Номер 25.19, страница 121 - гдз по алгебре 7-9 класс сборник задач Арефьева, Пирютко

Алгебра, 7-9 класс Сборник задач, авторы: Арефьева Ирина Глебовна, Пирютко Ольга Николаевна, издательство Народная асвета, Минск, 2020

Авторы: Арефьева И. Г., Пирютко О. Н.

Тип: Сборник задач

Издательство: Народная асвета

Год издания: 2020 - 2025

Цвет обложки: синий с графиками

Допущено Министерством образования Республики Беларусь

Популярные ГДЗ в 7 классе

8 класс. Параграф 25. Квадратные уравнения. Решение неполных квадратных уравнений. Формулы корней квадратного уравнения. Решение текстовых задач с помощью квадратных уравнений - номер 25.19, страница 121.

№25.19 (с. 121)
Условие. №25.19 (с. 121)
скриншот условия
Алгебра, 7-9 класс Сборник задач, авторы: Арефьева Ирина Глебовна, Пирютко Ольга Николаевна, издательство Народная асвета, Минск, 2020, страница 121, номер 25.19, Условие Алгебра, 7-9 класс Сборник задач, авторы: Арефьева Ирина Глебовна, Пирютко Ольга Николаевна, издательство Народная асвета, Минск, 2020, страница 121, номер 25.19, Условие (продолжение 2)

25.19. Выполните необходимые тождественные преобразования и решите уравнение:

а) $x(x+2) = 2x + 2$;

б) $x(3-x) = 3x - 4$;

в) $x(5x+3) = x(x+3) + 32$;

г) $(7x-2)(x+1) = 5x + 19$;

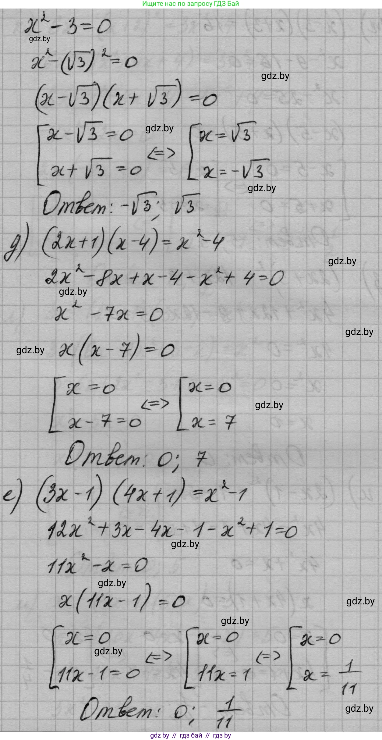
д) $(2x+1)(x-4) = x^2 - 4$;

е) $(3x-1)(4x+1) = x^2 - 1$;

ж) $(x-3)(x+3) = 16$;

з) $(2x+3)^2 = 12x + 9$;

и) $(2x-1)^2 = 1-5x$;

к) $6x - (x+2)^2 = 3x^2 - 4$;

л) $3 - (2x+1)(3-x) = x^2$;

м) $x^2 - (4x-1)(5-x) = 5$.

Решение. №25.19 (с. 121)
Алгебра, 7-9 класс Сборник задач, авторы: Арефьева Ирина Глебовна, Пирютко Ольга Николаевна, издательство Народная асвета, Минск, 2020, страница 121, номер 25.19, Решение Алгебра, 7-9 класс Сборник задач, авторы: Арефьева Ирина Глебовна, Пирютко Ольга Николаевна, издательство Народная асвета, Минск, 2020, страница 121, номер 25.19, Решение (продолжение 2) Алгебра, 7-9 класс Сборник задач, авторы: Арефьева Ирина Глебовна, Пирютко Ольга Николаевна, издательство Народная асвета, Минск, 2020, страница 121, номер 25.19, Решение (продолжение 3) Алгебра, 7-9 класс Сборник задач, авторы: Арефьева Ирина Глебовна, Пирютко Ольга Николаевна, издательство Народная асвета, Минск, 2020, страница 121, номер 25.19, Решение (продолжение 4) Алгебра, 7-9 класс Сборник задач, авторы: Арефьева Ирина Глебовна, Пирютко Ольга Николаевна, издательство Народная асвета, Минск, 2020, страница 121, номер 25.19, Решение (продолжение 5) Алгебра, 7-9 класс Сборник задач, авторы: Арефьева Ирина Глебовна, Пирютко Ольга Николаевна, издательство Народная асвета, Минск, 2020, страница 121, номер 25.19, Решение (продолжение 6)
Решение 2. №25.19 (с. 121)

а) $x(x + 2) = 2x + 2$

Раскроем скобки в левой части уравнения: $x^2 + 2x = 2x + 2$.

