Номер 3.32, страница 150 - гдз по алгебре 9 класс учебник Арефьева, Пирютко

Алгебра, 9 класс Учебник, авторы: Арефьева Ирина Глебовна, Пирютко Ольга Николаевна, издательство Народная асвета, Минск, 2019, голубого цвета

Авторы: Арефьева И. Г., Пирютко О. Н.

Тип: Учебник

Издательство: Народная асвета

Год издания: 2019 - 2025

Цвет обложки: голубой, синий с графиком

ISBN: 978-985-03-3077-2

Допущено Министерством образования Республики Беларусь

Популярные ГДЗ в 9 классе

Глава 3. Дробно-рациональные уравнения и неравенства. Параграф 10. Дробно-рациональные уравнения - номер 3.32, страница 150.

№3.32 (с. 150)
Условие. №3.32 (с. 150)
скриншот условия
Алгебра, 9 класс Учебник, авторы: Арефьева Ирина Глебовна, Пирютко Ольга Николаевна, издательство Народная асвета, Минск, 2019, голубого цвета, страница 150, номер 3.32, Условие

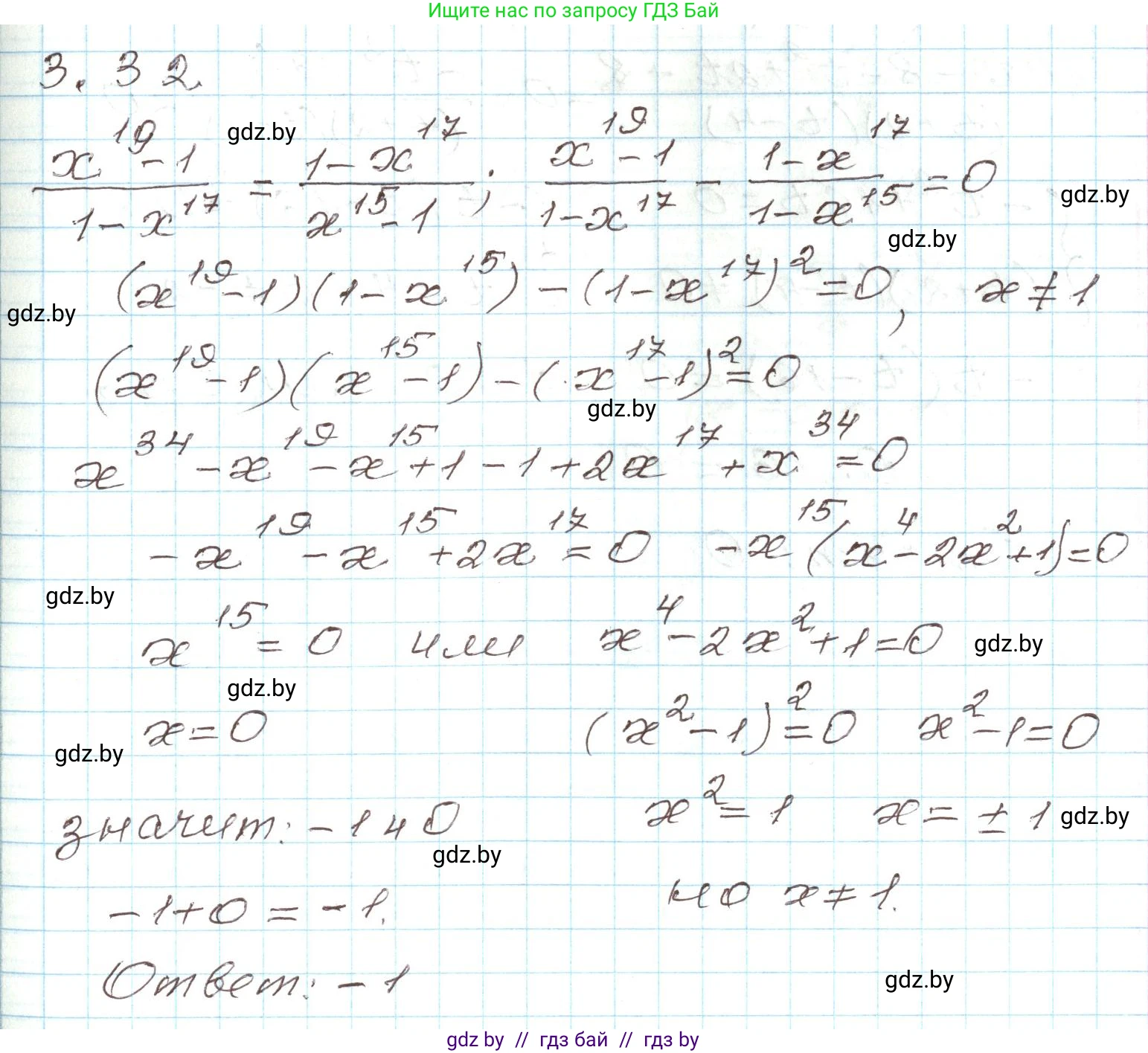
3.32*. Найдите сумму корней уравнения $\frac{x^{19}-1}{1-x^{17}}=\frac{1-x^{17}}{x^{15}-1}$

