Номер 3.174, страница 194 - гдз по алгебре 9 класс учебник Арефьева, Пирютко

Алгебра, 9 класс Учебник, авторы: Арефьева Ирина Глебовна, Пирютко Ольга Николаевна, издательство Народная асвета, Минск, 2019, голубого цвета

Авторы: Арефьева И. Г., Пирютко О. Н.

Тип: Учебник

Издательство: Народная асвета

Год издания: 2019 - 2025

Цвет обложки: голубой, синий с графиком

ISBN: 978-985-03-3077-2

Допущено Министерством образования Республики Беларусь

Популярные ГДЗ в 9 классе

Глава 3. Дробно-рациональные уравнения и неравенства. Параграф 13. Дробно-рациональные неравенства. Метод интервалов для решения рациональных неравенств - номер 3.174, страница 194.

№3.174 (с. 194)
Условие. №3.174 (с. 194)
скриншот условия
Алгебра, 9 класс Учебник, авторы: Арефьева Ирина Глебовна, Пирютко Ольга Николаевна, издательство Народная асвета, Минск, 2019, голубого цвета, страница 194, номер 3.174, Условие

3.174. Найдите все значения переменной, при которых значение выражения:

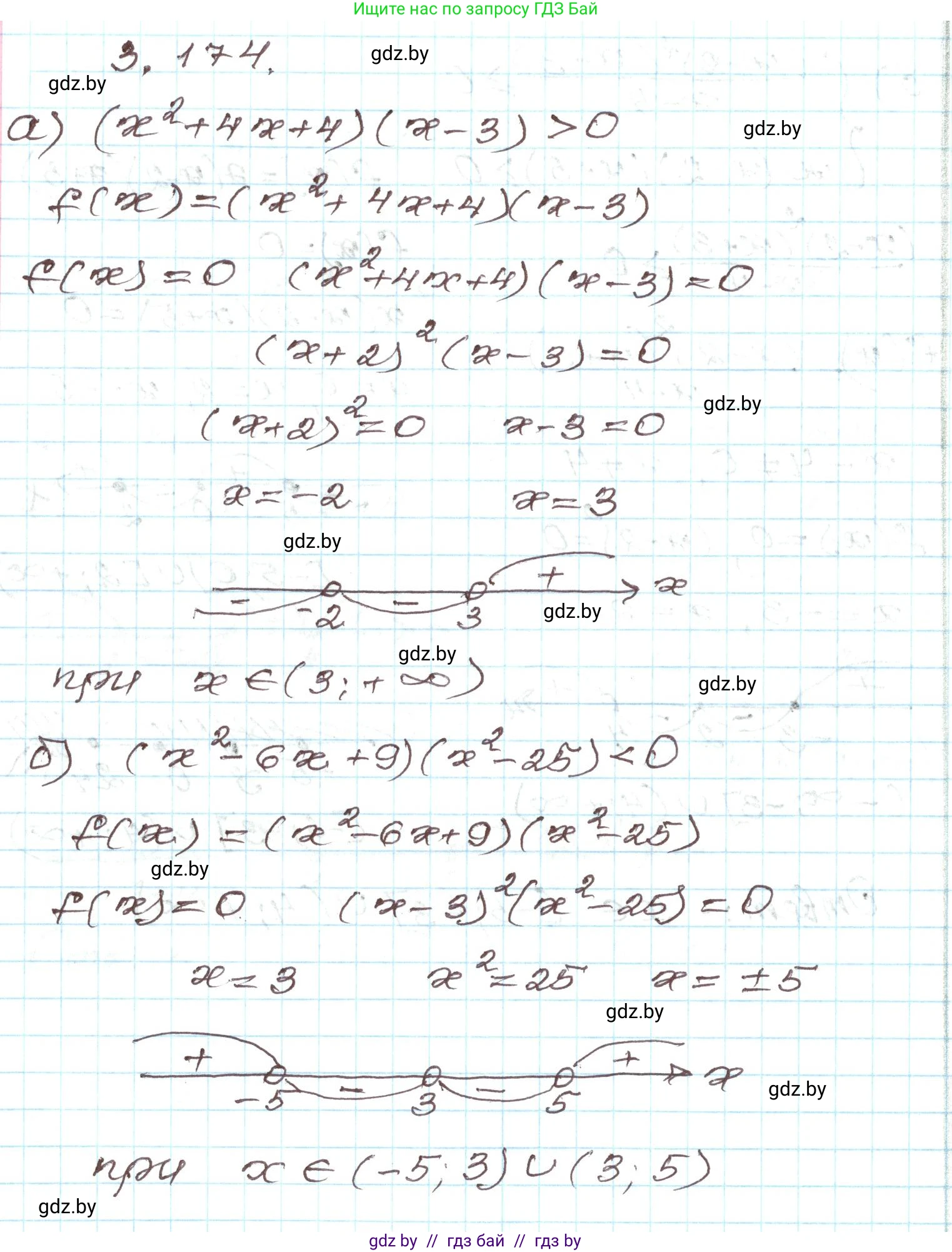
а) $(x^2 + 4x + 4)(x - 3)$ положительно;

