Номер 3.35, страница 150 - гдз по алгебре 9 класс учебник Арефьева, Пирютко

Алгебра, 9 класс Учебник, авторы: Арефьева Ирина Глебовна, Пирютко Ольга Николаевна, издательство Народная асвета, Минск, 2019, голубого цвета

Авторы: Арефьева И. Г., Пирютко О. Н.

Тип: Учебник

Издательство: Народная асвета

Год издания: 2019 - 2025

Цвет обложки: голубой, синий с графиком

ISBN: 978-985-03-3077-2

Допущено Министерством образования Республики Беларусь

Популярные ГДЗ в 9 классе

Глава 3. Дробно-рациональные уравнения и неравенства. Параграф 10. Дробно-рациональные уравнения - номер 3.35, страница 150.

№3.35 (с. 150)
Условие. №3.35 (с. 150)
скриншот условия
Алгебра, 9 класс Учебник, авторы: Арефьева Ирина Глебовна, Пирютко Ольга Николаевна, издательство Народная асвета, Минск, 2019, голубого цвета, страница 150, номер 3.35, Условие Алгебра, 9 класс Учебник, авторы: Арефьева Ирина Глебовна, Пирютко Ольга Николаевна, издательство Народная асвета, Минск, 2019, голубого цвета, страница 150, номер 3.35, Условие (продолжение 2)

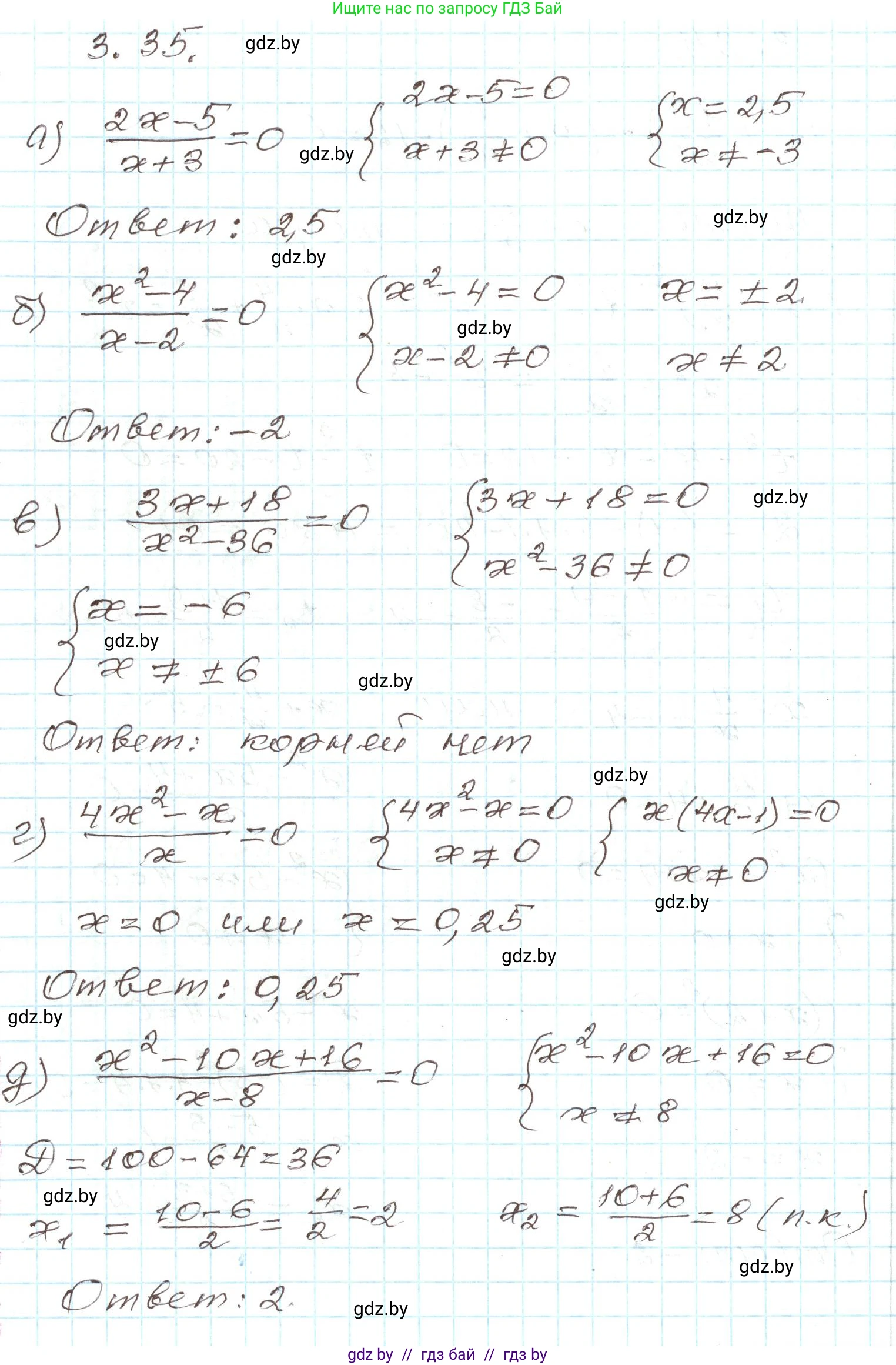
3.35. Решите уравнение, используя условие равенства дроби нулю:

