Номер 14, страница 43 - гдз по алгебре 11 класс сборник задач Арефьева, Пирютко
Авторы: Арефьева И. Г., Пирютко О. Н.
Тип: Сборник задач
Издательство: Народная асвета
Год издания: 2020 - 2025
Уровень обучения: базовый и повышенный
Цвет обложки: белый с графиком
Допущено Министерством образования Республики Беларусь
Популярные ГДЗ в 11 классе
Глава 2. Показательная функция. Параграф 6. Показательные неравенства - номер 14, страница 43.
№14 (с. 43)
Условие. №14 (с. 43)
скриншот условия
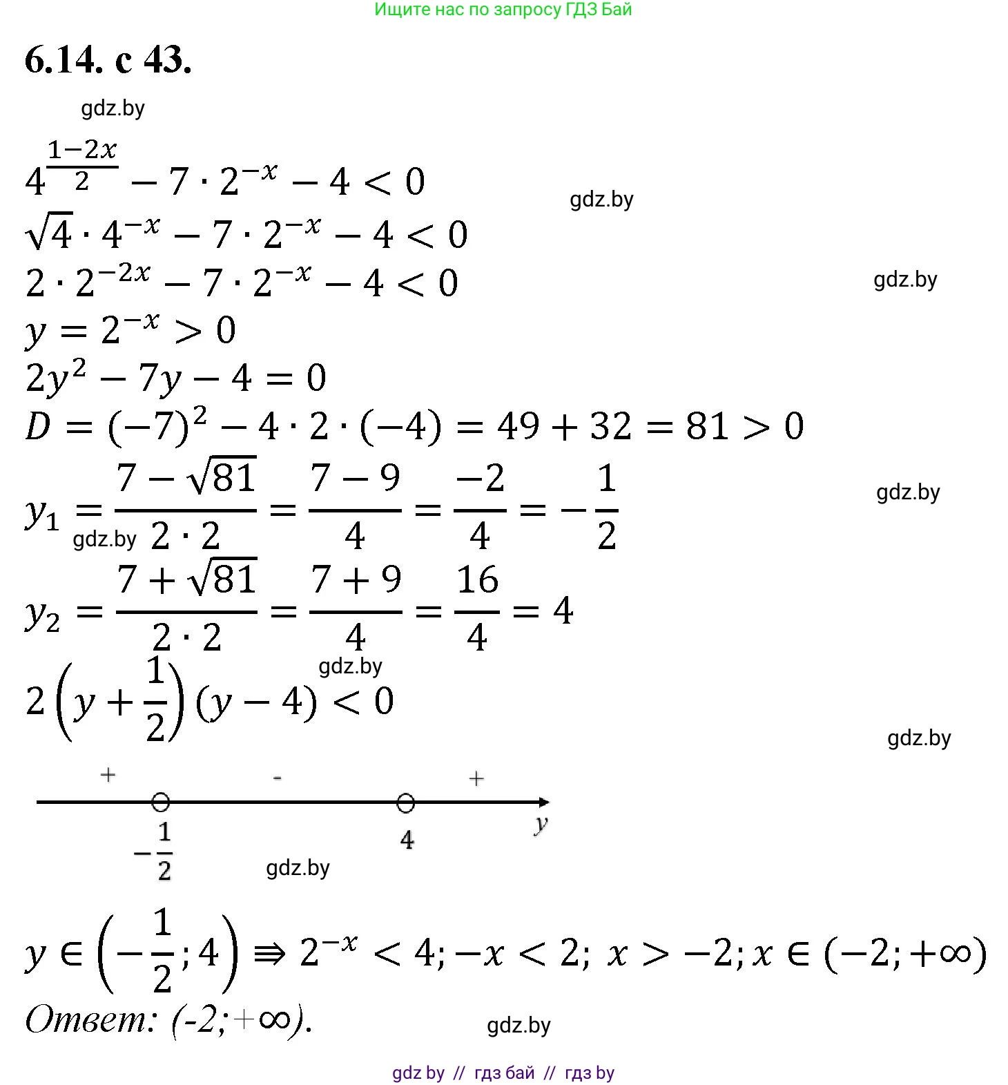
6.14. Решите неравенство $4^{\frac{1-2x}{2}} - 7 \cdot 2^{-x} - 4 < 0$.