Вычтем $2x$ из обеих частей уравнения: $x^2 = 2$.

Извлечем квадратный корень, чтобы найти $x$: $x = \pm\sqrt{2}$.

Ответ: $x_1 = \sqrt{2}, x_2 = -\sqrt{2}$.

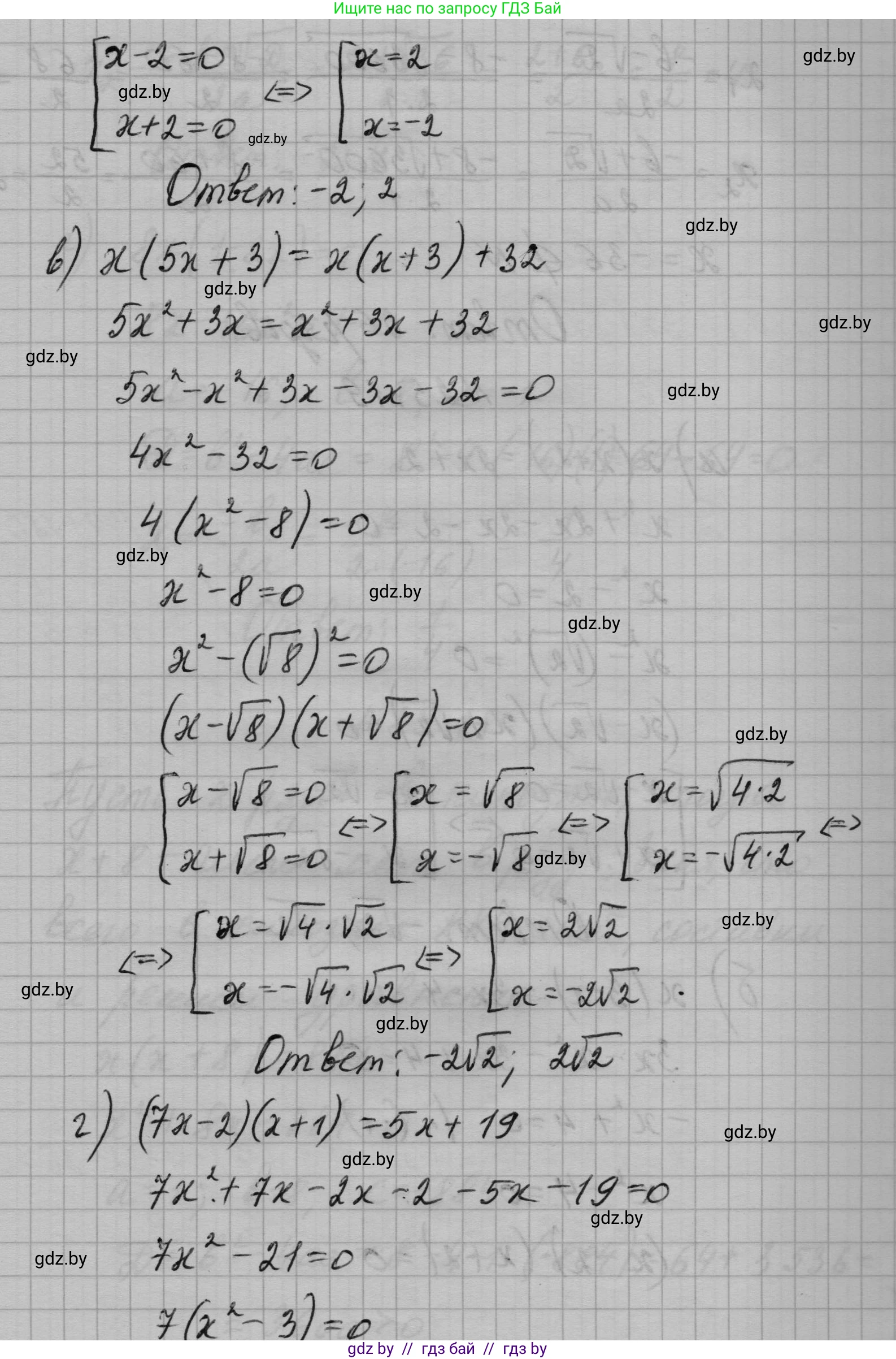
б) $x(3 - x) = 3x - 4$

Раскроем скобки в левой части: $3x - x^2 = 3x - 4$.

