Номер 25.15, страница 121 - гдз по алгебре 7-9 класс сборник задач Арефьева, Пирютко
Авторы: Арефьева И. Г., Пирютко О. Н.
Тип: Сборник задач
Издательство: Народная асвета
Год издания: 2020 - 2025
Цвет обложки: синий с графиками
Допущено Министерством образования Республики Беларусь
Популярные ГДЗ в 7 классе
8 класс. Параграф 25. Квадратные уравнения. Решение неполных квадратных уравнений. Формулы корней квадратного уравнения. Решение текстовых задач с помощью квадратных уравнений - номер 25.15, страница 121.
№25.15 (с. 121)
Условие. №25.15 (с. 121)
скриншот условия
25.15. Найдите, при каких значениях переменной:
а) значение двучлена $x^2 + 3x$ равно 4;
б) значения двучленов $2x^2 + 7x$ и $4x + 2$ равны.
Решение. №25.15 (с. 121)
Решение 2. №25.15 (с. 121)
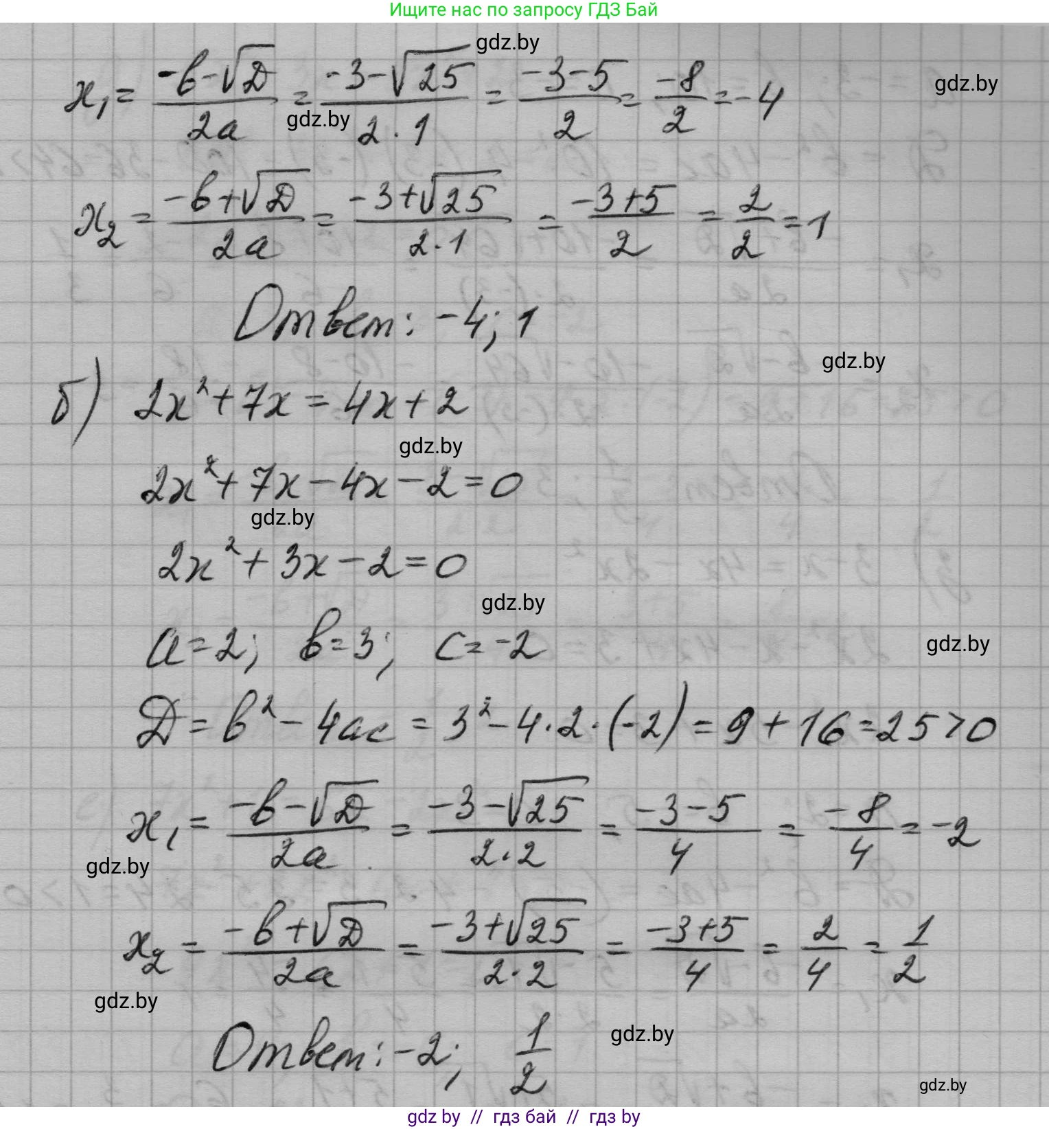
а) Чтобы найти значения переменной, при которых значение двучлена $x^2 + 3x$ равно 4, необходимо составить и решить уравнение:
$x^2 + 3x = 4$
Перенесем все слагаемые в левую часть, чтобы получить квадратное уравнение стандартного вида $ax^2 + bx + c = 0$:
$x^2 + 3x - 4 = 0$
Это квадратное уравнение с коэффициентами $a=1$, $b=3$, $c=-4$. Решим его, вычислив дискриминант по формуле $D = b^2 - 4ac$:
$D = 3^2 - 4 \cdot 1 \cdot (-4) = 9 + 16 = 25$
Так как $D > 0$, уравнение имеет два действительных корня. Найдем их по формуле $x_{1,2} = \frac{-b \pm \sqrt{D}}{2a}$:
$x_1 = \frac{-3 + \sqrt{25}}{2 \cdot 1} = \frac{-3 + 5}{2} = \frac{2}{2} = 1$