а) $ \frac{2x - 5}{x + 3} = 0; $

б) $ \frac{x^2 - 4}{x - 2} = 0; $

в) $ \frac{3x + 18}{x^2 - 36} = 0; $

г) $ \frac{4x^2 - x}{x} = 0; $

д) $ \frac{x^2 - 10x + 16}{x - 8} = 0; $

е) $ \frac{x^2 - 25}{x^2 + 7x + 10} = 0. $

Решение. №3.35 (с. 150)
Алгебра, 9 класс Учебник, авторы: Арефьева Ирина Глебовна, Пирютко Ольга Николаевна, издательство Народная асвета, Минск, 2019, голубого цвета, страница 150, номер 3.35, Решение Алгебра, 9 класс Учебник, авторы: Арефьева Ирина Глебовна, Пирютко Ольга Николаевна, издательство Народная асвета, Минск, 2019, голубого цвета, страница 150, номер 3.35, Решение (продолжение 2)
Решение 2. №3.35 (с. 150)

Основное условие, при котором дробь равна нулю, заключается в том, что ее числитель должен быть равен нулю, а знаменатель при этом не должен быть равен нулю. Таким образом, для каждого уравнения вида $\frac{f(x)}{g(x)} = 0$ мы решаем систему: $\begin{cases} f(x) = 0 \\ g(x) \neq 0 \end{cases}$

а) Решаем уравнение $\frac{2x - 5}{x + 3} = 0$.
Составляем систему: $\begin{cases} 2x - 5 = 0 \\ x + 3 \neq 0 \end{cases}$
1. Находим корень числителя:
$2x - 5 = 0$
$2x = 5$
$x = \frac{5}{2} = 2.5$
2. Проверяем, обращается ли знаменатель в ноль при этом значении $x$:
$x + 3 = 2.5 + 3 = 5.5 \neq 0$.
Условие выполняется. Корень $x = \frac{5}{2}$ подходит.
Ответ: 2$\frac{1}{2}$

б) Решаем уравнение $\frac{x^2 - 4}{x - 2} = 0$.
Составляем систему: $\begin{cases} x^2 - 4 = 0 \\ x - 2 \neq 0 \end{cases}$
1. Находим корни числителя:
$x^2 - 4 = 0$
$(x - 2)(x + 2) = 0$
$x_1 = 2$, $x_2 = -2$.
2. Проверяем, обращается ли знаменатель в ноль:
$x - 2 \neq 0 \implies x \neq 2$.
Корень $x_1 = 2$ не удовлетворяет этому условию, поэтому он является посторонним.
Корень $x_2 = -2$ удовлетворяет условию ($-2 \neq 2$).
Ответ: -2

