Номер 3.27, страница 150 - гдз по алгебре 9 класс учебник Арефьева, Пирютко

Алгебра, 9 класс Учебник, авторы: Арефьева Ирина Глебовна, Пирютко Ольга Николаевна, издательство Народная асвета, Минск, 2019, голубого цвета

Авторы: Арефьева И. Г., Пирютко О. Н.

Тип: Учебник

Издательство: Народная асвета

Год издания: 2019 - 2025

Цвет обложки: голубой, синий с графиком

ISBN: 978-985-03-3077-2

Допущено Министерством образования Республики Беларусь

Популярные ГДЗ в 9 классе

Глава 3. Дробно-рациональные уравнения и неравенства. Параграф 10. Дробно-рациональные уравнения - номер 3.27, страница 150.

№3.27 (с. 150)
Условие. №3.27 (с. 150)
скриншот условия
Алгебра, 9 класс Учебник, авторы: Арефьева Ирина Глебовна, Пирютко Ольга Николаевна, издательство Народная асвета, Минск, 2019, голубого цвета, страница 150, номер 3.27, Условие

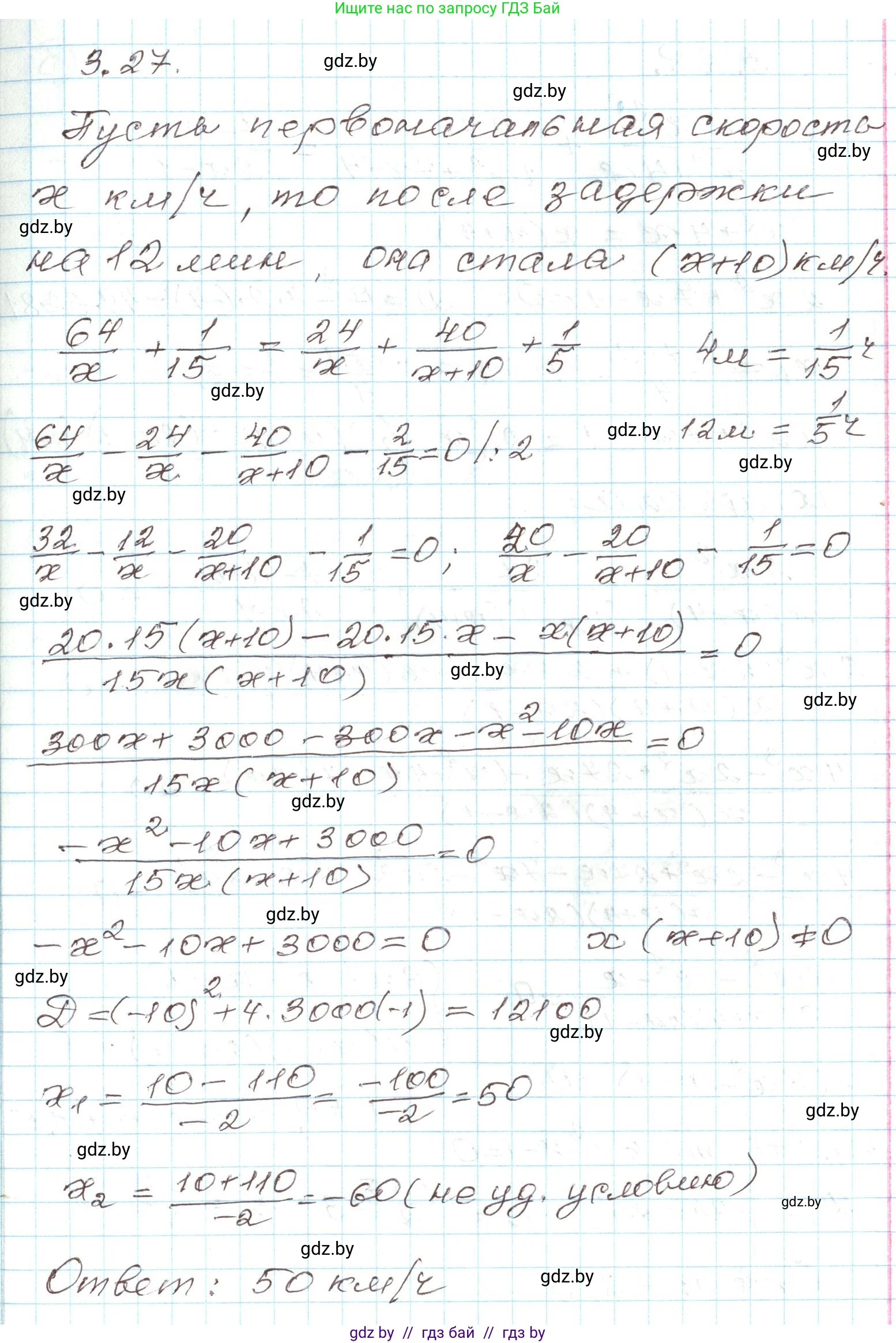
3.27. Поезд отправился со станции по расписанию и до следующей остановки должен был пройти 64 км. Когда он проехал 24 км, то по указанию диспетчера был задержан возле семафора на 12 мин. После этого поезд увеличил скорость на $10 \frac{\text{КМ}}{\text{Ч}}$ и прибыл в пункт назначения с опозданием на 4 мин. Найдите первоначальную скорость поезда.

