Номер 3.188, страница 196 - гдз по алгебре 9 класс учебник Арефьева, Пирютко

Алгебра, 9 класс Учебник, авторы: Арефьева Ирина Глебовна, Пирютко Ольга Николаевна, издательство Народная асвета, Минск, 2019, голубого цвета

Авторы: Арефьева И. Г., Пирютко О. Н.

Тип: Учебник

Издательство: Народная асвета

Год издания: 2019 - 2025

Цвет обложки: голубой, синий с графиком

ISBN: 978-985-03-3077-2

Допущено Министерством образования Республики Беларусь

Популярные ГДЗ в 9 классе

Глава 3. Дробно-рациональные уравнения и неравенства. Параграф 13. Дробно-рациональные неравенства. Метод интервалов для решения рациональных неравенств - номер 3.188, страница 196.

№3.188 (с. 196)
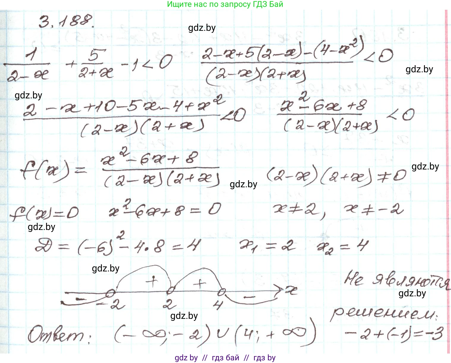
Условие. №3.188 (с. 196)
скриншот условия
Алгебра, 9 класс Учебник, авторы: Арефьева Ирина Глебовна, Пирютко Ольга Николаевна, издательство Народная асвета, Минск, 2019, голубого цвета, страница 196, номер 3.188, Условие

3.188*. Найдите сумму целых отрицательных чисел, которые не являются решением неравенства $\frac{1}{2 - x} + \frac{5}{2 + x} < 1$.

Решение. №3.188 (с. 196)
Алгебра, 9 класс Учебник, авторы: Арефьева Ирина Глебовна, Пирютко Ольга Николаевна, издательство Народная асвета, Минск, 2019, голубого цвета, страница 196, номер 3.188, Решение
Решение 2. №3.188 (с. 196)

Для нахождения суммы целых отрицательных чисел, которые не являются решением неравенства, необходимо определить множество всех значений $x$, которые не удовлетворяют данному неравенству. Это означает, что мы ищем значения $x$, для которых выполняется противоположное неравенство или для которых выражение в левой части не определено.

Исходное неравенство:

$$ \frac{1}{2-x} + \frac{5}{2+x} < 1 $$

Числа, которые не являются решением, удовлетворяют условию:

$$ \frac{1}{2-x} + \frac{5}{2+x} \ge 1 $$

1. Решение неравенства

Перенесем все слагаемые в левую часть и приведем их к общему знаменателю $(2-x)(2+x) = 4-x^2$.

$$ \frac{1}{2-x} + \frac{5}{2+x} - 1 \ge 0 $$

$$ \frac{1(2+x) + 5(2-x) - 1(4-x^2)}{(2-x)(2+x)} \ge 0 $$

Раскроем скобки в числителе и упростим выражение:

$$ \frac{2+x+10-5x-4+x^2}{4-x^2} \ge 0 $$

$$ \frac{x^2 - 4x + 8}{4-x^2} \ge 0 $$

2. Анализ числителя и знаменателя

Рассмотрим числитель $f(x) = x^2 - 4x + 8$. Найдем его дискриминант для определения корней:

$$ D = b^2 - 4ac = (-4)^2 - 4 \cdot 1 \cdot 8 = 16 - 32 = -16 $$

Поскольку дискриминант $D < 0$ и старший коэффициент $a=1$ положителен, парабола $y = x^2 - 4x + 8$ полностью лежит выше оси абсцисс, то есть числитель всегда положителен при любом $x$.

Так как числитель всегда положителен, знак всей дроби зависит только от знака знаменателя. Для того чтобы дробь была больше или равна нулю, знаменатель должен быть строго больше нуля (равенство нулю недопустимо, так как знаменатель не может быть равен нулю).

$$ 4-x^2 > 0 $$

$$ x^2 < 4 $$

Решением этого неравенства является интервал $x \in (-2, 2)$.

3. Учет области определения

Исходное выражение $\frac{1}{2-x} + \frac{5}{2+x}$ не определено, если один из знаменателей равен нулю. Это происходит при:

  • $2-x=0 \implies x=2$
  • $2+x=0 \implies x=-2$

Эти значения $x$ также не являются решениями исходного неравенства, так как для них левая часть не существует.

Таким образом, множество всех чисел, которые не являются решением исходного неравенства, состоит из интервала $(-2, 2)$ и точек $x=-2$ и $x=2$. Объединив их, получаем отрезок $[-2, 2]$.

4. Нахождение суммы целых отрицательных чисел

Теперь из множества $[-2, 2]$ выберем все целые отрицательные числа. Целые числа, входящие в этот отрезок: $\{-2, -1, 0, 1, 2\}$.

Из них отрицательными являются: $-2$ и $-1$.

Найдем их сумму:

$$ (-2) + (-1) = -3 $$

Ответ: -3.

Помогло решение? Оставьте отзыв в комментариях ниже.

Присоединяйтесь к Телеграм-группе @gdz_by_belarus

Присоединиться

Мы подготовили для вас ответ c подробным объяснением домашего задания по алгебре за 9 класс, для упражнения номер 3.188 расположенного на странице 196 к учебнику 2019 года издания для учащихся школ и гимназий.

Теперь на нашем сайте ГДЗ.ТОП вы всегда легко и бесплатно найдёте условие с правильным ответом на вопрос «Как решить ДЗ» и «Как сделать» задание по алгебре к упражнению №3.188 (с. 196), авторов: Арефьева (Ирина Глебовна), Пирютко (Ольга Николаевна), учебного пособия издательства Народная асвета.