Номер 15.1, страница 84 - гдз по алгебре 10 класс сборник задач Арефьева, Пирютко

Алгебра, 10 класс Сборник задач, авторы: Арефьева Ирина Глебовна, Пирютко Ольга Николаевна, издательство Народная асвета, Минск, 2020, белого цвета

Авторы: Арефьева И. Г., Пирютко О. Н.

Тип: Сборник задач

Издательство: Народная асвета

Год издания: 2020 - 2025

Уровень обучения: базовый и повышенный

Цвет обложки: белый, голубой с графиком

Допущено Министерством образования Республики Беларусь

Популярные ГДЗ в 10 классе

Глава 3. Тригонометрия. Параграф 15. Синус, косинус, тангенс суммы и разности - номер 15.1, страница 84.

№15.1 (с. 84)
Условие. №15.1 (с. 84)
скриншот условия
Алгебра, 10 класс Сборник задач, авторы: Арефьева Ирина Глебовна, Пирютко Ольга Николаевна, издательство Народная асвета, Минск, 2020, белого цвета, страница 84, номер 15.1, Условие

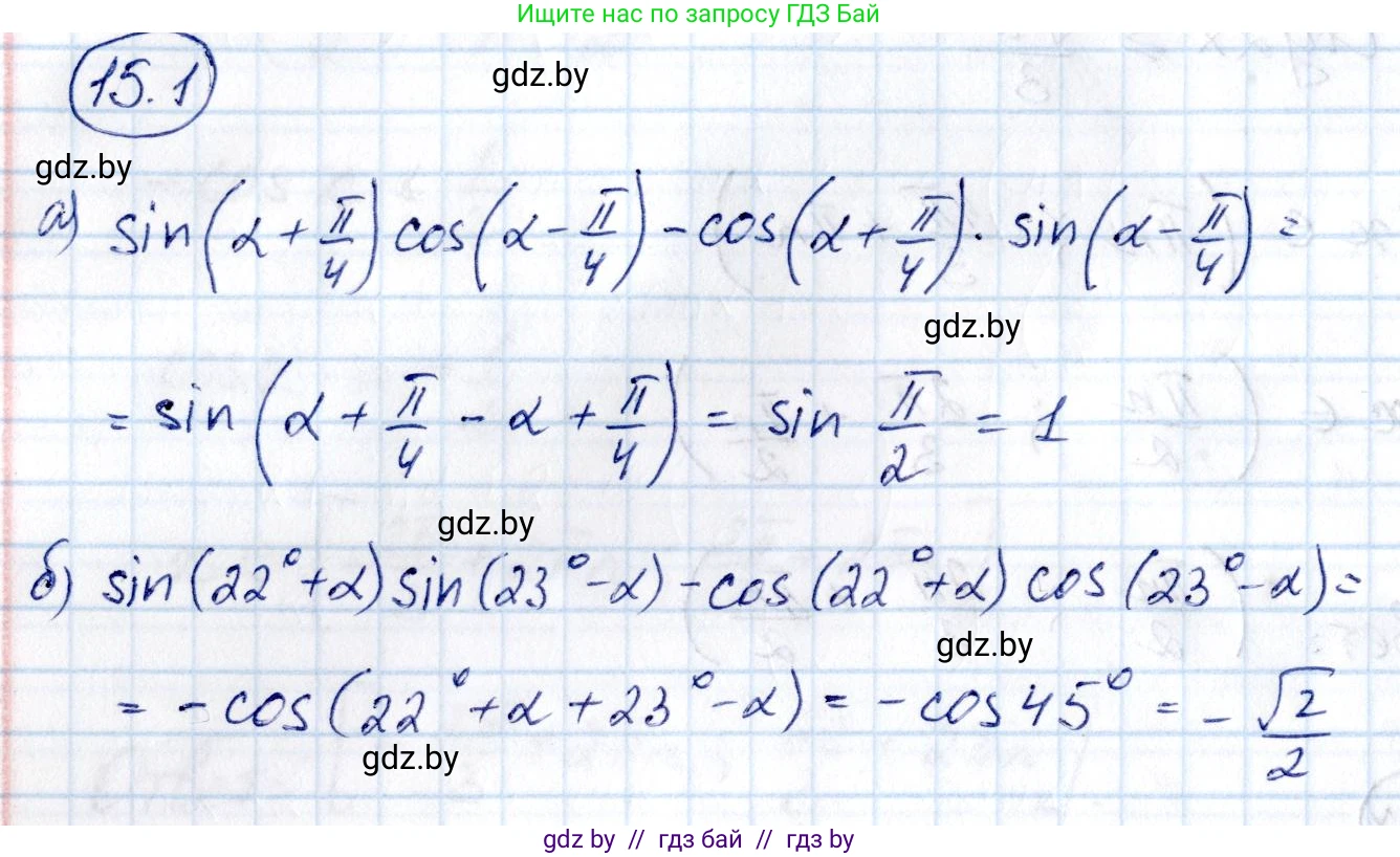
15.1. Упростите выражение:

