Номер 25.17, страница 121 - гдз по алгебре 7-9 класс сборник задач Арефьева, Пирютко

Алгебра, 7-9 класс Сборник задач, авторы: Арефьева Ирина Глебовна, Пирютко Ольга Николаевна, издательство Народная асвета, Минск, 2020

Авторы: Арефьева И. Г., Пирютко О. Н.

Тип: Сборник задач

Издательство: Народная асвета

Год издания: 2020 - 2025

Цвет обложки: синий с графиками

Допущено Министерством образования Республики Беларусь

Популярные ГДЗ в 7 классе

8 класс. Параграф 25. Квадратные уравнения. Решение неполных квадратных уравнений. Формулы корней квадратного уравнения. Решение текстовых задач с помощью квадратных уравнений - номер 25.17, страница 121.

№25.17 (с. 121)
Условие. №25.17 (с. 121)
скриншот условия
Алгебра, 7-9 класс Сборник задач, авторы: Арефьева Ирина Глебовна, Пирютко Ольга Николаевна, издательство Народная асвета, Минск, 2020, страница 121, номер 25.17, Условие

25.17. Решите уравнение:

а) $4x(x-1)=3$;

В) $x(x-7)=8-5x$;

б) $3x(3x-4)=5$;

Г) $8x(1-2x)=1$.

Решение. №25.17 (с. 121)
Алгебра, 7-9 класс Сборник задач, авторы: Арефьева Ирина Глебовна, Пирютко Ольга Николаевна, издательство Народная асвета, Минск, 2020, страница 121, номер 25.17, Решение Алгебра, 7-9 класс Сборник задач, авторы: Арефьева Ирина Глебовна, Пирютко Ольга Николаевна, издательство Народная асвета, Минск, 2020, страница 121, номер 25.17, Решение (продолжение 2) Алгебра, 7-9 класс Сборник задач, авторы: Арефьева Ирина Глебовна, Пирютко Ольга Николаевна, издательство Народная асвета, Минск, 2020, страница 121, номер 25.17, Решение (продолжение 3)
Решение 2. №25.17 (с. 121)

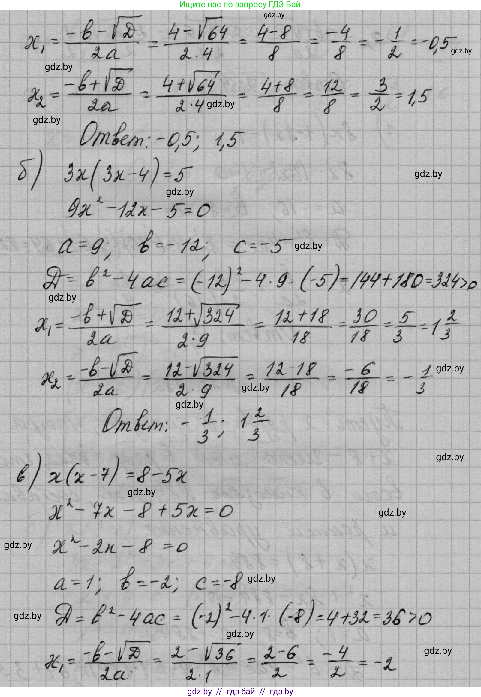
а) Дано уравнение $4x(x - 1) = 3$.
Сначала раскроем скобки в левой части уравнения:
$4x \cdot x - 4x \cdot 1 = 3$
$4x^2 - 4x = 3$
Перенесем все члены уравнения в левую часть, чтобы получить стандартное квадратное уравнение вида $ax^2 + bx + c = 0$:
$4x^2 - 4x - 3 = 0$
Теперь решим полученное квадратное уравнение. Найдем дискриминант $D$ по формуле $D = b^2 - 4ac$, где $a=4$, $b=-4$, $c=-3$.
$D = (-4)^2 - 4 \cdot 4 \cdot (-3) = 16 + 48 = 64$
Поскольку $D > 0$, уравнение имеет два различных действительных корня. Найдем их по формуле $x_{1,2} = \frac{-b \pm \sqrt{D}}{2a}$:
$x_1 = \frac{-(-4) + \sqrt{64}}{2 \cdot 4} = \frac{4 + 8}{8} = \frac{12}{8} = \frac{3}{2} = 1,5$
$x_2 = \frac{-(-4) - \sqrt{64}}{2 \cdot 4} = \frac{4 - 8}{8} = \frac{-4}{8} = -\frac{1}{2} = -0,5$
Ответ: $x_1 = 1,5; x_2 = -0,5$.

