Номер 15.13, страница 85 - гдз по алгебре 10 класс сборник задач Арефьева, Пирютко
Авторы: Арефьева И. Г., Пирютко О. Н.
Тип: Сборник задач
Издательство: Народная асвета
Год издания: 2020 - 2025
Уровень обучения: базовый и повышенный
Цвет обложки: белый, голубой с графиком
Допущено Министерством образования Республики Беларусь
Популярные ГДЗ в 10 классе
Глава 3. Тригонометрия. Параграф 15. Синус, косинус, тангенс суммы и разности - номер 15.13, страница 85.
№15.13 (с. 85)
Условие. №15.13 (с. 85)
скриншот условия
$1+\sqrt{3} \cdot \operatorname{tg}15$
15.13. Вычислите:
а) $\sin\left(\arcsin\frac{1}{2}+\arccos\frac{1}{3}\right)$;
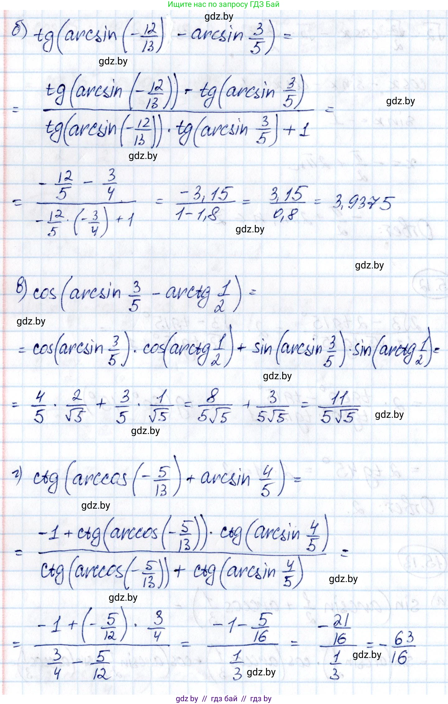
б) $\operatorname{tg}\left(\arcsin\left(-\frac{12}{13}\right)-\arcsin\frac{3}{5}\right)$;
в) $\cos\left(\arcsin\frac{3}{5}-\operatorname{arctg}\frac{1}{2}\right)$;
г) $\operatorname{ctg}\left(\arccos\left(-\frac{5}{13}\right)+\arcsin\frac{4}{5}\right)$.
Решение. №15.13 (с. 85)
Решение 2. №15.13 (с. 85)
а) Для вычисления $ \sin(\arcsin\frac{1}{2} + \arccos\frac{1}{3}) $ воспользуемся формулой синуса суммы: $ \sin(\alpha + \beta) = \sin\alpha\cos\beta + \cos\alpha\sin\beta $.
Пусть $ \alpha = \arcsin\frac{1}{2} $ и $ \beta = \arccos\frac{1}{3} $.
По определению арксинуса, $ \sin\alpha = \frac{1}{2} $. Угол $ \alpha $ находится в первой четверти, так как $ \frac{1}{2} > 0 $. Найдем $ \cos\alpha $: $ \cos\alpha = \sqrt{1 - \sin^2\alpha} = \sqrt{1 - (\frac{1}{2})^2} = \sqrt{1 - \frac{1}{4}} = \sqrt{\frac{3}{4}} = \frac{\sqrt{3}}{2} $.
По определению арккосинуса, $ \cos\beta = \frac{1}{3} $. Угол $ \beta $ находится в первой четверти, так как $ \frac{1}{3} > 0 $. Найдем $ \sin\beta $: $ \sin\beta = \sqrt{1 - \cos^2\beta} = \sqrt{1 - (\frac{1}{3})^2} = \sqrt{1 - \frac{1}{9}} = \sqrt{\frac{8}{9}} = \frac{2\sqrt{2}}{3} $.
Подставим найденные значения в формулу синуса суммы: $ \sin(\alpha + \beta) = \frac{1}{2} \cdot \frac{1}{3} + \frac{\sqrt{3}}{2} \cdot \frac{2\sqrt{2}}{3} = \frac{1}{6} + \frac{2\sqrt{6}}{6} = \frac{1 + 2\sqrt{6}}{6} $.
Ответ: $ \frac{1 + 2\sqrt{6}}{6} $.
б) Для вычисления $ \text{tg}(\arcsin(-\frac{12}{13}) - \arcsin\frac{3}{5}) $ воспользуемся формулой тангенса разности: $ \text{tg}(\alpha - \beta) = \frac{\text{tg}\alpha - \text{tg}\beta}{1 + \text{tg}\alpha\text{tg}\beta} $.
Пусть $ \alpha = \arcsin(-\frac{12}{13}) $ и $ \beta = \arcsin\frac{3}{5} $.
По определению арксинуса, $ \sin\alpha = -\frac{12}{13} $. Угол $ \alpha $ находится в четвертой четверти. Найдем $ \cos\alpha $ (в IV четверти косинус положителен): $ \cos\alpha = \sqrt{1 - (-\frac{12}{13})^2} = \sqrt{1 - \frac{144}{169}} = \sqrt{\frac{25}{169}} = \frac{5}{13} $.
Тогда $ \text{tg}\alpha = \frac{\sin\alpha}{\cos\alpha} = \frac{-12/13}{5/13} = -\frac{12}{5} $.
Далее, $ \sin\beta = \frac{3}{5} $. Угол $ \beta $ находится в первой четверти. Найдем $ \cos\beta $: $ \cos\beta = \sqrt{1 - (\frac{3}{5})^2} = \sqrt{1 - \frac{9}{25}} = \sqrt{\frac{16}{25}} = \frac{4}{5} $.
Тогда $ \text{tg}\beta = \frac{\sin\beta}{\cos\beta} = \frac{3/5}{4/5} = \frac{3}{4} $.