Решение. №3.27 (с. 150)
Алгебра, 9 класс Учебник, авторы: Арефьева Ирина Глебовна, Пирютко Ольга Николаевна, издательство Народная асвета, Минск, 2019, голубого цвета, страница 150, номер 3.27, Решение
Решение 2. №3.27 (с. 150)

Для решения задачи введем переменную и составим уравнение на основе анализа времени движения поезда.

Пусть $v$ (км/ч) — первоначальная скорость поезда, которую нам необходимо найти.

Весь путь, который должен был проехать поезд, составляет 64 км. Поезд проехал 24 км, после чего был задержан у семафора на 12 минут. Оставшийся участок пути составляет $64 - 24 = 40$ км. На этом участке поезд увеличил свою первоначальную скорость на 10 км/ч, то есть его скорость стала равна $(v + 10)$ км/ч.

По условию, поезд был задержан на 12 минут, но в итоге опоздал всего на 4 минуты. Это означает, что за счет увеличения скорости на оставшемся участке пути он смог сэкономить (наверстать) $12 - 4 = 8$ минут.

Для составления уравнения необходимо все единицы времени перевести в часы, так как скорость измеряется в км/ч. Сэкономленное время в часах:

$8 \text{ мин} = \frac{8}{60} \text{ ч} = \frac{2}{15} \text{ ч}$

Это сэкономленное время представляет собой разницу между временем, которое поезд потратил бы на прохождение 40 км с первоначальной скоростью, и временем, которое он фактически потратил, двигаясь с увеличенной скоростью.

Время движения 40 км с первоначальной скоростью $v$: $\frac{40}{v}$ ч.

Время движения 40 км с увеличенной скоростью $(v+10)$: $\frac{40}{v+10}$ ч.

Составим уравнение, приравняв разницу во времени к сэкономленному времени:

$\frac{40}{v} - \frac{40}{v+10} = \frac{2}{15}$

Теперь решим это уравнение. Приведем дроби в левой части к общему знаменателю $v(v+10)$:

$\frac{40(v+10) - 40v}{v(v+10)} = \frac{2}{15}$

$\frac{40v + 400 - 40v}{v^2 + 10v} = \frac{2}{15}$

$\frac{400}{v^2 + 10v} = \frac{2}{15}$

Воспользуемся свойством пропорции (крест-накрест):

$2(v^2 + 10v) = 400 \cdot 15$

$2(v^2 + 10v) = 6000$

Разделим обе части уравнения на 2:

$v^2 + 10v = 3000$

Перенесем 3000 в левую часть, чтобы получить стандартное квадратное уравнение:

$v^2 + 10v - 3000 = 0$

Решим уравнение с помощью дискриминанта ($D = b^2 - 4ac$):

$D = 10^2 - 4 \cdot 1 \cdot (-3000) = 100 + 12000 = 12100$

Найдем корень из дискриминанта: $\sqrt{D} = \sqrt{12100} = 110$.

Найдем корни уравнения:

$v_1 = \frac{-10 + 110}{2} = \frac{100}{2} = 50$

$v_2 = \frac{-10 - 110}{2} = \frac{-120}{2} = -60$

Скорость не может быть отрицательной величиной, поэтому корень $v_2 = -60$ не имеет физического смысла. Следовательно, единственное подходящее решение — $v = 50$.

Найдите первоначальную скорость поезда. Ответ: 50 км/ч.

Помогло решение? Оставьте отзыв в комментариях ниже.

Присоединяйтесь к Телеграм-группе @gdz_by_belarus

Присоединиться

Мы подготовили для вас ответ c подробным объяснением домашего задания по алгебре за 9 класс, для упражнения номер 3.27 расположенного на странице 150 к учебнику 2019 года издания для учащихся школ и гимназий.

Теперь на нашем сайте ГДЗ.ТОП вы всегда легко и бесплатно найдёте условие с правильным ответом на вопрос «Как решить ДЗ» и «Как сделать» задание по алгебре к упражнению №3.27 (с. 150), авторов: Арефьева (Ирина Глебовна), Пирютко (Ольга Николаевна), учебного пособия издательства Народная асвета.