б) Дано уравнение $3x(3x - 4) = 5$.
Раскроем скобки в левой части:
$3x \cdot 3x - 3x \cdot 4 = 5$
$9x^2 - 12x = 5$
Перенесем все в левую часть, чтобы получить стандартное квадратное уравнение:
$9x^2 - 12x - 5 = 0$
Решим уравнение через дискриминант. Коэффициенты: $a=9$, $b=-12$, $c=-5$.
$D = b^2 - 4ac = (-12)^2 - 4 \cdot 9 \cdot (-5) = 144 + 180 = 324$
Так как $D > 0$, уравнение имеет два корня. $\sqrt{D} = \sqrt{324} = 18$.
$x_1 = \frac{-(-12) + 18}{2 \cdot 9} = \frac{12 + 18}{18} = \frac{30}{18} = \frac{5}{3}$
$x_2 = \frac{-(-12) - 18}{2 \cdot 9} = \frac{12 - 18}{18} = \frac{-6}{18} = -\frac{1}{3}$
Ответ: $x_1 = \frac{5}{3}; x_2 = -\frac{1}{3}$.

в) Дано уравнение $x(x - 7) = 8 - 5x$.
Раскроем скобки в левой части:
$x^2 - 7x = 8 - 5x$
Перенесем все члены уравнения в левую часть и приведем подобные слагаемые:
$x^2 - 7x + 5x - 8 = 0$
$x^2 - 2x - 8 = 0$
Это приведенное квадратное уравнение. Решим его с помощью дискриминанта, где $a=1$, $b=-2$, $c=-8$.
$D = b^2 - 4ac = (-2)^2 - 4 \cdot 1 \cdot (-8) = 4 + 32 = 36$
Так как $D > 0$, уравнение имеет два корня. $\sqrt{D} = \sqrt{36} = 6$.
$x_1 = \frac{-(-2) + 6}{2 \cdot 1} = \frac{2 + 6}{2} = \frac{8}{2} = 4$
$x_2 = \frac{-(-2) - 6}{2 \cdot 1} = \frac{2 - 6}{2} = \frac{-4}{2} = -2$
Ответ: $x_1 = 4; x_2 = -2$.

г) Дано уравнение $8x(1 - 2x) = 1$.
Раскроем скобки:
$8x - 16x^2 = 1$
Перенесем все члены в правую часть и запишем уравнение в стандартном виде:
$0 = 16x^2 - 8x + 1$
$16x^2 - 8x + 1 = 0$
Можно заметить, что левая часть уравнения представляет собой полный квадрат разности: $(a-b)^2 = a^2 - 2ab + b^2$.
В нашем случае $a^2 = 16x^2 \implies a=4x$, и $b^2 = 1 \implies b=1$. Проверим средний член: $2ab = 2 \cdot 4x \cdot 1 = 8x$.
Следовательно, уравнение можно записать как:
$(4x - 1)^2 = 0$
Это уравнение имеет одно решение (корень кратности 2):
$4x - 1 = 0$
$4x = 1$
$x = \frac{1}{4}$
Ответ: $x = \frac{1}{4}$.

Помогло решение? Оставьте отзыв в комментариях ниже.

Присоединяйтесь к Телеграм-группе @gdz_by_belarus

Присоединиться

Мы подготовили для вас ответ c подробным объяснением домашего задания по алгебре за 7-9 класс, для упражнения номер 25.17 расположенного на странице 121 к сборнику задач 2020 года издания для учащихся школ и гимназий.

Теперь на нашем сайте ГДЗ.ТОП вы всегда легко и бесплатно найдёте условие с правильным ответом на вопрос «Как решить ДЗ» и «Как сделать» задание по алгебре к упражнению №25.17 (с. 121), авторов: Арефьева (Ирина Глебовна), Пирютко (Ольга Николаевна), учебного пособия издательства Народная асвета.