Номер 22.14, страница 110 - гдз по алгебре 10 класс сборник задач Арефьева, Пирютко

Алгебра, 10 класс Сборник задач, авторы: Арефьева Ирина Глебовна, Пирютко Ольга Николаевна, издательство Народная асвета, Минск, 2020, белого цвета

Авторы: Арефьева И. Г., Пирютко О. Н.

Тип: Сборник задач

Издательство: Народная асвета

Год издания: 2020 - 2025

Уровень обучения: базовый и повышенный

Цвет обложки: белый, голубой с графиком

Допущено Министерством образования Республики Беларусь

Популярные ГДЗ в 10 классе

Глава 4. Корень n-й степени из числа. Параграф 22. Иррациональные уравнения - номер 22.14, страница 110.

№22.14 (с. 110)
Условие. №22.14 (с. 110)
скриншот условия
Алгебра, 10 класс Сборник задач, авторы: Арефьева Ирина Глебовна, Пирютко Ольга Николаевна, издательство Народная асвета, Минск, 2020, белого цвета, страница 110, номер 22.14, Условие

22.14. Найдите корни уравнения

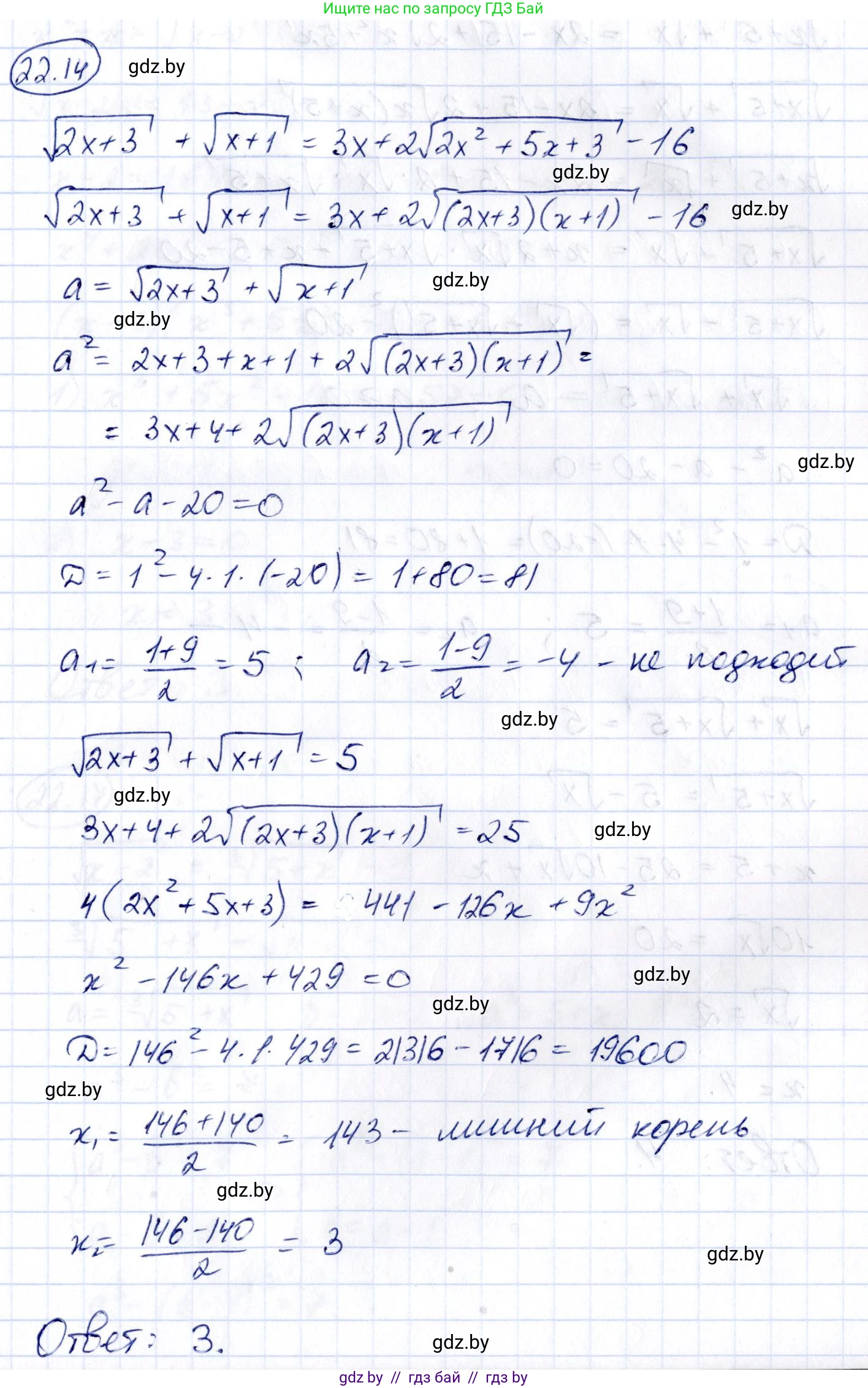
$\sqrt{2x+3} + \sqrt{x+1} = 3x + 2\sqrt{2x^2+5x+3} - 16.$