a) $\sin\left(\alpha + \frac{\pi}{4}\right)\cos\left(\alpha - \frac{\pi}{4}\right) - \cos\left(\alpha + \frac{\pi}{4}\right)\sin\left(\alpha - \frac{\pi}{4}\right)$;

б) $\sin(22^\circ + \alpha)\sin(23^\circ - \alpha) - \cos(22^\circ + \alpha)\cos(23^\circ - \alpha)$.

Решение. №15.1 (с. 84)
Алгебра, 10 класс Сборник задач, авторы: Арефьева Ирина Глебовна, Пирютко Ольга Николаевна, издательство Народная асвета, Минск, 2020, белого цвета, страница 84, номер 15.1, Решение
Решение 2. №15.1 (с. 84)

а) Для упрощения выражения $\sin(\alpha + \frac{\pi}{4})\cos(\alpha - \frac{\pi}{4}) - \cos(\alpha + \frac{\pi}{4})\sin(\alpha - \frac{\pi}{4})$ воспользуемся формулой синуса разности двух углов: $\sin(x - y) = \sin(x)\cos(y) - \cos(x)\sin(y)$.

В данном выражении можно принять:

$x = \alpha + \frac{\pi}{4}$

$y = \alpha - \frac{\pi}{4}$

Тогда исходное выражение является синусом разности этих углов:

$\sin(x - y) = \sin\left(\left(\alpha + \frac{\pi}{4}\right) - \left(\alpha - \frac{\pi}{4}\right)\right) = \sin\left(\alpha + \frac{\pi}{4} - \alpha + \frac{\pi}{4}\right) = \sin\left(\frac{\pi}{4} + \frac{\pi}{4}\right) = \sin\left(\frac{2\pi}{4}\right) = \sin\left(\frac{\pi}{2}\right)$.

Как известно, значение $\sin\left(\frac{\pi}{2}\right) = 1$.

Ответ: 1.

б) Для упрощения выражения $\sin(22^\circ + \alpha)\sin(23^\circ - \alpha) - \cos(22^\circ + \alpha)\cos(23^\circ - \alpha)$ воспользуемся формулой косинуса суммы двух углов: $\cos(x + y) = \cos(x)\cos(y) - \sin(x)\sin(y)$.

Сначала вынесем знак минус за скобки, чтобы привести выражение к виду формулы:

$-(\cos(22^\circ + \alpha)\cos(23^\circ - \alpha) - \sin(22^\circ + \alpha)\sin(23^\circ - \alpha))$

Теперь выражение в скобках соответствует формуле косинуса суммы, где:

$x = 22^\circ + \alpha$

$y = 23^\circ - \alpha$

Подставим эти значения в формулу, учитывая минус перед скобкой:

$-\cos(x+y) = -\cos\left((22^\circ + \alpha) + (23^\circ - \alpha)\right) = -\cos\left(22^\circ + \alpha + 23^\circ - \alpha\right) = -\cos(22^\circ + 23^\circ) = -\cos(45^\circ)$.

Значение $\cos(45^\circ) = \frac{\sqrt{2}}{2}$.

Следовательно, результат равен $-\frac{\sqrt{2}}{2}$.

Ответ: $-\frac{\sqrt{2}}{2}$.

Помогло решение? Оставьте отзыв в комментариях ниже.

Присоединяйтесь к Телеграм-группе @gdz_by_belarus

Присоединиться

Мы подготовили для вас ответ c подробным объяснением домашего задания по алгебре за 10 класс, для упражнения номер 15.1 расположенного на странице 84 к сборнику задач 2020 года издания для учащихся школ и гимназий.

Теперь на нашем сайте ГДЗ.ТОП вы всегда легко и бесплатно найдёте условие с правильным ответом на вопрос «Как решить ДЗ» и «Как сделать» задание по алгебре к упражнению №15.1 (с. 84), авторов: Арефьева (Ирина Глебовна), Пирютко (Ольга Николаевна), базовый и повышенный уровень обучения учебного пособия издательства Народная асвета.