Номер 22.13, страница 110 - гдз по алгебре 10 класс сборник задач Арефьева, Пирютко

Алгебра, 10 класс Сборник задач, авторы: Арефьева Ирина Глебовна, Пирютко Ольга Николаевна, издательство Народная асвета, Минск, 2020, белого цвета

Авторы: Арефьева И. Г., Пирютко О. Н.

Тип: Сборник задач

Издательство: Народная асвета

Год издания: 2020 - 2025

Уровень обучения: базовый и повышенный

Цвет обложки: белый, голубой с графиком

Допущено Министерством образования Республики Беларусь

Популярные ГДЗ в 10 классе

Глава 4. Корень n-й степени из числа. Параграф 22. Иррациональные уравнения - номер 22.13, страница 110.

№22.13 (с. 110)
Условие. №22.13 (с. 110)
скриншот условия
Алгебра, 10 класс Сборник задач, авторы: Арефьева Ирина Глебовна, Пирютко Ольга Николаевна, издательство Народная асвета, Минск, 2020, белого цвета, страница 110, номер 22.13, Условие

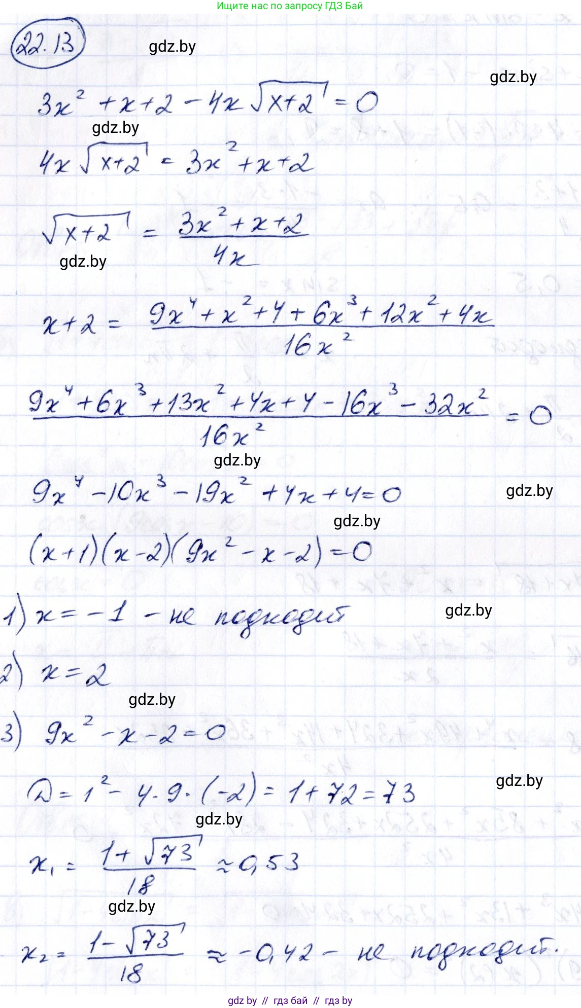
22.13. Решите уравнение $3x^2 + x + 2 - 4x\sqrt{x+2} = 0$.

Решение. №22.13 (с. 110)
Алгебра, 10 класс Сборник задач, авторы: Арефьева Ирина Глебовна, Пирютко Ольга Николаевна, издательство Народная асвета, Минск, 2020, белого цвета, страница 110, номер 22.13, Решение Алгебра, 10 класс Сборник задач, авторы: Арефьева Ирина Глебовна, Пирютко Ольга Николаевна, издательство Народная асвета, Минск, 2020, белого цвета, страница 110, номер 22.13, Решение (продолжение 2)
Решение 2. №22.13 (с. 110)

Данное уравнение: $3x^2 + x + 2 - 4x\sqrt{x+2} = 0$.

Первым шагом определим область допустимых значений (ОДЗ). Выражение, находящееся под знаком квадратного корня, должно быть неотрицательным:

$x + 2 \ge 0 \Rightarrow x \ge -2$.

