Номер 13.2, страница 73 - гдз по алгебре 10 класс сборник задач Арефьева, Пирютко
Авторы: Арефьева И. Г., Пирютко О. Н.
Тип: Сборник задач
Издательство: Народная асвета
Год издания: 2020 - 2025
Уровень обучения: базовый и повышенный
Цвет обложки: белый, голубой с графиком
Допущено Министерством образования Республики Беларусь
Популярные ГДЗ в 10 классе
Глава 3. Тригонометрия. Параграф 13. Тригонометрические уравнения. Тригонометрические неравенства - номер 13.2, страница 73.
№13.2 (с. 73)
Условие. №13.2 (с. 73)
скриншот условия
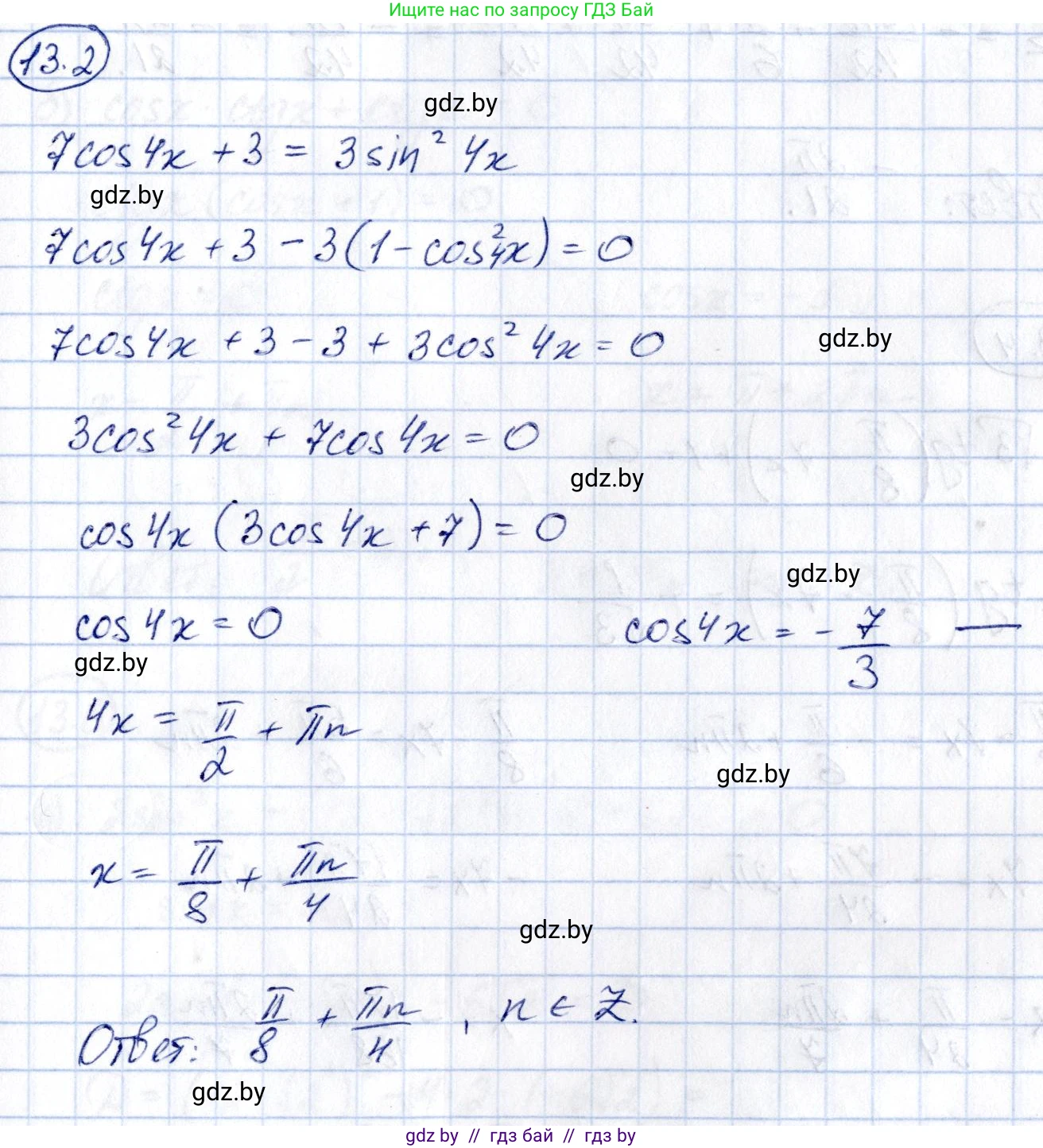
13.2. Найдите абсциссы точек пересечения графиков функций $y = 7\cos4x + 3$ и $y = 3\sin^2 4x$.