Решение. №22.14 (с. 110)
Алгебра, 10 класс Сборник задач, авторы: Арефьева Ирина Глебовна, Пирютко Ольга Николаевна, издательство Народная асвета, Минск, 2020, белого цвета, страница 110, номер 22.14, Решение
Решение 2. №22.14 (с. 110)

Исходное уравнение: $ \sqrt{2x + 3} + \sqrt{x + 1} = 3x + 2\sqrt{2x^2 + 5x + 3} - 16 $.

Сначала найдем область допустимых значений (ОДЗ). Все выражения под знаком корня должны быть неотрицательными: $ \begin{cases} 2x + 3 \ge 0 \\ x + 1 \ge 0 \\ 2x^2 + 5x + 3 \ge 0 \end{cases} $ Решим систему неравенств: $ \begin{cases} x \ge -1.5 \\ x \ge -1 \\ (2x+3)(x+1) \ge 0 \end{cases} $ Объединяя все три условия, получаем ОДЗ: $ x \ge -1 $.

Заметим, что подкоренное выражение $ 2x^2 + 5x + 3 $ можно разложить на множители как $ (2x + 3)(x + 1) $. Тогда уравнение можно переписать в виде: $ \sqrt{2x + 3} + \sqrt{x + 1} = 3x + 2\sqrt{(2x + 3)(x + 1)} - 16 $. Так как в ОДЗ ($ x \ge -1 $) оба множителя $ (2x+3) $ и $ (x+1) $ неотрицательны, то $ \sqrt{(2x + 3)(x + 1)} = \sqrt{2x + 3} \cdot \sqrt{x + 1} $.

Введем замену переменных для упрощения уравнения. Пусть $ a = \sqrt{2x + 3} $ и $ b = \sqrt{x + 1} $. По определению арифметического корня, $ a \ge 0 $ и $ b \ge 0 $. Уравнение принимает вид: $ a + b = 3x + 2ab - 16 $. Чтобы избавиться от $ x $, выразим его через $ a $ и $ b $. $ a^2 = 2x + 3 $ $ b^2 = x + 1 $ Сложив эти два равенства, получим: $ a^2 + b^2 = (2x + 3) + (x + 1) = 3x + 4 $. Отсюда следует, что $ 3x = a^2 + b^2 - 4 $.