Теперь преобразуем исходное уравнение. Заметим, что его можно свести к виду разности квадратов. Для этого выполним группировку слагаемых. Представим $3x^2$ как $4x^2 - x^2$:

$(4x^2 - x^2) + x + 2 - 4x\sqrt{x+2} = 0$

Сгруппируем члены так, чтобы выделить полный квадрат:

$(4x^2 - 4x\sqrt{x+2} + (x+2)) - x^2 = 0$

Выражение в скобках $4x^2 - 4x\sqrt{x+2} + (x+2)$ представляет собой полный квадрат разности $(2x - \sqrt{x+2})^2$, так как $(2x)^2 = 4x^2$, $(\sqrt{x+2})^2 = x+2$ и удвоенное произведение $2 \cdot (2x) \cdot \sqrt{x+2} = 4x\sqrt{x+2}$.

Подставив это в уравнение, получаем:

$(2x - \sqrt{x+2})^2 - x^2 = 0$

Мы получили разность квадратов вида $a^2 - b^2 = (a-b)(a+b)$, где $a = 2x - \sqrt{x+2}$ и $b = x$. Разложим левую часть на множители:

$((2x - \sqrt{x+2}) - x) \cdot ((2x - \sqrt{x+2}) + x) = 0$

$(x - \sqrt{x+2})(3x - \sqrt{x+2}) = 0$

Произведение двух множителей равно нулю тогда и только тогда, когда хотя бы один из них равен нулю. Это приводит к двум независимым уравнениям:

1) $x - \sqrt{x+2} = 0$

2) $3x - \sqrt{x+2} = 0$

Решим первое уравнение:

$x = \sqrt{x+2}$

Поскольку значение квадратного корня не может быть отрицательным, должно выполняться условие $x \ge 0$. С учетом ОДЗ ($x \ge -2$), получаем общее условие $x \ge 0$.

Возведем обе части уравнения в квадрат:

$x^2 = x + 2$

$x^2 - x - 2 = 0$

Корни этого квадратного уравнения можно найти по теореме Виета: $x_1 = 2$ и $x_2 = -1$.

Проверим найденные корни на соответствие условию $x \ge 0$:

  • $x_1 = 2$ удовлетворяет условию ($2 \ge 0$), следовательно, является корнем.
  • $x_2 = -1$ не удовлетворяет условию ($-1 < 0$), следовательно, это посторонний корень.

Решим второе уравнение:

$3x = \sqrt{x+2}$

Аналогично первому случаю, должно выполняться условие $3x \ge 0$, что означает $x \ge 0$.

Возведем обе части уравнения в квадрат:

$(3x)^2 = x + 2$

$9x^2 = x + 2$

$9x^2 - x - 2 = 0$

Решим это квадратное уравнение через дискриминант:

$D = b^2 - 4ac = (-1)^2 - 4 \cdot 9 \cdot (-2) = 1 + 72 = 73$

Корни уравнения равны:

$x = \frac{-b \pm \sqrt{D}}{2a} = \frac{1 \pm \sqrt{73}}{18}$

Получаем два потенциальных корня: $x_3 = \frac{1 + \sqrt{73}}{18}$ и $x_4 = \frac{1 - \sqrt{73}}{18}$.

Проверим их на соответствие условию $x \ge 0$:

  • $x_3 = \frac{1 + \sqrt{73}}{18}$ является положительным числом, так как $\sqrt{73} > 0$. Этот корень подходит.
  • $x_4 = \frac{1 - \sqrt{73}}{18}$ является отрицательным числом, так как $\sqrt{73} > 1$. Это посторонний корень.

Итак, мы получили два корня, которые удовлетворяют всем условиям: $x=2$ и $x=\frac{1 + \sqrt{73}}{18}$.

22.13. Ответ: $2$; $\frac{1 + \sqrt{73}}{18}$.

Помогло решение? Оставьте отзыв в комментариях ниже.

Присоединяйтесь к Телеграм-группе @gdz_by_belarus

Присоединиться

Мы подготовили для вас ответ c подробным объяснением домашего задания по алгебре за 10 класс, для упражнения номер 22.13 расположенного на странице 110 к сборнику задач 2020 года издания для учащихся школ и гимназий.

Теперь на нашем сайте ГДЗ.ТОП вы всегда легко и бесплатно найдёте условие с правильным ответом на вопрос «Как решить ДЗ» и «Как сделать» задание по алгебре к упражнению №22.13 (с. 110), авторов: Арефьева (Ирина Глебовна), Пирютко (Ольга Николаевна), базовый и повышенный уровень обучения учебного пособия издательства Народная асвета.