б) $(x^2 - 6x + 9)(x^2 - 25)$ отрицательно;

в) $(25x^2 - 10x + 1)(1 - x^2)$ неположительно;

г) $(4x^2 + 12x + 9)(x^2 + 5)$ неотрицательно.

Решение. №3.174 (с. 194)
Алгебра, 9 класс Учебник, авторы: Арефьева Ирина Глебовна, Пирютко Ольга Николаевна, издательство Народная асвета, Минск, 2019, голубого цвета, страница 194, номер 3.174, Решение Алгебра, 9 класс Учебник, авторы: Арефьева Ирина Глебовна, Пирютко Ольга Николаевна, издательство Народная асвета, Минск, 2019, голубого цвета, страница 194, номер 3.174, Решение (продолжение 2)
Решение 2. №3.174 (с. 194)

а) $(x^2 + 4x + 4)(x - 3)$ положительно

Требуется найти все значения переменной $x$, при которых заданное выражение положительно. Составим и решим неравенство:

$(x^2 + 4x + 4)(x - 3) > 0$

Заметим, что первый множитель $x^2 + 4x + 4$ является полным квадратом суммы. Воспользуемся формулой $(a+b)^2 = a^2+2ab+b^2$:

$x^2 + 4x + 4 = x^2 + 2 \cdot x \cdot 2 + 2^2 = (x + 2)^2$

Подставим это в неравенство:

$(x + 2)^2(x - 3) > 0$

Выражение $(x + 2)^2$ неотрицательно при любых значениях $x$. Оно равно нулю при $x = -2$ и положительно при $x \neq -2$.

Чтобы произведение было строго больше нуля, оба множителя должны быть положительными. Следовательно, должны одновременно выполняться условия:

1. $(x + 2)^2 > 0$, что эквивалентно $x \neq -2$.

2. $x - 3 > 0$, что эквивалентно $x > 3$.

Совмещая оба условия, получаем, что $x$ должен быть больше 3. Это решение ($x > 3$) автоматически удовлетворяет условию $x \neq -2$.

Ответ: $x \in (3; +\infty)$.

б) $(x^2 - 6x + 9)(x^2 - 25)$ отрицательно

Требуется найти все значения переменной $x$, при которых заданное выражение отрицательно. Составим и решим неравенство:

$(x^2 - 6x + 9)(x^2 - 25) < 0$

Разложим на множители обе скобки. Первую — как квадрат разности, вторую — как разность квадратов:

$x^2 - 6x + 9 = (x - 3)^2$

$x^2 - 25 = (x - 5)(x + 5)$

Неравенство приобретает вид:

$(x - 3)^2(x - 5)(x + 5) < 0$

Множитель $(x - 3)^2$ всегда неотрицателен. Для того чтобы произведение было отрицательным, необходимо, чтобы множитель $(x-3)^2$ был строго положителен (то есть $x \neq 3$), а произведение $(x - 5)(x + 5)$ было отрицательным.