Решение. №14 (с. 43)
Решение 2. №14 (с. 43)
Решим показательное неравенство:
$$4^{\frac{1-2x}{2}} - 7 \cdot 2^{-x} - 4 < 0$$
Сначала преобразуем первый член неравенства, используя свойство степеней $(a^m)^n = a^{mn}$ и то, что $4 = 2^2$:
$$4^{\frac{1-2x}{2}} = (2^2)^{\frac{1-2x}{2}} = 2^{2 \cdot \frac{1-2x}{2}} = 2^{1-2x}$$
Далее используем свойство $a^{m-n} = a^m \cdot a^{-n}$:
$$2^{1-2x} = 2^1 \cdot 2^{-2x} = 2 \cdot (2^{-x})^2$$
Теперь подставим полученное выражение обратно в исходное неравенство:
$$2 \cdot (2^{-x})^2 - 7 \cdot 2^{-x} - 4 < 0$$
Это неравенство является квадратным относительно $2^{-x}$. Для упрощения введем замену переменной. Пусть $y = 2^{-x}$. Так как показательная функция принимает только положительные значения, то $y > 0$.
После замены неравенство примет вид:
$$2y^2 - 7y - 4 < 0$$
Для решения этого квадратного неравенства найдем корни соответствующего уравнения $2y^2 - 7y - 4 = 0$ с помощью дискриминанта.
$$D = b^2 - 4ac = (-7)^2 - 4 \cdot 2 \cdot (-4) = 49 + 32 = 81$$
Корни уравнения:
$$y_1 = \frac{-b - \sqrt{D}}{2a} = \frac{7 - \sqrt{81}}{2 \cdot 2} = \frac{7 - 9}{4} = -\frac{2}{4} = -\frac{1}{2}$$
$$y_2 = \frac{-b + \sqrt{D}}{2a} = \frac{7 + \sqrt{81}}{2 \cdot 2} = \frac{7 + 9}{4} = \frac{16}{4} = 4$$
Парабола $f(y) = 2y^2 - 7y - 4$ имеет ветви, направленные вверх (т.к. коэффициент при $y^2$ положителен), поэтому неравенство $2y^2 - 7y - 4 < 0$ выполняется на интервале между корнями:
$$-\frac{1}{2} < y < 4$$
Теперь вернемся к исходной переменной $x$. Мы должны учесть условие $y > 0$. Объединяя два условия для $y$, получаем:
$$0 < y < 4$$
Подставим обратно $y = 2^{-x}$:
$$0 < 2^{-x} < 4$$
Это двойное неравенство эквивалентно системе из двух неравенств:
- $2^{-x} > 0$
- $2^{-x} < 4$
Первое неравенство, $2^{-x} > 0$, выполняется для любого действительного числа $x$, так как показательная функция всегда положительна.
Решим второе неравенство. Представим число 4 в виде степени с основанием 2: $4 = 2^2$.
$$2^{-x} < 2^2$$
Так как основание степени $2 > 1$, показательная функция является возрастающей. Это означает, что при сравнении показателей знак неравенства сохраняется:
$$-x < 2$$
Умножим обе части неравенства на -1 и изменим знак на противоположный:
$$x > -2$$
Таким образом, решением исходного неравенства является интервал $(-2; +\infty)$.
Ответ: $x \in (-2; +\infty)$.
Другие задания:
Помогло решение? Оставьте отзыв в комментариях ниже.
Присоединяйтесь к Телеграм-группе @gdz_by_belarus
ПрисоединитьсяМы подготовили для вас ответ c подробным объяснением домашего задания по алгебре за 11 класс, для упражнения номер 14 расположенного на странице 43 к сборнику задач 2020 года издания для учащихся школ и гимназий.
Теперь на нашем сайте ГДЗ.ТОП вы всегда легко и бесплатно найдёте условие с правильным ответом на вопрос «Как решить ДЗ» и «Как сделать» задание по алгебре к упражнению №14 (с. 43), авторов: Арефьева (Ирина Глебовна), Пирютко (Ольга Николаевна), базовый и повышенный уровень обучения учебного пособия издательства Народная асвета.