Решение. №13.2 (с. 73)
Решение 2. №13.2 (с. 73)
Для нахождения абсцисс точек пересечения графиков функций $y = 7\cos4x + 3$ и $y = 3\sin^24x$ необходимо приравнять их правые части:
$7\cos4x + 3 = 3\sin^24x$
Воспользуемся основным тригонометрическим тождеством $\sin^2\alpha + \cos^2\alpha = 1$, из которого следует, что $\sin^24x = 1 - \cos^24x$. Подставим это выражение в уравнение:
$7\cos4x + 3 = 3(1 - \cos^24x)$
$7\cos4x + 3 = 3 - 3\cos^24x$
Перенесем все члены уравнения в левую часть, чтобы получить уравнение, приведенное к нулю:
$3\cos^24x + 7\cos4x + 3 - 3 = 0$
$3\cos^24x + 7\cos4x = 0$
Для решения этого уравнения удобно ввести замену переменной. Пусть $t = \cos4x$. Так как область значений функции косинус находится в промежутке от -1 до 1, на новую переменную $t$ накладывается ограничение: $-1 \le t \le 1$.
После замены уравнение принимает вид квадратного уравнения относительно $t$:
$3t^2 + 7t = 0$
Вынесем общий множитель $t$ за скобки:
$t(3t + 7) = 0$
Произведение равно нулю, когда хотя бы один из множителей равен нулю. Отсюда получаем два возможных решения для $t$:
1) $t = 0$
2) $3t + 7 = 0 \implies 3t = -7 \implies t = -\frac{7}{3}$
Теперь необходимо проверить, удовлетворяют ли найденные значения $t$ условию $-1 \le t \le 1$.
Корень $t = 0$ удовлетворяет этому условию, так как $-1 \le 0 \le 1$.
Рассмотрим второй корень $t = -\frac{7}{3}$. Преобразуем неправильную дробь в смешанное число: $-\frac{7}{3} = -2\frac{1}{3}$. Это значение не входит в промежуток $[-1, 1]$, так как $-2\frac{1}{3} < -1$. Следовательно, это посторонний корень, и мы его отбрасываем.
Таким образом, единственным подходящим решением является $t = 0$. Вернемся к исходной переменной $x$, выполнив обратную замену:
$\cos4x = 0$
Это частный случай простейшего тригонометрического уравнения. Его решениями являются значения, при которых аргумент косинуса равен $\frac{\pi}{2} + \pi n$, где $n$ — любое целое число ($n \in \mathbb{Z}$).
$4x = \frac{\pi}{2} + \pi n$, где $n \in \mathbb{Z}$
Чтобы найти $x$, разделим обе части уравнения на 4:
$x = \frac{\pi}{4 \cdot 2} + \frac{\pi n}{4}$
$x = \frac{\pi}{8} + \frac{\pi n}{4}$, где $n \in \mathbb{Z}$
13.2. Ответ: $x = \frac{\pi}{8} + \frac{\pi n}{4}, n \in \mathbb{Z}$.
Другие задания:
Помогло решение? Оставьте отзыв в комментариях ниже.
Присоединяйтесь к Телеграм-группе @gdz_by_belarus
ПрисоединитьсяМы подготовили для вас ответ c подробным объяснением домашего задания по алгебре за 10 класс, для упражнения номер 13.2 расположенного на странице 73 к сборнику задач 2020 года издания для учащихся школ и гимназий.
Теперь на нашем сайте ГДЗ.ТОП вы всегда легко и бесплатно найдёте условие с правильным ответом на вопрос «Как решить ДЗ» и «Как сделать» задание по алгебре к упражнению №13.2 (с. 73), авторов: Арефьева (Ирина Глебовна), Пирютко (Ольга Николаевна), базовый и повышенный уровень обучения учебного пособия издательства Народная асвета.