Номер 14.13, страница 80 - гдз по алгебре 10 класс сборник задач Арефьева, Пирютко

Алгебра, 10 класс Сборник задач, авторы: Арефьева Ирина Глебовна, Пирютко Ольга Николаевна, издательство Народная асвета, Минск, 2020, белого цвета

Авторы: Арефьева И. Г., Пирютко О. Н.

Тип: Сборник задач

Издательство: Народная асвета

Год издания: 2020 - 2025

Уровень обучения: базовый и повышенный

Цвет обложки: белый, голубой с графиком

Допущено Министерством образования Республики Беларусь

Популярные ГДЗ в 10 классе

Глава 3. Тригонометрия. Параграф 14. Формулы приведения - номер 14.13, страница 80.

№14.13 (с. 80)
Условие. №14.13 (с. 80)
скриншот условия
Алгебра, 10 класс Сборник задач, авторы: Арефьева Ирина Глебовна, Пирютко Ольга Николаевна, издательство Народная асвета, Минск, 2020, белого цвета, страница 80, номер 14.13, Условие

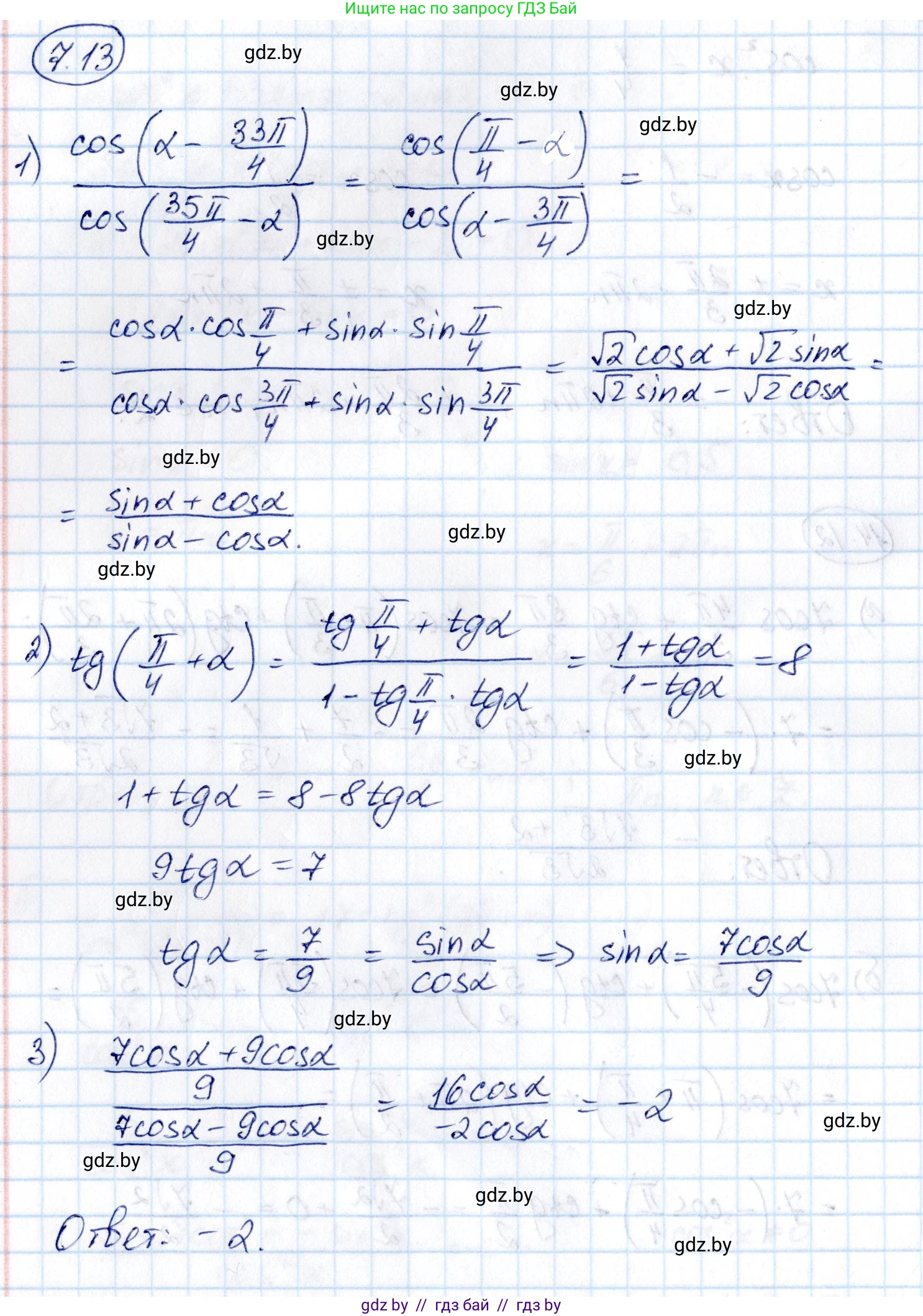
14.13. Найдите значение выражения $\frac{\cos\left(\alpha - \frac{33\pi}{4}\right)}{\cos\left(\frac{35\pi}{4} - \alpha\right)}$, если $\operatorname{tg}\left(\frac{\pi}{4} + \alpha\right) = 8$.

