Номер 22, страница 54 - гдз по алгебре 11 класс сборник задач Арефьева, Пирютко
Авторы: Арефьева И. Г., Пирютко О. Н.
Тип: Сборник задач
Издательство: Народная асвета
Год издания: 2020 - 2025
Уровень обучения: базовый и повышенный
Цвет обложки: белый с графиком
Допущено Министерством образования Республики Беларусь
Популярные ГДЗ в 11 классе
Глава 3. Логарифмическая функция. Параграф 7. Свойства логарифмов - номер 22, страница 54.
№22 (с. 54)
Условие. №22 (с. 54)
скриншот условия
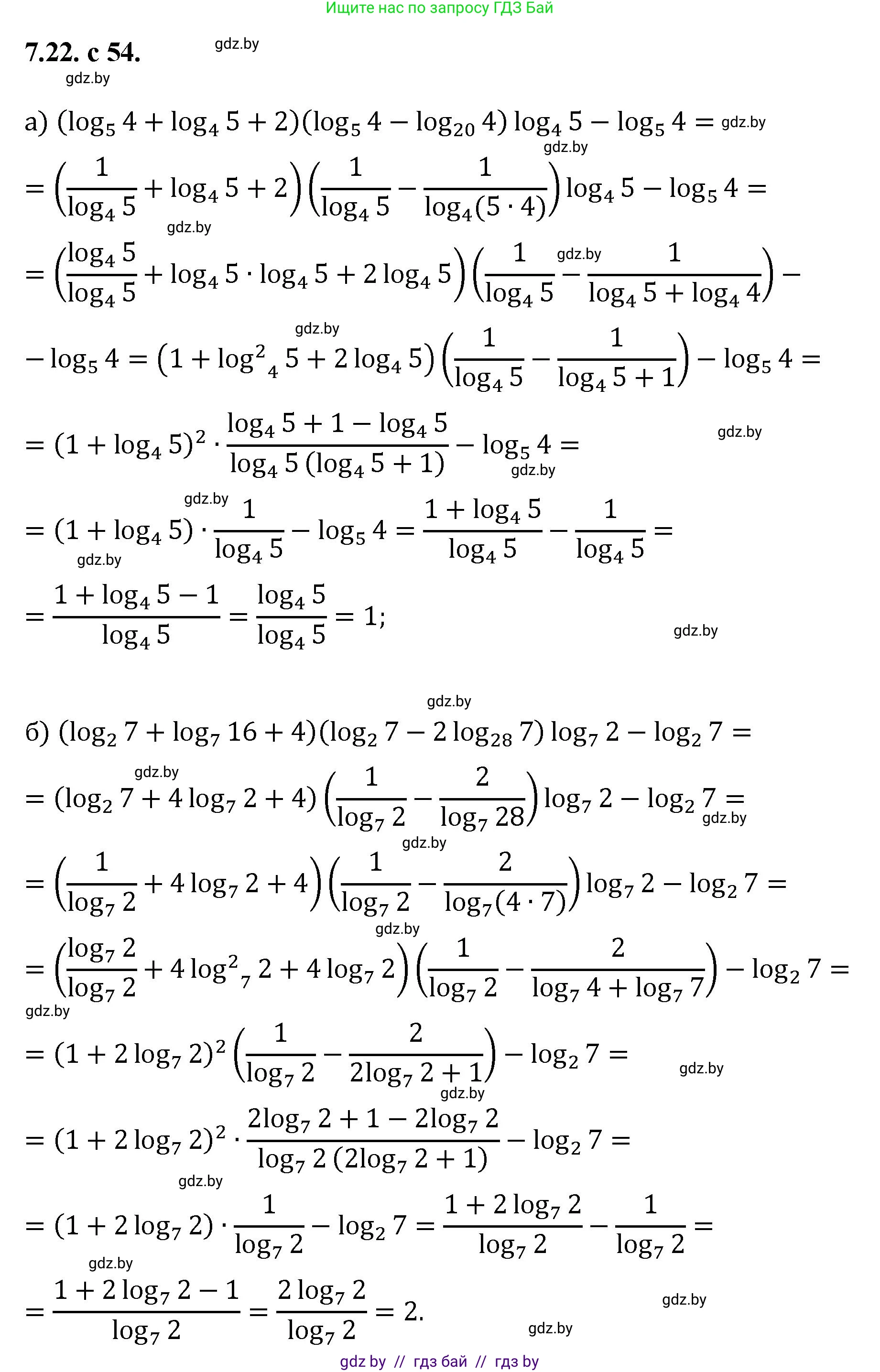
7.22. Вычислите:
a) $(\log_5 4 + \log_4 5 + 2)(\log_5 4 - \log_{20} 4)\log_4 5 - \log_5 4;$
б) $(\log_2 7 + \log_7 16 + 4)(\log_2 7 - 2\log_{28} 7)\log_7 2 - \log_2 7.$
Решение. №22 (с. 54)
Решение 2. №22 (с. 54)
а) Вычислим значение выражения $(\log_5 4 + \log_4 5 + 2)(\log_5 4 - \log_{20} 4)\log_4 5 - \log_5 4$ по шагам.
- Преобразуем первую скобку $(\log_5 4 + \log_4 5 + 2)$. Используем свойство логарифма $\log_b a = \frac{1}{\log_a b}$ и представим $2$ как $2\log_5 5 = \log_5 25$.
$\log_5 4 + \frac{1}{\log_5 4} + 2 = \frac{(\log_5 4)^2 + 1 + 2\log_5 4}{\log_5 4} = \frac{(\log_5 4 + 1)^2}{\log_5 4}$.