в) Решаем уравнение $\frac{3x + 18}{x^2 - 36} = 0$.
Составляем систему: $\begin{cases} 3x + 18 = 0 \\ x^2 - 36 \neq 0 \end{cases}$
1. Находим корень числителя:
$3x + 18 = 0$
$3x = -18$
$x = -6$.
2. Проверяем, обращается ли знаменатель в ноль при этом значении $x$:
$x^2 - 36 = (-6)^2 - 36 = 36 - 36 = 0$.
Условие $x^2 - 36 \neq 0$ не выполняется. Следовательно, корень $x=-6$ является посторонним.
Других корней нет.
Ответ: корней нет

г) Решаем уравнение $\frac{4x^2 - x}{x} = 0$.
Составляем систему: $\begin{cases} 4x^2 - x = 0 \\ x \neq 0 \end{cases}$
1. Находим корни числителя:
$4x^2 - x = 0$
$x(4x - 1) = 0$
$x_1 = 0$, $x_2 = \frac{1}{4}$.
2. Проверяем условие для знаменателя: $x \neq 0$.
Корень $x_1 = 0$ не удовлетворяет этому условию, поэтому он является посторонним.
Корень $x_2 = \frac{1}{4}$ удовлетворяет условию ($\frac{1}{4} \neq 0$).
Ответ: $\frac{1}{4}$

д) Решаем уравнение $\frac{x^2 - 10x + 16}{x - 8} = 0$.
Составляем систему: $\begin{cases} x^2 - 10x + 16 = 0 \\ x - 8 \neq 0 \end{cases}$
1. Находим корни числителя (по теореме Виета $x_1+x_2=10, x_1 \cdot x_2=16$):
$x_1 = 2$, $x_2 = 8$.
2. Проверяем условие для знаменателя: $x - 8 \neq 0 \implies x \neq 8$.
Корень $x_2 = 8$ не удовлетворяет этому условию, поэтому он является посторонним.
Корень $x_1 = 2$ удовлетворяет условию ($2 \neq 8$).
Ответ: 2

е) Решаем уравнение $\frac{x^2 - 25}{x^2 + 7x + 10} = 0$.
Составляем систему: $\begin{cases} x^2 - 25 = 0 \\ x^2 + 7x + 10 \neq 0 \end{cases}$
1. Находим корни числителя:
$x^2 - 25 = 0$
$(x - 5)(x + 5) = 0$
$x_1 = 5$, $x_2 = -5$.
2. Находим значения, при которых знаменатель равен нулю:
$x^2 + 7x + 10 = 0$
По теореме Виета ($x_a+x_b=-7, x_a \cdot x_b=10$), корни $x_a = -2$, $x_b = -5$.
Значит, условие для знаменателя: $x \neq -2$ и $x \neq -5$.
Корень $x_2 = -5$ не удовлетворяет этому условию, поэтому он является посторонним.
Корень $x_1 = 5$ удовлетворяет условиям ($5 \neq -2$ и $5 \neq -5$).
Ответ: 5

Помогло решение? Оставьте отзыв в комментариях ниже.

Присоединяйтесь к Телеграм-группе @gdz_by_belarus

Присоединиться

Мы подготовили для вас ответ c подробным объяснением домашего задания по алгебре за 9 класс, для упражнения номер 3.35 расположенного на странице 150 к учебнику 2019 года издания для учащихся школ и гимназий.

Теперь на нашем сайте ГДЗ.ТОП вы всегда легко и бесплатно найдёте условие с правильным ответом на вопрос «Как решить ДЗ» и «Как сделать» задание по алгебре к упражнению №3.35 (с. 150), авторов: Арефьева (Ирина Глебовна), Пирютко (Ольга Николаевна), учебного пособия издательства Народная асвета.