Теперь подставим полученное выражение для $ 3x $ в уравнение с переменными $ a $ и $ b $: $ a + b = (a^2 + b^2 - 4) + 2ab - 16 $ $ a + b = a^2 + 2ab + b^2 - 20 $ Используя формулу квадрата суммы $ (a+b)^2 = a^2 + 2ab + b^2 $, получаем: $ a + b = (a + b)^2 - 20 $

Сделаем еще одну замену: пусть $ y = a + b $. Уравнение превращается в простое квадратное уравнение относительно $ y $: $ y = y^2 - 20 $ $ y^2 - y - 20 = 0 $ Найдем корни, например, через дискриминант: $ D = (-1)^2 - 4 \cdot 1 \cdot (-20) = 1 + 80 = 81 = 9^2 $. $ y_1 = \frac{1 + 9}{2} = 5 $ $ y_2 = \frac{1 - 9}{2} = -4 $

Поскольку $ y = a + b = \sqrt{2x + 3} + \sqrt{x + 1} $, а сумма арифметических квадратных корней не может быть отрицательной, то $ y \ge 0 $. Следовательно, корень $ y_2 = -4 $ является посторонним. Остается единственный возможный вариант: $ y = 5 $.

Вернемся к исходной переменной $ x $, решив уравнение: $ \sqrt{2x + 3} + \sqrt{x + 1} = 5 $. Это стандартное иррациональное уравнение. Уединим один из корней для последующего возведения в квадрат: $ \sqrt{2x + 3} = 5 - \sqrt{x + 1} $. Возведем обе части уравнения в квадрат: $ (\sqrt{2x + 3})^2 = (5 - \sqrt{x + 1})^2 $ $ 2x + 3 = 25 - 10\sqrt{x + 1} + (x + 1) $ $ 2x + 3 = 26 + x - 10\sqrt{x + 1} $ Снова уединим оставшийся корень: $ 2x - x + 3 - 26 = -10\sqrt{x + 1} $ $ x - 23 = -10\sqrt{x + 1} $.

Прежде чем снова возводить в квадрат, заметим, что правая часть $ -10\sqrt{x + 1} \le 0 $, значит, для существования решения необходимо, чтобы и левая часть была не больше нуля: $ x - 23 \le 0 $, то есть $ x \le 23 $. Возведем обе части последнего уравнения в квадрат: $ (x - 23)^2 = (-10\sqrt{x + 1})^2 $ $ x^2 - 46x + 529 = 100(x + 1) $ $ x^2 - 46x + 529 = 100x + 100 $ $ x^2 - 146x + 429 = 0 $.

Решим полученное квадратное уравнение. Вычислим дискриминант: $ D = (-146)^2 - 4 \cdot 1 \cdot 429 = 21316 - 1716 = 19600 = 140^2 $. Найдем корни: $ x_1 = \frac{146 - 140}{2} = \frac{6}{2} = 3 $ $ x_2 = \frac{146 + 140}{2} = \frac{286}{2} = 143 $.

Теперь необходимо проверить найденные корни на соответствие ОДЗ ($ x \ge -1 $) и дополнительному условию ($ x \le 23 $). Корень $ x_1 = 3 $ удовлетворяет обоим условиям: $ 3 \ge -1 $ и $ 3 \le 23 $. Корень $ x_2 = 143 $ не удовлетворяет условию $ x \le 23 $. Следовательно, $ x_2 = 143 $ — посторонний корень. Таким образом, уравнение имеет единственный корень $ x = 3 $.

22.14. Ответ: 3

Помогло решение? Оставьте отзыв в комментариях ниже.

Присоединяйтесь к Телеграм-группе @gdz_by_belarus

Присоединиться

Мы подготовили для вас ответ c подробным объяснением домашего задания по алгебре за 10 класс, для упражнения номер 22.14 расположенного на странице 110 к сборнику задач 2020 года издания для учащихся школ и гимназий.

Теперь на нашем сайте ГДЗ.ТОП вы всегда легко и бесплатно найдёте условие с правильным ответом на вопрос «Как решить ДЗ» и «Как сделать» задание по алгебре к упражнению №22.14 (с. 110), авторов: Арефьева (Ирина Глебовна), Пирютко (Ольга Николаевна), базовый и повышенный уровень обучения учебного пособия издательства Народная асвета.