$x_2 = \frac{-3 - \sqrt{25}}{2 \cdot 1} = \frac{-3 - 5}{2} = \frac{-8}{2} = -4$
Ответ: $1; -4$.
б) Чтобы найти значения переменной, при которых значения двучленов $2x^2 + 7x$ и $4x + 2$ равны, приравняем их и решим полученное уравнение:
$2x^2 + 7x = 4x + 2$
Перенесем все слагаемые в левую часть и приведем подобные члены:
$2x^2 + 7x - 4x - 2 = 0$
$2x^2 + 3x - 2 = 0$
Получили квадратное уравнение с коэффициентами $a=2$, $b=3$, $c=-2$. Вычислим дискриминант:
$D = b^2 - 4ac = 3^2 - 4 \cdot 2 \cdot (-2) = 9 + 16 = 25$
Так как $D > 0$, уравнение имеет два действительных корня. Найдем их:
$x_1 = \frac{-3 + \sqrt{25}}{2 \cdot 2} = \frac{-3 + 5}{4} = \frac{2}{4} = \frac{1}{2}$
$x_2 = \frac{-3 - \sqrt{25}}{2 \cdot 2} = \frac{-3 - 5}{4} = \frac{-8}{4} = -2$
Ответ: $\frac{1}{2}; -2$.
Другие задания:
Помогло решение? Оставьте отзыв в комментариях ниже.
Присоединяйтесь к Телеграм-группе @gdz_by_belarus
ПрисоединитьсяМы подготовили для вас ответ c подробным объяснением домашего задания по алгебре за 7-9 класс, для упражнения номер 25.15 расположенного на странице 121 к сборнику задач 2020 года издания для учащихся школ и гимназий.
Теперь на нашем сайте ГДЗ.ТОП вы всегда легко и бесплатно найдёте условие с правильным ответом на вопрос «Как решить ДЗ» и «Как сделать» задание по алгебре к упражнению №25.15 (с. 121), авторов: Арефьева (Ирина Глебовна), Пирютко (Ольга Николаевна), учебного пособия издательства Народная асвета.