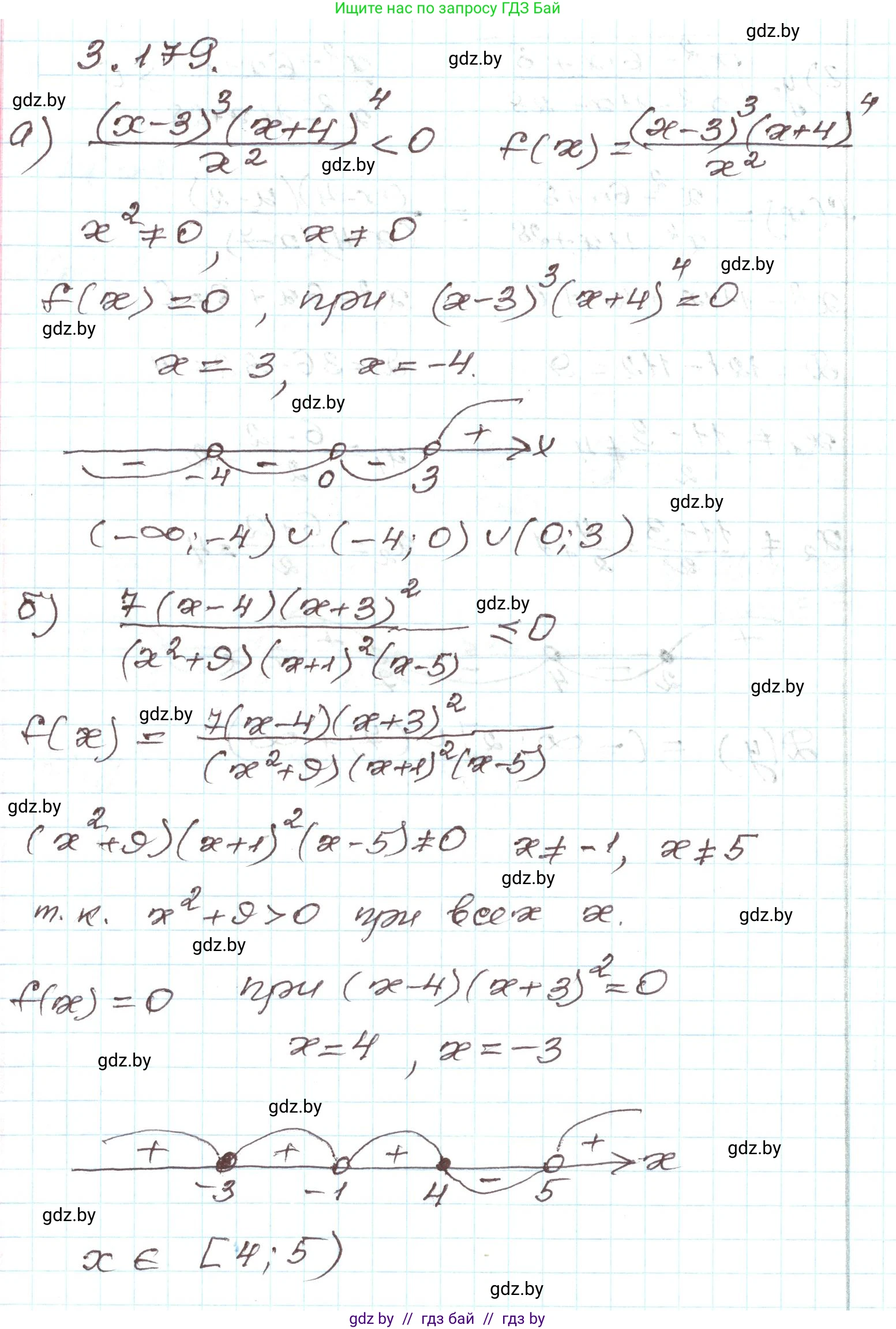
а) $ \frac{(x-3)^3(x+5)^4}{x^2} < 0 $

Решим неравенство методом интервалов. Область допустимых значений (ОДЗ): $x \neq 0$. Найдем нули числителя и знаменателя. Это точки, в которых выражение может сменить знак.