Подставим значения в формулу тангенса разности: $ \text{tg}(\alpha - \beta) = \frac{-\frac{12}{5} - \frac{3}{4}}{1 + (-\frac{12}{5}) \cdot \frac{3}{4}} = \frac{\frac{-48 - 15}{20}}{1 - \frac{36}{20}} = \frac{-\frac{63}{20}}{-\frac{16}{20}} = \frac{63}{16} $.
Ответ: $ \frac{63}{16} = \textbf{3}\frac{15}{16} $.
в) Для вычисления $ \cos(\arcsin\frac{3}{5} - \text{arctg}\frac{1}{2}) $ воспользуемся формулой косинуса разности: $ \cos(\alpha - \beta) = \cos\alpha\cos\beta + \sin\alpha\sin\beta $.
Пусть $ \alpha = \arcsin\frac{3}{5} $ и $ \beta = \text{arctg}\frac{1}{2} $.
По определению арксинуса, $ \sin\alpha = \frac{3}{5} $. Угол $ \alpha $ находится в первой четверти. Найдем $ \cos\alpha $: $ \cos\alpha = \sqrt{1 - (\frac{3}{5})^2} = \sqrt{1 - \frac{9}{25}} = \sqrt{\frac{16}{25}} = \frac{4}{5} $.
По определению арктангенса, $ \text{tg}\beta = \frac{1}{2} $. Угол $ \beta $ находится в первой четверти. Найдем $ \cos\beta $ и $ \sin\beta $ через $ \text{tg}\beta $: $ 1 + \text{tg}^2\beta = \frac{1}{\cos^2\beta} \Rightarrow \cos^2\beta = \frac{1}{1 + (\frac{1}{2})^2} = \frac{1}{1 + \frac{1}{4}} = \frac{1}{5/4} = \frac{4}{5} $. $ \cos\beta = \sqrt{\frac{4}{5}} = \frac{2}{\sqrt{5}} = \frac{2\sqrt{5}}{5} $.
$ \sin\beta = \cos\beta \cdot \text{tg}\beta = \frac{2}{\sqrt{5}} \cdot \frac{1}{2} = \frac{1}{\sqrt{5}} = \frac{\sqrt{5}}{5} $.
Подставим значения в формулу косинуса разности: $ \cos(\alpha - \beta) = \frac{4}{5} \cdot \frac{2}{\sqrt{5}} + \frac{3}{5} \cdot \frac{1}{\sqrt{5}} = \frac{8}{5\sqrt{5}} + \frac{3}{5\sqrt{5}} = \frac{11}{5\sqrt{5}} = \frac{11\sqrt{5}}{25} $.
Ответ: $ \frac{11\sqrt{5}}{25} $.
г) Для вычисления $ \text{ctg}(\arccos(-\frac{5}{13}) + \arcsin\frac{4}{5}) $ воспользуемся формулой котангенса суммы: $ \text{ctg}(\alpha + \beta) = \frac{\text{ctg}\alpha\text{ctg}\beta - 1}{\text{ctg}\beta + \text{ctg}\alpha} $.
Пусть $ \alpha = \arccos(-\frac{5}{13}) $ и $ \beta = \arcsin\frac{4}{5} $.
По определению арккосинуса, $ \cos\alpha = -\frac{5}{13} $. Угол $ \alpha $ находится во второй четверти. Найдем $ \sin\alpha $ (во II четверти синус положителен): $ \sin\alpha = \sqrt{1 - (-\frac{5}{13})^2} = \sqrt{1 - \frac{25}{169}} = \sqrt{\frac{144}{169}} = \frac{12}{13} $.
Тогда $ \text{ctg}\alpha = \frac{\cos\alpha}{\sin\alpha} = \frac{-5/13}{12/13} = -\frac{5}{12} $.
По определению арксинуса, $ \sin\beta = \frac{4}{5} $. Угол $ \beta $ находится в первой четверти. Найдем $ \cos\beta $: $ \cos\beta = \sqrt{1 - (\frac{4}{5})^2} = \sqrt{1 - \frac{16}{25}} = \sqrt{\frac{9}{25}} = \frac{3}{5} $.
Тогда $ \text{ctg}\beta = \frac{\cos\beta}{\sin\beta} = \frac{3/5}{4/5} = \frac{3}{4} $.
Подставим значения в формулу котангенса суммы: $ \text{ctg}(\alpha + \beta) = \frac{(-\frac{5}{12}) \cdot \frac{3}{4} - 1}{\frac{3}{4} + (-\frac{5}{12})} = \frac{-\frac{15}{48} - 1}{\frac{9}{12} - \frac{5}{12}} = \frac{-\frac{5}{16} - \frac{16}{16}}{\frac{4}{12}} = \frac{-21/16}{1/3} = -\frac{63}{16} $.
Ответ: $ -\frac{63}{16} = -\textbf{3}\frac{15}{16} $.
Другие задания:
Помогло решение? Оставьте отзыв в комментариях ниже.
Присоединяйтесь к Телеграм-группе @gdz_by_belarus
ПрисоединитьсяМы подготовили для вас ответ c подробным объяснением домашего задания по алгебре за 10 класс, для упражнения номер 15.13 расположенного на странице 85 к сборнику задач 2020 года издания для учащихся школ и гимназий.
Теперь на нашем сайте ГДЗ.ТОП вы всегда легко и бесплатно найдёте условие с правильным ответом на вопрос «Как решить ДЗ» и «Как сделать» задание по алгебре к упражнению №15.13 (с. 85), авторов: Арефьева (Ирина Глебовна), Пирютко (Ольга Николаевна), базовый и повышенный уровень обучения учебного пособия издательства Народная асвета.