Номер 14.8, страница 80 - гдз по алгебре 10 класс сборник задач Арефьева, Пирютко
Авторы: Арефьева И. Г., Пирютко О. Н.
Тип: Сборник задач
Издательство: Народная асвета
Год издания: 2020 - 2025
Уровень обучения: базовый и повышенный
Цвет обложки: белый, голубой с графиком
Допущено Министерством образования Республики Беларусь
Популярные ГДЗ в 10 классе
Глава 3. Тригонометрия. Параграф 14. Формулы приведения - номер 14.8, страница 80.
№14.8 (с. 80)
Условие. №14.8 (с. 80)
скриншот условия
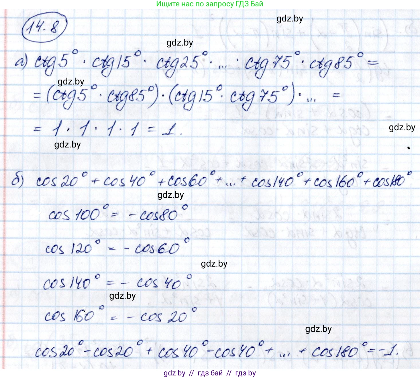
14.8. Найдите значение выражения:
a) $ \text{ctg}5^\circ \text{ctg}15^\circ \text{ctg}25^\circ \cdots \text{ctg}75^\circ \text{ctg}85^\circ $
б) $ \cos20^\circ + \cos40^\circ + \cos60^\circ + \cdots + \cos140^\circ + \cos160^\circ + \cos180^\circ $.
Решение. №14.8 (с. 80)
Решение 2. №14.8 (с. 80)
а) Для нахождения значения выражения $ctg5^\circ ctg15^\circ ctg25^\circ \cdot \ldots \cdot ctg75^\circ ctg85^\circ$ воспользуемся формулой приведения $ctg(90^\circ - \alpha) = tg(\alpha)$ и основным тригонометрическим свойством $ctg(\alpha) \cdot tg(\alpha) = 1$.
Данное выражение представляет собой произведение котангенсов, углы которых образуют арифметическую прогрессию с шагом $10^\circ$. Запишем все множители: $ctg5^\circ, ctg15^\circ, ctg25^\circ, ctg35^\circ, ctg45^\circ, ctg55^\circ, ctg65^\circ, ctg75^\circ, ctg85^\circ$.
Сгруппируем множители попарно, чтобы сумма углов в каждой паре была равна $90^\circ$:
- $ctg5^\circ \cdot ctg85^\circ = ctg5^\circ \cdot ctg(90^\circ - 5^\circ) = ctg5^\circ \cdot tg5^\circ = 1$
- $ctg15^\circ \cdot ctg75^\circ = ctg15^\circ \cdot ctg(90^\circ - 15^\circ) = ctg15^\circ \cdot tg15^\circ = 1$
- $ctg25^\circ \cdot ctg65^\circ = ctg25^\circ \cdot ctg(90^\circ - 25^\circ) = ctg25^\circ \cdot tg25^\circ = 1$
- $ctg35^\circ \cdot ctg55^\circ = ctg35^\circ \cdot ctg(90^\circ - 35^\circ) = ctg35^\circ \cdot tg35^\circ = 1$
Множитель, оставшийся без пары, — это $ctg45^\circ$, значение которого равно $1$.
Таким образом, итоговое произведение равно: $1 \cdot 1 \cdot 1 \cdot 1 \cdot 1 = 1$.
Ответ: 1.
б) Для нахождения значения выражения $cos20^\circ + cos40^\circ + cos60^\circ + \ldots + cos140^\circ + cos160^\circ + cos180^\circ$ воспользуемся формулой приведения $cos(180^\circ - \alpha) = -cos(\alpha)$.
Данное выражение представляет собой сумму косинусов, углы которых образуют арифметическую прогрессию с шагом $20^\circ$. Запишем все слагаемые: $cos20^\circ, cos40^\circ, cos60^\circ, cos80^\circ, cos100^\circ, cos120^\circ, cos140^\circ, cos160^\circ, cos180^\circ$.
Сгруппируем слагаемые попарно так, чтобы сумма углов в каждой паре была равна $180^\circ$:
- $cos20^\circ + cos160^\circ = cos20^\circ + cos(180^\circ - 20^\circ) = cos20^\circ - cos20^\circ = 0$
- $cos40^\circ + cos140^\circ = cos40^\circ + cos(180^\circ - 40^\circ) = cos40^\circ - cos40^\circ = 0$
- $cos60^\circ + cos120^\circ = cos60^\circ + cos(180^\circ - 60^\circ) = cos60^\circ - cos60^\circ = 0$
- $cos80^\circ + cos100^\circ = cos80^\circ + cos(180^\circ - 80^\circ) = cos80^\circ - cos80^\circ = 0$
Слагаемое, оставшееся без пары, — это $cos180^\circ$, значение которого равно $-1$.
Таким образом, итоговая сумма равна: $0 + 0 + 0 + 0 + (-1) = -1$.
Ответ: -1.
Другие задания:
Помогло решение? Оставьте отзыв в комментариях ниже.
Присоединяйтесь к Телеграм-группе @gdz_by_belarus
ПрисоединитьсяМы подготовили для вас ответ c подробным объяснением домашего задания по алгебре за 10 класс, для упражнения номер 14.8 расположенного на странице 80 к сборнику задач 2020 года издания для учащихся школ и гимназий.
Теперь на нашем сайте ГДЗ.ТОП вы всегда легко и бесплатно найдёте условие с правильным ответом на вопрос «Как решить ДЗ» и «Как сделать» задание по алгебре к упражнению №14.8 (с. 80), авторов: Арефьева (Ирина Глебовна), Пирютко (Ольга Николаевна), базовый и повышенный уровень обучения учебного пособия издательства Народная асвета.