  • Нули числителя: $x-3=0 \Rightarrow x=3$ (корень нечетной кратности 3, знак меняется); $x+5=0 \Rightarrow x=-5$ (корень четной кратности 4, знак не меняется).
  • Нуль знаменателя: $x=0$ (корень четной кратности 2, знак не меняется).

Отметим точки -5, 0, 3 на числовой прямой. Так как неравенство строгое, все точки будут выколотыми.

Множители $(x+5)^4$ и $x^2$ всегда неотрицательны и не влияют на знак дроби на ОДЗ. Таким образом, знак выражения совпадает со знаком множителя $(x-3)^3$. Неравенство равносильно системе:

$$ \begin{cases} (x-3)^3 < 0 \\ x \neq -5 \\ x \neq 0 \end{cases} $$

Решаем первое неравенство: $x-3 < 0 \Rightarrow x < 3$. Учитывая ограничения $x \neq -5$ и $x \neq 0$, получаем итоговое решение.

Ответ: $x \in (-\infty, -5) \cup (-5, 0) \cup (0, 3)$

б) $ \frac{7(x-4)(x+3)^2}{(x^2+9)(x+1)^2(x-5)} \le 0 $

Проанализируем множители. Множители $7$, $(x^2+9)$, $(x+3)^2$, $(x+1)^2$ всегда неотрицательны. Они влияют на знак только в точках, где равны нулю или не определены. Выражение $x^2+9$ всегда положительно. Неравенство равносильно совокупности:

  1. Выражение равно нулю. Это происходит, когда числитель равен нулю, а знаменатель не равен нулю. $7(x-4)(x+3)^2 = 0 \Rightarrow x=4$ или $x=-3$. Обе точки входят в ОДЗ ($x \neq -1, x \neq 5$), поэтому они являются решениями.
  2. Выражение строго меньше нуля. Знак определяется множителями $(x-4)$ и $(x-5)$. $ \frac{x-4}{x-5} < 0 $ при условиях $x \neq -3$ и $x \neq -1$. Решением неравенства $ \frac{x-4}{x-5} < 0 $ является интервал $(4, 5)$.

Объединяем полученные решения: изолированные точки $x=-3$, $x=4$ и интервал $(4, 5)$.

Ответ: $x \in \{-3\} \cup [4, 5)$

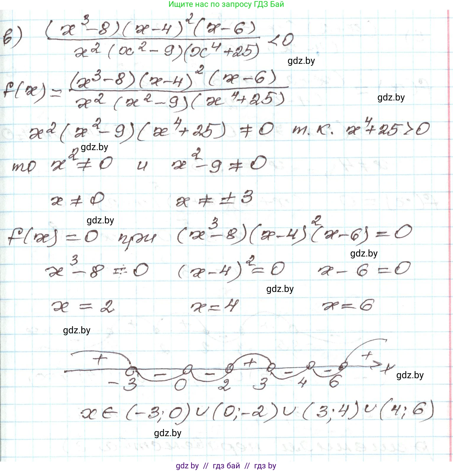
в) $ -\frac{(x^3-8)(x-4)^2(x-6)}{x^2(x^2-9)(x^4+25)} < 0 $

Умножим неравенство на -1, изменив знак на противоположный:

$$ \frac{(x^3-8)(x-4)^2(x-6)}{x^2(x^2-9)(x^4+25)} > 0 $$

Разложим выражения на множители и проанализируем их:

  • $x^3-8 = (x-2)(x^2+2x+4)$. Множитель $(x^2+2x+4)$ всегда положителен.
  • $x^2-9 = (x-3)(x+3)$.
  • Множители $(x-4)^2$, $x^2$ и $(x^4+25)$ всегда неотрицательны и не влияют на знак дроби (за исключением точек $x=0, x=4$, где они обращаются в ноль).

