Номер 3.185, страница 195 - гдз по алгебре 9 класс учебник Арефьева, Пирютко

Алгебра, 9 класс Учебник, авторы: Арефьева Ирина Глебовна, Пирютко Ольга Николаевна, издательство Народная асвета, Минск, 2019, голубого цвета

Авторы: Арефьева И. Г., Пирютко О. Н.

Тип: Учебник

Издательство: Народная асвета

Год издания: 2019 - 2025

Цвет обложки: голубой, синий с графиком

ISBN: 978-985-03-3077-2

Допущено Министерством образования Республики Беларусь

Популярные ГДЗ в 9 классе

Глава 3. Дробно-рациональные уравнения и неравенства. Параграф 13. Дробно-рациональные неравенства. Метод интервалов для решения рациональных неравенств - номер 3.185, страница 195.

№3.185 (с. 195)
Условие. №3.185 (с. 195)
скриншот условия
Алгебра, 9 класс Учебник, авторы: Арефьева Ирина Глебовна, Пирютко Ольга Николаевна, издательство Народная асвета, Минск, 2019, голубого цвета, страница 195, номер 3.185, Условие Алгебра, 9 класс Учебник, авторы: Арефьева Ирина Глебовна, Пирютко Ольга Николаевна, издательство Народная асвета, Минск, 2019, голубого цвета, страница 195, номер 3.185, Условие (продолжение 2)

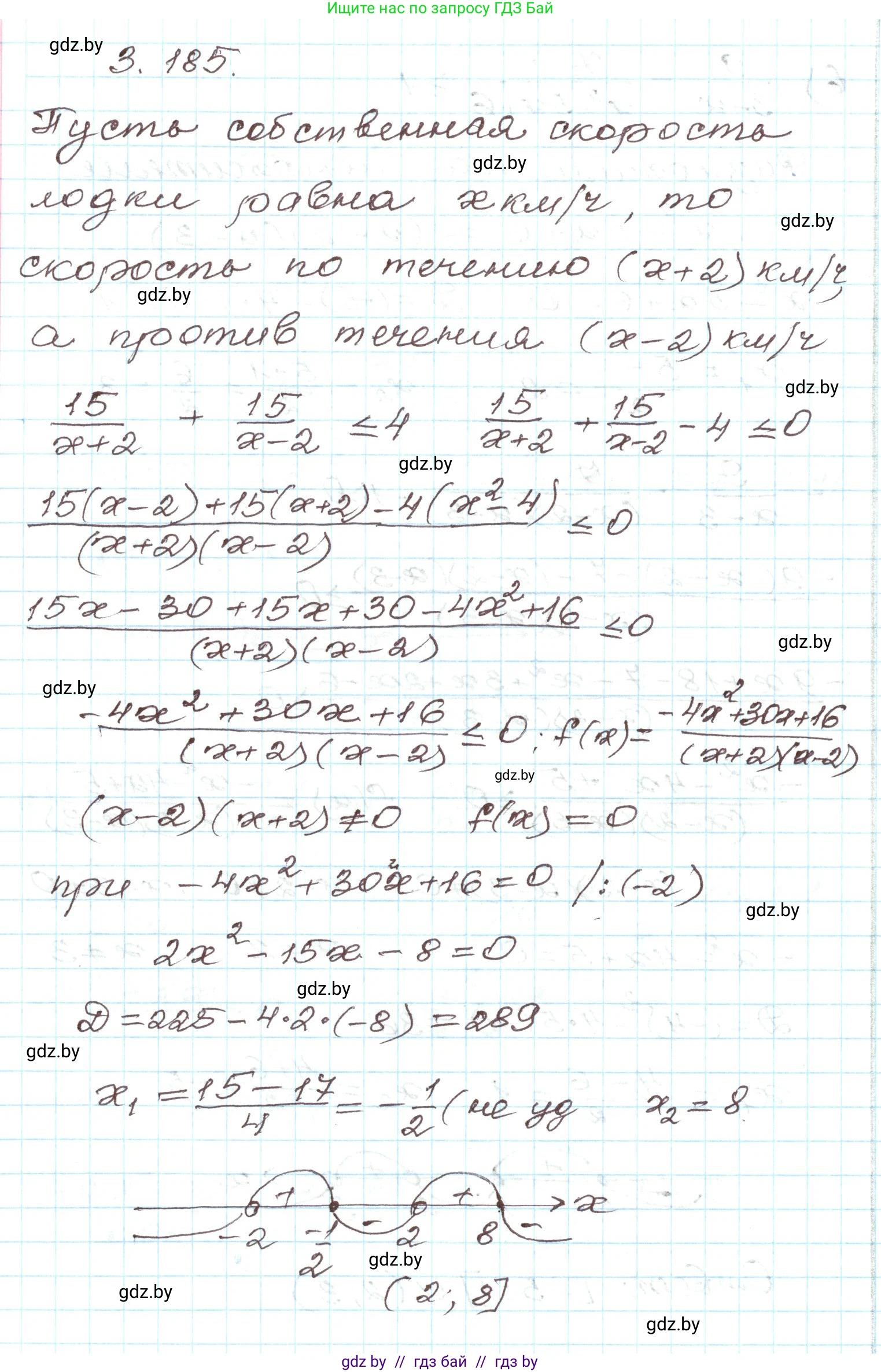
3.185. Туристы на моторной лодке планируют проплыть 15 км по течению реки и такое же расстояние против течения, затратив на весь путь не более 4 ч. Какой может быть собственная скорость лодки, если скорость течения реки составляет $2 \frac{\text{км}}{\text{ч}}$?