Решение. №14.13 (с. 80)
Алгебра, 10 класс Сборник задач, авторы: Арефьева Ирина Глебовна, Пирютко Ольга Николаевна, издательство Народная асвета, Минск, 2020, белого цвета, страница 80, номер 14.13, Решение
Решение 2. №14.13 (с. 80)

Для решения задачи преобразуем данное выражение, используя тригонометрические тождества и формулы приведения.

1. Сначала воспользуемся свойством четности функции косинус: $\cos(-x) = \cos(x)$.

$\cos(\alpha - \frac{33\pi}{4}) = \cos(-(\frac{33\pi}{4} - \alpha)) = \cos(\frac{33\pi}{4} - \alpha)$.

После этого преобразования исходное выражение примет вид:

$\frac{\cos(\frac{33\pi}{4} - \alpha)}{\cos(\frac{35\pi}{4} - \alpha)}$

2. Упростим выражение, связав аргументы в числителе и знаменателе. Заметим, что они отличаются на $\frac{\pi}{2}$:

$\frac{35\pi}{4} - \alpha = \frac{33\pi + 2\pi}{4} - \alpha = (\frac{33\pi}{4} - \alpha) + \frac{2\pi}{4} = (\frac{33\pi}{4} - \alpha) + \frac{\pi}{2}$.

Обозначим $x = \frac{33\pi}{4} - \alpha$. Тогда выражение можно переписать как:

$\frac{\cos(x)}{\cos(x + \frac{\pi}{2})}$

Применим формулу приведения $\cos(x + \frac{\pi}{2}) = -\sin(x)$. Получаем:

$\frac{\cos(x)}{-\sin(x)} = -\cot(x) = -\cot(\frac{33\pi}{4} - \alpha)$.

3. Теперь упростим аргумент котангенса, используя его периодичность (период котангенса равен $\pi$):

$\frac{33\pi}{4} = \frac{32\pi + \pi}{4} = 8\pi + \frac{\pi}{4}$.

$-\cot(\frac{33\pi}{4} - \alpha) = -\cot(8\pi + \frac{\pi}{4} - \alpha) = -\cot(\frac{\pi}{4} - \alpha)$.

4. Для нахождения значения этого выражения воспользуемся данным условием $\text{tg}(\frac{\pi}{4} + \alpha) = 8$ и формулой приведения, связывающей тангенс и котангенс: $\cot(\frac{\pi}{2} - y) = \text{tg}(y)$.

Заметим, что сумма аргументов $(\frac{\pi}{4} - \alpha)$ и $(\frac{\pi}{4} + \alpha)$ равна $\frac{\pi}{2}$. Это позволяет нам установить связь между ними:

$\frac{\pi}{4} - \alpha = \frac{\pi}{2} - (\frac{\pi}{4} + \alpha)$.

Применяем формулу приведения:

$\cot(\frac{\pi}{4} - \alpha) = \cot(\frac{\pi}{2} - (\frac{\pi}{4} + \alpha)) = \text{tg}(\frac{\pi}{4} + \alpha)$.

5. Таким образом, искомое значение выражения равно:

$-\cot(\frac{\pi}{4} - \alpha) = -\text{tg}(\frac{\pi}{4} + \alpha)$.

Подставляя известное из условия значение $\text{tg}(\frac{\pi}{4} + \alpha) = 8$, получаем окончательный результат.

Ответ: -8

Помогло решение? Оставьте отзыв в комментариях ниже.

Присоединяйтесь к Телеграм-группе @gdz_by_belarus

Присоединиться

Мы подготовили для вас ответ c подробным объяснением домашего задания по алгебре за 10 класс, для упражнения номер 14.13 расположенного на странице 80 к сборнику задач 2020 года издания для учащихся школ и гимназий.

Теперь на нашем сайте ГДЗ.ТОП вы всегда легко и бесплатно найдёте условие с правильным ответом на вопрос «Как решить ДЗ» и «Как сделать» задание по алгебре к упражнению №14.13 (с. 80), авторов: Арефьева (Ирина Глебовна), Пирютко (Ольга Николаевна), базовый и повышенный уровень обучения учебного пособия издательства Народная асвета.