Номер 25.11, страница 120 - гдз по алгебре 7-9 класс сборник задач Арефьева, Пирютко

Алгебра, 7-9 класс Сборник задач, авторы: Арефьева Ирина Глебовна, Пирютко Ольга Николаевна, издательство Народная асвета, Минск, 2020

Авторы: Арефьева И. Г., Пирютко О. Н.

Тип: Сборник задач

Издательство: Народная асвета

Год издания: 2020 - 2025

Цвет обложки: синий с графиками

Допущено Министерством образования Республики Беларусь

Популярные ГДЗ в 7 классе

8 класс. Параграф 25. Квадратные уравнения. Решение неполных квадратных уравнений. Формулы корней квадратного уравнения. Решение текстовых задач с помощью квадратных уравнений - номер 25.11, страница 120.

№25.11 (с. 120)
Условие. №25.11 (с. 120)
скриншот условия
Алгебра, 7-9 класс Сборник задач, авторы: Арефьева Ирина Глебовна, Пирютко Ольга Николаевна, издательство Народная асвета, Минск, 2020, страница 120, номер 25.11, Условие Алгебра, 7-9 класс Сборник задач, авторы: Арефьева Ирина Глебовна, Пирютко Ольга Николаевна, издательство Народная асвета, Минск, 2020, страница 120, номер 25.11, Условие (продолжение 2)

25.11. Решите уравнение:

а) $\frac{1}{3}x^2 = 12;$

б) $\frac{x^2}{9}-5x = 0;$

в) $\frac{x^2-1}{3} = 5;$

г) $\frac{x}{5} = 2x^2;$

д) $\frac{x^2-9x+21}{3} = 7;$

е) $\frac{x^2+10x}{5}-1 = 2x.$

Решение. №25.11 (с. 120)
Алгебра, 7-9 класс Сборник задач, авторы: Арефьева Ирина Глебовна, Пирютко Ольга Николаевна, издательство Народная асвета, Минск, 2020, страница 120, номер 25.11, Решение Алгебра, 7-9 класс Сборник задач, авторы: Арефьева Ирина Глебовна, Пирютко Ольга Николаевна, издательство Народная асвета, Минск, 2020, страница 120, номер 25.11, Решение (продолжение 2) Алгебра, 7-9 класс Сборник задач, авторы: Арефьева Ирина Глебовна, Пирютко Ольга Николаевна, издательство Народная асвета, Минск, 2020, страница 120, номер 25.11, Решение (продолжение 3) Алгебра, 7-9 класс Сборник задач, авторы: Арефьева Ирина Глебовна, Пирютко Ольга Николаевна, издательство Народная асвета, Минск, 2020, страница 120, номер 25.11, Решение (продолжение 4)
Решение 2. №25.11 (с. 120)

а) $\frac{1}{3}x^2 = 12$

Для решения данного уравнения сначала избавимся от дробного коэффициента. Умножим обе части уравнения на 3:

$3 \cdot \frac{1}{3}x^2 = 12 \cdot 3$

$x^2 = 36$

Теперь извлечем квадратный корень из обеих частей уравнения. Важно помнить, что у числа есть два квадратных корня: положительный и отрицательный.

$x = \pm\sqrt{36}$

Следовательно, у уравнения два корня:

$x_1 = 6$

$x_2 = -6$

Ответ: $-6; 6$.

б) $\frac{x^2}{9} - 5x = 0$

Это неполное квадратное уравнение. Для его решения вынесем общий множитель $x$ за скобки:

$x(\frac{x}{9} - 5) = 0$

Произведение равно нулю тогда и только тогда, когда хотя бы один из множителей равен нулю. Таким образом, получаем два случая:

1) $x = 0$

2) $\frac{x}{9} - 5 = 0$

Решим второе уравнение:

$\frac{x}{9} = 5$

Умножим обе части на 9:

$x = 5 \cdot 9$

$x = 45$

Уравнение имеет два корня.

Ответ: $0; 45$.

в) $\frac{x^2 - 1}{3} = 5$

Сначала умножим обе части уравнения на 3, чтобы избавиться от знаменателя:

$3 \cdot \frac{x^2 - 1}{3} = 5 \cdot 3$

$x^2 - 1 = 15$

Теперь перенесем -1 в правую часть уравнения, изменив знак на противоположный:

$x^2 = 15 + 1$

$x^2 = 16$

Извлечем квадратный корень из обеих частей:

$x = \pm\sqrt{16}$

Уравнение имеет два корня:

$x_1 = 4$

$x_2 = -4$

Ответ: $-4; 4$.