Решение. №3.185 (с. 195)
Алгебра, 9 класс Учебник, авторы: Арефьева Ирина Глебовна, Пирютко Ольга Николаевна, издательство Народная асвета, Минск, 2019, голубого цвета, страница 195, номер 3.185, Решение
Решение 2. №3.185 (с. 195)

Пусть $v$ км/ч — собственная скорость моторной лодки. По условию, скорость течения реки составляет 2 км/ч. Тогда скорость лодки по течению реки равна $(v + 2)$ км/ч, а скорость против течения — $(v - 2)$ км/ч. Для того чтобы лодка могла двигаться против течения, её собственная скорость должна быть больше скорости течения, то есть $v > 2$.

Время, затраченное на путь в 15 км по течению, составляет $t_1 = \frac{15}{v + 2}$ ч.

Время, затраченное на такой же путь против течения, составляет $t_2 = \frac{15}{v - 2}$ ч.

На весь путь туристы планируют затратить не более 4 часов, что означает, что общее время $t_1 + t_2$ должно быть меньше или равно 4 часам. Составим и решим неравенство:

$$ \frac{15}{v + 2} + \frac{15}{v - 2} \le 4 $$

Приведем левую часть к общему знаменателю:

$$ \frac{15(v - 2) + 15(v + 2)}{(v + 2)(v - 2)} \le 4 $$$$ \frac{15v - 30 + 15v + 30}{v^2 - 4} \le 4 $$$$ \frac{30v}{v^2 - 4} \le 4 $$

Перенесем все члены в левую часть и приведем к общему знаменателю:

$$ \frac{30v}{v^2 - 4} - 4 \le 0 $$$$ \frac{30v - 4(v^2 - 4)}{v^2 - 4} \le 0 $$$$ \frac{-4v^2 + 30v + 16}{v^2 - 4} \le 0 $$

Чтобы сделать старший коэффициент в числителе положительным, умножим числитель на -1 и изменим знак неравенства на противоположный:

$$ \frac{4v^2 - 30v - 16}{v^2 - 4} \ge 0 $$

Найдем корни числителя и знаменателя. Корни числителя находим из уравнения $4v^2 - 30v - 16 = 0$. Упростим его, разделив на 2: $2v^2 - 15v - 8 = 0$.
Дискриминант $D = b^2 - 4ac = (-15)^2 - 4 \cdot 2 \cdot (-8) = 225 + 64 = 289$.
$v_{1,2} = \frac{-b \pm \sqrt{D}}{2a} = \frac{15 \pm \sqrt{289}}{4} = \frac{15 \pm 17}{4}$.
$v_1 = \frac{15 + 17}{4} = \frac{32}{4} = 8$.
$v_2 = \frac{15 - 17}{4} = \frac{-2}{4} = -0.5$.

Корни знаменателя находим из уравнения $v^2 - 4 = 0$, откуда $v_3 = -2$ и $v_4 = 2$.

Теперь неравенство можно записать в виде разложения на множители:

$$ \frac{2(v - 8)(v + 0.5)}{(v - 2)(v + 2)} \ge 0 $$

Решим это неравенство методом интервалов. Отметим на числовой прямой точки -2, -0.5, 2, 8. Решением неравенства является объединение промежутков $(-\infty; -2) \cup [-0.5; 2) \cup [8; +\infty)$.

Учитывая физический смысл задачи (ОДЗ), где собственная скорость лодки $v > 2$, выбираем только тот промежуток, который удовлетворяет этому условию. Таким промежутком является $[8; +\infty)$.

Какой может быть собственная скорость лодки, если скорость течения реки составляет 2 км/ч? Ответ: Собственная скорость лодки должна быть не менее 8 км/ч.

Помогло решение? Оставьте отзыв в комментариях ниже.

Присоединяйтесь к Телеграм-группе @gdz_by_belarus

Присоединиться

Мы подготовили для вас ответ c подробным объяснением домашего задания по алгебре за 9 класс, для упражнения номер 3.185 расположенного на странице 195 к учебнику 2019 года издания для учащихся школ и гимназий.

Теперь на нашем сайте ГДЗ.ТОП вы всегда легко и бесплатно найдёте условие с правильным ответом на вопрос «Как решить ДЗ» и «Как сделать» задание по алгебре к упражнению №3.185 (с. 195), авторов: Арефьева (Ирина Глебовна), Пирютко (Ольга Николаевна), учебного пособия издательства Народная асвета.