С учетом этого, неравенство равносильно системе:

$$ \begin{cases} \frac{(x-2)(x-6)}{(x-3)(x+3)} > 0 \\ x \neq 0 \\ x \neq 4 \end{cases} $$

Решаем первое неравенство методом интервалов. Нули числителя: 2, 6. Нули знаменателя: -3, 3. Отмечаем точки -3, 2, 3, 6 на числовой прямой и определяем знаки на интервалах. Справа налево: $ (+), (-), (+), (-), (+) $. Выбираем интервалы со знаком "+": $(-\infty, -3) \cup (2, 3) \cup (6, +\infty)$. Точки $x=0$ и $x=4$ не входят в найденные интервалы, поэтому ограничения выполнены.

Ответ: $x \in (-\infty, -3) \cup (2, 3) \cup (6, +\infty)$

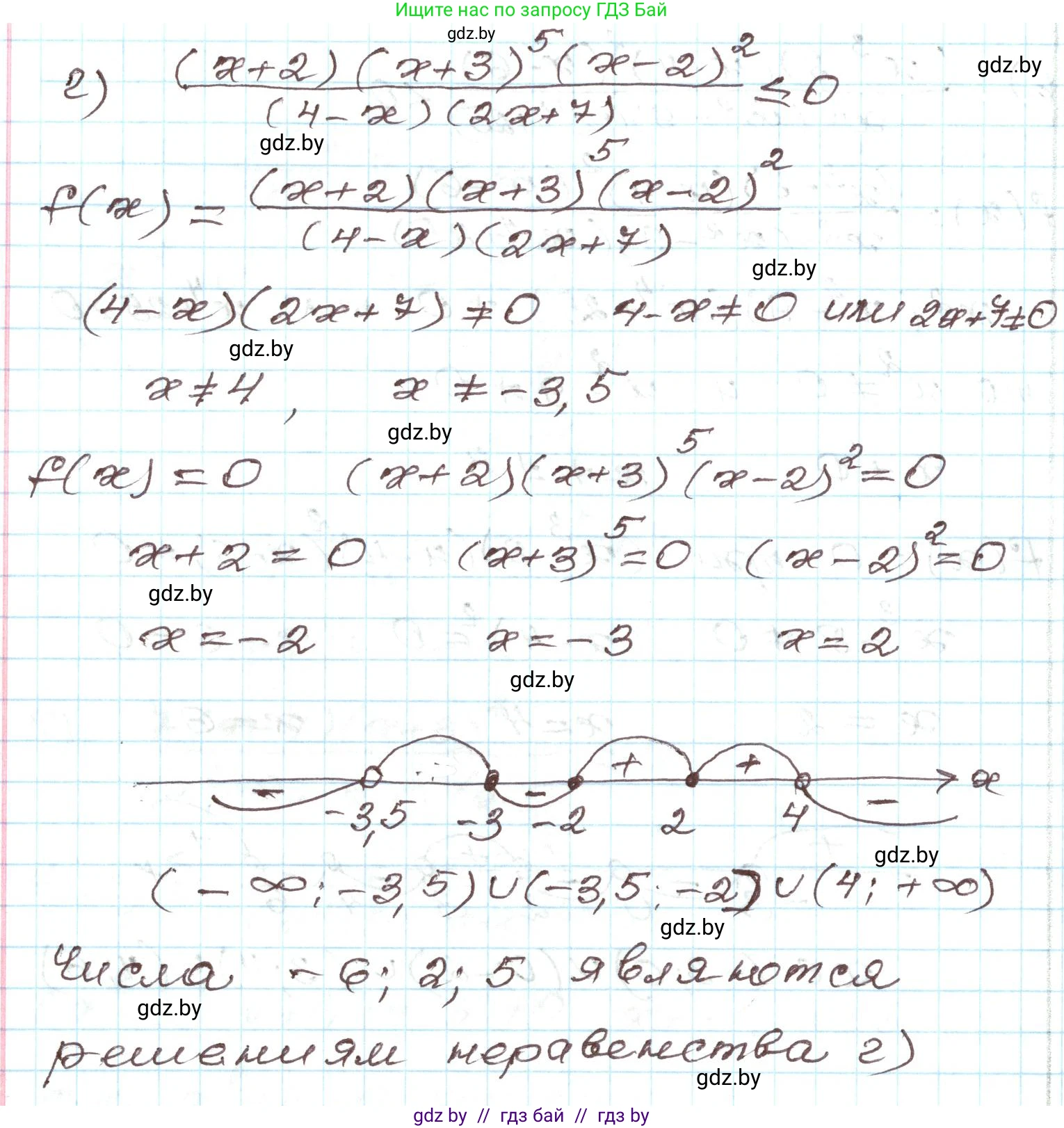
г) $ \frac{(x+2)(x+3)^5(x-2)^2}{(4-x)(2x+7)} \le 0 $