Преобразуем выражение в числителе: $\log_5 4 + 1 = \log_5 4 + \log_5 5 = \log_5 (4 \cdot 5) = \log_5 20$.
Таким образом, первая скобка равна: $\frac{(\log_5 20)^2}{\log_5 4}$. - Преобразуем вторую скобку $(\log_5 4 - \log_{20} 4)$. Используем формулу перехода к новому основанию $\log_b a = \frac{\log_c a}{\log_c b}$:
$\log_5 4 - \frac{\log_5 4}{\log_5 20} = \log_5 4 \left(1 - \frac{1}{\log_5 20}\right) = \log_5 4 \left(\frac{\log_5 20 - 1}{\log_5 20}\right)$.
Преобразуем числитель дроби в скобках: $\log_5 20 - 1 = \log_5 20 - \log_5 5 = \log_5\left(\frac{20}{5}\right) = \log_5 4$.
Таким образом, вторая скобка равна: $\log_5 4 \cdot \frac{\log_5 4}{\log_5 20} = \frac{(\log_5 4)^2}{\log_5 20}$. - Подставим преобразованные скобки в исходное выражение:
$\left(\frac{(\log_5 20)^2}{\log_5 4}\right) \cdot \left(\frac{(\log_5 4)^2}{\log_5 20}\right) \cdot \log_4 5 - \log_5 4$. - Сократим дроби:
$(\log_5 20 \cdot \log_5 4) \cdot \log_4 5 - \log_5 4$. - Заменим $\log_4 5 = \frac{1}{\log_5 4}$:
$(\log_5 20 \cdot \log_5 4) \cdot \frac{1}{\log_5 4} - \log_5 4 = \log_5 20 - \log_5 4$. - Используем свойство разности логарифмов $\log_a b - \log_a c = \log_a\left(\frac{b}{c}\right)$:
$\log_5\left(\frac{20}{4}\right) = \log_5 5 = 1$.
Ответ: 1
б) Вычислим значение выражения $(\log_2 7 + \log_7 16 + 4)(\log_2 7 - 2\log_{28} 7)\log_7 2 - \log_2 7$ по шагам.
- Преобразуем первую скобку $(\log_2 7 + \log_7 16 + 4)$. Используем свойства логарифмов $\log_a(b^c) = c\log_a b$ и $\log_b a = \frac{1}{\log_a b}$:
$\log_2 7 + \log_7(2^4) + 4 = \log_2 7 + 4\log_7 2 + 4 = \log_2 7 + \frac{4}{\log_2 7} + 4$.
Приведем к общему знаменателю:
$\frac{(\log_2 7)^2 + 4 + 4\log_2 7}{\log_2 7} = \frac{(\log_2 7 + 2)^2}{\log_2 7}$.
Преобразуем выражение в числителе: $\log_2 7 + 2 = \log_2 7 + \log_2(2^2) = \log_2 7 + \log_2 4 = \log_2(7 \cdot 4) = \log_2 28$.
Таким образом, первая скобка равна: $\frac{(\log_2 28)^2}{\log_2 7}$. - Преобразуем вторую скобку $(\log_2 7 - 2\log_{28} 7)$. Используем формулу перехода к новому основанию:
$\log_2 7 - 2\frac{\log_2 7}{\log_2 28} = \log_2 7 \left(1 - \frac{2}{\log_2 28}\right) = \log_2 7 \left(\frac{\log_2 28 - 2}{\log_2 28}\right)$.
Преобразуем числитель дроби в скобках: $\log_2 28 - 2 = \log_2 28 - \log_2 4 = \log_2\left(\frac{28}{4}\right) = \log_2 7$.
Таким образом, вторая скобка равна: $\log_2 7 \cdot \frac{\log_2 7}{\log_2 28} = \frac{(\log_2 7)^2}{\log_2 28}$. - Подставим преобразованные скобки в исходное выражение:
$\left(\frac{(\log_2 28)^2}{\log_2 7}\right) \cdot \left(\frac{(\log_2 7)^2}{\log_2 28}\right) \cdot \log_7 2 - \log_2 7$. - Сократим дроби:
$(\log_2 28 \cdot \log_2 7) \cdot \log_7 2 - \log_2 7$. - Заменим $\log_7 2 = \frac{1}{\log_2 7}$:
$(\log_2 28 \cdot \log_2 7) \cdot \frac{1}{\log_2 7} - \log_2 7 = \log_2 28 - \log_2 7$. - Используем свойство разности логарифмов:
$\log_2\left(\frac{28}{7}\right) = \log_2 4 = \log_2(2^2) = 2$.
Ответ: 2
Другие задания:
Помогло решение? Оставьте отзыв в комментариях ниже.
Присоединяйтесь к Телеграм-группе @gdz_by_belarus
ПрисоединитьсяМы подготовили для вас ответ c подробным объяснением домашего задания по алгебре за 11 класс, для упражнения номер 22 расположенного на странице 54 к сборнику задач 2020 года издания для учащихся школ и гимназий.
Теперь на нашем сайте ГДЗ.ТОП вы всегда легко и бесплатно найдёте условие с правильным ответом на вопрос «Как решить ДЗ» и «Как сделать» задание по алгебре к упражнению №22 (с. 54), авторов: Арефьева (Ирина Глебовна), Пирютко (Ольга Николаевна), базовый и повышенный уровень обучения учебного пособия издательства Народная асвета.