Решение. №3.32 (с. 150)
Алгебра, 9 класс Учебник, авторы: Арефьева Ирина Глебовна, Пирютко Ольга Николаевна, издательство Народная асвета, Минск, 2019, голубого цвета, страница 150, номер 3.32, Решение
Решение 2. №3.32 (с. 150)

Исходное уравнение:

$\frac{x^{19}-1}{1-x^{17}} = \frac{1-x^{17}}{x^{15}-1}$

1. Определение области допустимых значений (ОДЗ)

Знаменатели дробей в уравнении не должны быть равны нулю. Поэтому установим ограничения для переменной $x$:

  • $1 - x^{17} \neq 0 \implies x^{17} \neq 1 \implies x \neq 1$
  • $x^{15} - 1 \neq 0 \implies x^{15} \neq 1 \implies x \neq 1$

Таким образом, область допустимых значений для $x$ - это все действительные числа, кроме $x=1$.

2. Преобразование и решение уравнения

Для упрощения дальнейших вычислений преобразуем уравнение, чтобы избавиться от знаков минус в знаменателях. Для этого вынесем $-1$ за скобки в знаменателе левой части и в числителе правой части:

$\frac{x^{19}-1}{-(x^{17}-1)} = \frac{-(x^{17}-1)}{x^{15}-1}$

Теперь можно умножить обе части уравнения на $-1$:

$\frac{x^{19}-1}{x^{17}-1} = \frac{x^{17}-1}{x^{15}-1}$

Применим основное свойство пропорции (перекрестное умножение):

$(x^{19}-1)(x^{15}-1) = (x^{17}-1)^2$

Раскроем скобки в обеих частях равенства:

$x^{19} \cdot x^{15} - x^{19} \cdot 1 - 1 \cdot x^{15} + 1 \cdot 1 = (x^{17})^2 - 2 \cdot x^{17} \cdot 1 + 1^2$

$x^{34} - x^{19} - x^{15} + 1 = x^{34} - 2x^{17} + 1$

Сократим одинаковые слагаемые ($x^{34}$ и $1$) в обеих частях:

$-x^{19} - x^{15} = -2x^{17}$

Умножим обе части на $-1$:

$x^{19} + x^{15} = 2x^{17}$

Перенесем все слагаемые в левую часть, чтобы получить уравнение, равное нулю:

$x^{19} - 2x^{17} + x^{15} = 0$

Вынесем за скобки общий множитель с наименьшей степенью, то есть $x^{15}$:

$x^{15}(x^4 - 2x^2 + 1) = 0$

Заметим, что выражение в скобках является полным квадратом разности $(a-b)^2 = a^2 - 2ab + b^2$, где $a=x^2$ и $b=1$.

$x^{15}(x^2 - 1)^2 = 0$

3. Нахождение корней и проверка по ОДЗ

Произведение равно нулю, если хотя бы один из множителей равен нулю. Рассмотрим два случая:

  1. $x^{15} = 0 \implies x_1 = 0$
  2. $(x^2 - 1)^2 = 0 \implies x^2 - 1 = 0 \implies x^2 = 1 \implies x_2 = 1, x_3 = -1$

Теперь необходимо проверить найденные корни на соответствие ОДЗ ($x \neq 1$):

  • $x = 0$ — удовлетворяет условию $x \neq 1$, следовательно, является корнем уравнения.
  • $x = -1$ — удовлетворяет условию $x \neq 1$, следовательно, является корнем уравнения.
  • $x = 1$ — не удовлетворяет условию $x \neq 1$. При $x=1$ знаменатели исходных дробей обращаются в ноль, поэтому это посторонний корень.

Таким образом, исходное уравнение имеет два действительных корня: $0$ и $-1$.

4. Вычисление суммы корней

Сумма найденных корней равна:

$0 + (-1) = -1$

Сумма корней уравнения: Ответ: -1

Помогло решение? Оставьте отзыв в комментариях ниже.

Присоединяйтесь к Телеграм-группе @gdz_by_belarus

Присоединиться

Мы подготовили для вас ответ c подробным объяснением домашего задания по алгебре за 9 класс, для упражнения номер 3.32 расположенного на странице 150 к учебнику 2019 года издания для учащихся школ и гимназий.

Теперь на нашем сайте ГДЗ.ТОП вы всегда легко и бесплатно найдёте условие с правильным ответом на вопрос «Как решить ДЗ» и «Как сделать» задание по алгебре к упражнению №3.32 (с. 150), авторов: Арефьева (Ирина Глебовна), Пирютко (Ольга Николаевна), учебного пособия издательства Народная асвета.