Решим неравенство $(x - 5)(x + 5) < 0$. Корнями являются $x = -5$ и $x = 5$. Так как это парабола с ветвями вверх, отрицательные значения она принимает между корнями.

Таким образом, $-5 < x < 5$.

Учитывая дополнительное условие $x \neq 3$, исключаем эту точку из полученного интервала.

Ответ: $x \in (-5; 3) \cup (3; 5)$.

в) $(25x^2 - 10x + 1)(1 - x^2)$ неположительно

Требуется найти все значения переменной $x$, при которых заданное выражение неположительно (меньше или равно нулю). Составим и решим неравенство:

$(25x^2 - 10x + 1)(1 - x^2) \le 0$

Разложим на множители:

$25x^2 - 10x + 1 = (5x - 1)^2$

$1 - x^2 = (1 - x)(1 + x)$

Неравенство принимает вид:

$(5x - 1)^2(1 - x)(1 + x) \le 0$

Выражение $(5x - 1)^2$ всегда неотрицательно. Неравенство выполняется, если:

1. Выражение равно нулю. Это происходит при $5x - 1 = 0$ (т.е. $x = 1/5$), $1 - x = 0$ (т.е. $x = 1$) или $1 + x = 0$ (т.е. $x = -1$).

2. Выражение меньше нуля. Это возможно, если $(5x - 1)^2 > 0$ (т.е. $x \neq 1/5$) и $(1 - x)(1 + x) < 0$.
Решим $(1 - x)(1 + x) < 0$. Умножив на -1, получим $(x - 1)(x + 1) > 0$. Решением этого неравенства являются $x \in (-\infty; -1) \cup (1; +\infty)$.

Объединим результаты: к множеству $(-\infty; -1) \cup (1; +\infty)$ добавим точки, где выражение равно нулю. Точки $x=-1$ и $x=1$ "закрывают" интервалы, а точка $x=1/5$ является изолированным решением.

Ответ: $x \in (-\infty; -1] \cup \{1/5\} \cup [1; +\infty)$.

г) $(4x^2 + 12x + 9)(x^2 + 5)$ неотрицательно

Требуется найти все значения переменной $x$, при которых заданное выражение неотрицательно (больше или равно нулю). Составим неравенство:

$(4x^2 + 12x + 9)(x^2 + 5) \ge 0$

Рассмотрим каждый множитель.

Первый множитель $4x^2 + 12x + 9$ является полным квадратом:

$4x^2 + 12x + 9 = (2x + 3)^2$

Квадрат любого действительного выражения всегда неотрицателен, то есть $(2x + 3)^2 \ge 0$ при всех $x$. Равенство нулю достигается при $2x+3=0$, то есть $x = -3/2 = -1\frac{1}{2}$.

Второй множитель $x^2 + 5$. Так как $x^2 \ge 0$ для любого $x$, то $x^2 + 5 \ge 5$. Этот множитель всегда строго положителен.

Произведение неотрицательного множителя $(2x + 3)^2$ и строго положительного множителя $(x^2 + 5)$ всегда будет неотрицательным.

Следовательно, неравенство $(2x + 3)^2(x^2 + 5) \ge 0$ верно для любого действительного числа $x$.

Ответ: $x$ — любое действительное число, то есть $x \in (-\infty; +\infty)$.

Помогло решение? Оставьте отзыв в комментариях ниже.

Присоединяйтесь к Телеграм-группе @gdz_by_belarus

Присоединиться

Мы подготовили для вас ответ c подробным объяснением домашего задания по алгебре за 9 класс, для упражнения номер 3.174 расположенного на странице 194 к учебнику 2019 года издания для учащихся школ и гимназий.

Теперь на нашем сайте ГДЗ.ТОП вы всегда легко и бесплатно найдёте условие с правильным ответом на вопрос «Как решить ДЗ» и «Как сделать» задание по алгебре к упражнению №3.174 (с. 194), авторов: Арефьева (Ирина Глебовна), Пирютко (Ольга Николаевна), учебного пособия издательства Народная асвета.