Преобразуем множитель $(4-x)$ в $-(x-4)$ и умножим неравенство на -1, изменив знак:

$$ \frac{(x+2)(x+3)^5(x-2)^2}{(x-4)(2x+7)} \ge 0 $$

Решим полученное неравенство методом интервалов. Нули числителя (включаются в решение): $x=-2$ (нечетная кратность), $x=-3$ (нечетная кратность), $x=2$ (четная кратность). Нули знаменателя (исключаются из решения): $x=4$ (нечетная кратность), $x=-7/2 = -3.5$ (нечетная кратность). Расставим точки на числовой прямой: $-3.5, -3, -2, 2, 4$. Точки -3, -2, 2 – закрашенные, -3.5 и 4 – выколотые. Определяем знаки на интервалах, начиная с крайнего правого: $ (+), (-), (-), (+), (-), (+) $. Знак меняется в точках -3.5, -3, -2, 4 и не меняется в точке 2. Нам нужны промежутки со знаком "+", а также точки, где выражение равно нулю. Промежутки: $(-\infty, -3.5)$, $[-3, -2]$, $(4, +\infty)$. Точка $x=2$ также является решением, так как в ней выражение равно нулю. Она не вошла в интервалы, поэтому добавляем её как изолированную точку.

Ответ: $x \in (-\infty, -3\frac{1}{2}) \cup [-3, -2] \cup \{2\} \cup (4, +\infty)$


Какое из этих неравенств содержит среди решений числа –6; 2; 5?

Проверим каждое из чисел для всех четырех неравенств.

  • а) $x \in (-\infty, -5) \cup (-5, 0) \cup (0, 3)$
    Число -6 входит в решение ($-6 \in (-\infty, -5)$).
    Число 2 входит в решение ($2 \in (0, 3)$).
    Число 5 не входит в решение.
  • б) $x \in \{-3\} \cup [4, 5)$
    Число -6 не входит в решение.
    Число 2 не входит в решение.
    Число 5 не входит в решение.
  • в) $x \in (-\infty, -3) \cup (2, 3) \cup (6, +\infty)$
    Число -6 входит в решение ($-6 \in (-\infty, -3)$).
    Число 2 не входит в решение (интервал строгий).
    Число 5 не входит в решение.
  • г) $x \in (-\infty, -3\frac{1}{2}) \cup [-3, -2] \cup \{2\} \cup (4, +\infty)$
    Число -6 входит в решение ($-6 \in (-\infty, -3\frac{1}{2})$).
    Число 2 входит в решение (является изолированной точкой).
    Число 5 входит в решение ($5 \in (4, +\infty)$).

Ответ: Неравенство г) содержит среди решений все три числа: -6, 2 и 5.

Помогло решение? Оставьте отзыв в комментариях ниже.

Присоединяйтесь к Телеграм-группе @gdz_by_belarus

Присоединиться

Мы подготовили для вас ответ c подробным объяснением домашего задания по алгебре за 9 класс, для упражнения номер 3.179 расположенного на странице 194 к учебнику 2019 года издания для учащихся школ и гимназий.

Теперь на нашем сайте ГДЗ.ТОП вы всегда легко и бесплатно найдёте условие с правильным ответом на вопрос «Как решить ДЗ» и «Как сделать» задание по алгебре к упражнению №3.179 (с. 194), авторов: Арефьева (Ирина Глебовна), Пирютко (Ольга Николаевна), учебного пособия издательства Народная асвета.