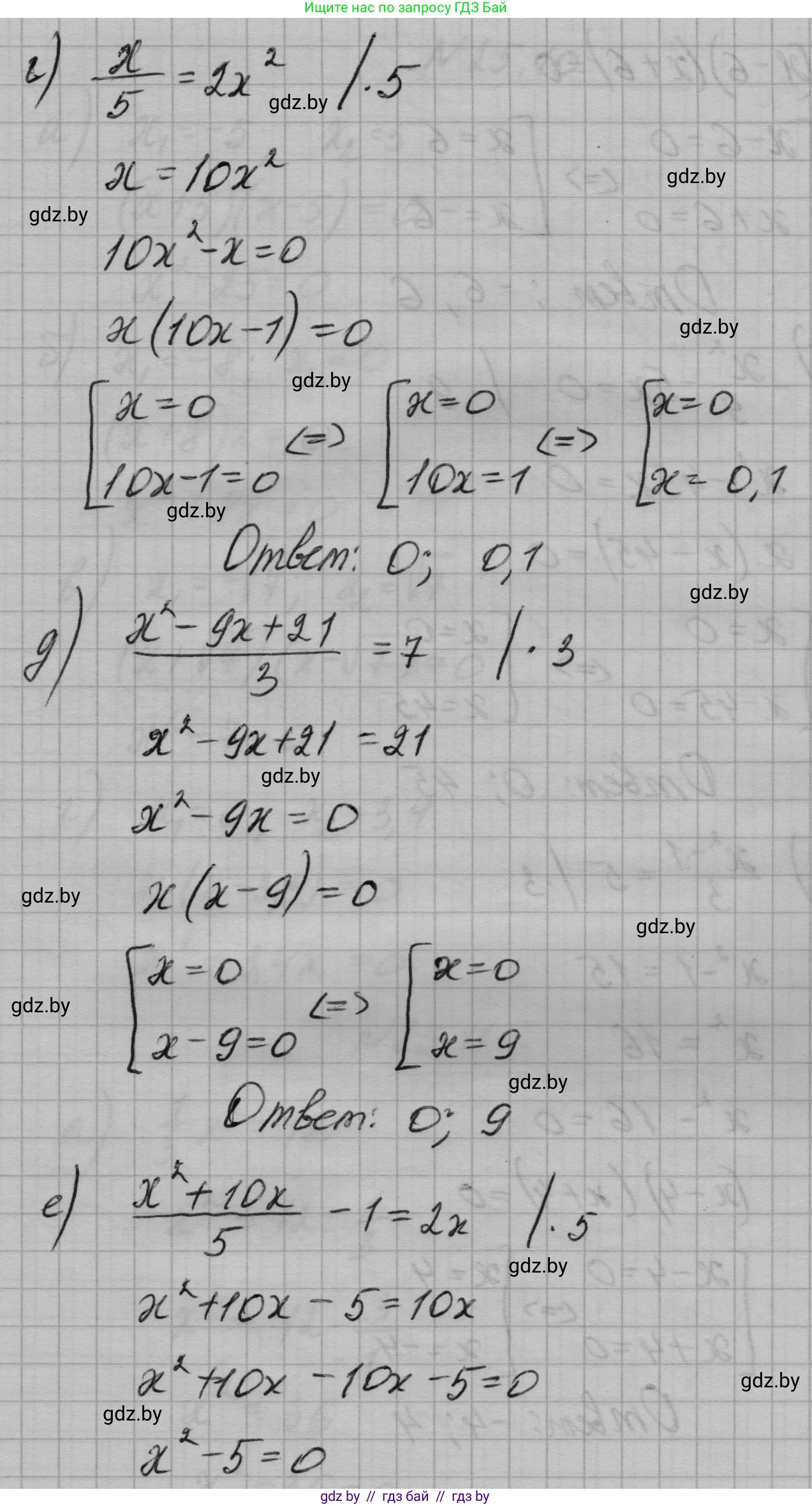
г) $\frac{x}{5} = 2x^2$

Перенесем все члены уравнения в одну сторону, чтобы получить уравнение, равное нулю:

$2x^2 - \frac{x}{5} = 0$

Это неполное квадратное уравнение. Вынесем общий множитель $x$ за скобки:

$x(2x - \frac{1}{5}) = 0$

Произведение равно нулю, если один из множителей равен нулю:

1) $x = 0$

2) $2x - \frac{1}{5} = 0$

Решим второе уравнение:

$2x = \frac{1}{5}$

Разделим обе части на 2:

$x = \frac{1}{5 \cdot 2} = \frac{1}{10}$

Получаем два корня.

Ответ: $0; \frac{1}{10}$.

д) $\frac{x^2 - 9x + 21}{3} = 7$

Умножим обе части уравнения на 3:

$x^2 - 9x + 21 = 7 \cdot 3$

$x^2 - 9x + 21 = 21$

Вычтем 21 из обеих частей уравнения:

$x^2 - 9x = 0$

Мы получили неполное квадратное уравнение. Вынесем $x$ за скобки:

$x(x - 9) = 0$

Приравняем каждый множитель к нулю:

1) $x = 0$

2) $x - 9 = 0 \implies x = 9$

Уравнение имеет два корня.

Ответ: $0; 9$.

е) $\frac{x^2 + 10x}{5} - 1 = 2x$

Для начала избавимся от дроби, умножив все члены уравнения на 5:

$5 \cdot \frac{x^2 + 10x}{5} - 5 \cdot 1 = 5 \cdot 2x$

$x^2 + 10x - 5 = 10x$

Теперь соберем все члены в левой части уравнения:

$x^2 + 10x - 10x - 5 = 0$

Упростим выражение, сократив $10x$ и $-10x$:

$x^2 - 5 = 0$

Перенесем -5 в правую часть:

$x^2 = 5$

Извлечем квадратный корень из обеих частей:

$x = \pm\sqrt{5}$

Уравнение имеет два иррациональных корня.

Ответ: $-\sqrt{5}; \sqrt{5}$.

Помогло решение? Оставьте отзыв в комментариях ниже.

Присоединяйтесь к Телеграм-группе @gdz_by_belarus

Присоединиться

Мы подготовили для вас ответ c подробным объяснением домашего задания по алгебре за 7-9 класс, для упражнения номер 25.11 расположенного на странице 120 к сборнику задач 2020 года издания для учащихся школ и гимназий.

Теперь на нашем сайте ГДЗ.ТОП вы всегда легко и бесплатно найдёте условие с правильным ответом на вопрос «Как решить ДЗ» и «Как сделать» задание по алгебре к упражнению №25.11 (с. 120), авторов: Арефьева (Ирина Глебовна), Пирютко (Ольга Николаевна), учебного пособия издательства Народная асвета.