Вычтем $3x$ из обеих частей: $-x^2 = -4$.

Умножим обе части на $-1$: $x^2 = 4$.

Извлечем квадратный корень: $x = \pm2$.

Ответ: $x_1 = 2, x_2 = -2$.

в) $x(5x + 3) = x(x + 3) + 32$

Раскроем скобки в обеих частях уравнения: $5x^2 + 3x = x^2 + 3x + 32$.

Перенесем все слагаемые с $x$ в левую часть, а числа оставим в правой: $5x^2 - x^2 + 3x - 3x = 32$.

Упростим выражение: $4x^2 = 32$.

Разделим обе части на 4: $x^2 = 8$.

Извлечем квадратный корень: $x = \pm\sqrt{8} = \pm2\sqrt{2}$.

Ответ: $x_1 = 2\sqrt{2}, x_2 = -2\sqrt{2}$.

г) $(7x - 2)(x + 1) = 5x + 19$

Раскроем скобки в левой части: $7x^2 + 7x - 2x - 2 = 5x + 19$.

Приведем подобные слагаемые в левой части: $7x^2 + 5x - 2 = 5x + 19$.

Перенесем слагаемые: $7x^2 + 5x - 5x = 19 + 2$.

Упростим: $7x^2 = 21$.

Разделим обе части на 7: $x^2 = 3$.

Извлечем квадратный корень: $x = \pm\sqrt{3}$.

Ответ: $x_1 = \sqrt{3}, x_2 = -\sqrt{3}$.

д) $(2x + 1)(x - 4) = x^2 - 4$

Раскроем скобки в левой части: $2x^2 - 8x + x - 4 = x^2 - 4$.

Приведем подобные слагаемые: $2x^2 - 7x - 4 = x^2 - 4$.

Перенесем все члены в левую часть: $2x^2 - x^2 - 7x - 4 + 4 = 0$.

Упростим: $x^2 - 7x = 0$.

Вынесем $x$ за скобки: $x(x - 7) = 0$.

Произведение равно нулю, когда один из множителей равен нулю: $x = 0$ или $x - 7 = 0$.

Отсюда находим корни: $x_1 = 0$, $x_2 = 7$.

Ответ: $0; 7$.

е) $(3x - 1)(4x + 1) = x^2 - 1$

Раскроем скобки: $12x^2 + 3x - 4x - 1 = x^2 - 1$.

Упростим: $12x^2 - x - 1 = x^2 - 1$.

Перенесем все члены в левую часть: $12x^2 - x^2 - x - 1 + 1 = 0$.

Получим: $11x^2 - x = 0$.

Вынесем $x$ за скобки: $x(11x - 1) = 0$.

Находим корни: $x = 0$ или $11x - 1 = 0$.

$x_1 = 0$, $x_2 = \frac{1}{11}$.

Ответ: $0; \frac{1}{11}$.

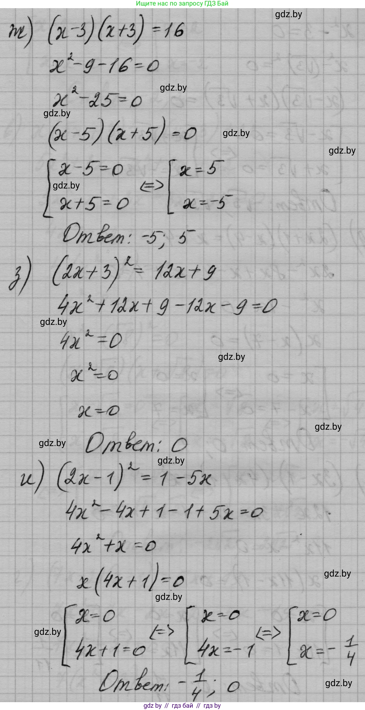
ж) $(x - 3)(x + 3) = 16$

Применим формулу разности квадратов: $x^2 - 3^2 = 16$.

Упростим: $x^2 - 9 = 16$.

Перенесем $-9$ в правую часть: $x^2 = 16 + 9$.

$x^2 = 25$.

Извлечем квадратный корень: $x = \pm5$.

Ответ: $\pm5$.

з) $(2x + 3)^2 = 12x + 9$

Применим формулу квадрата суммы: $(2x)^2 + 2 \cdot 2x \cdot 3 + 3^2 = 12x + 9$.

Упростим: $4x^2 + 12x + 9 = 12x + 9$.

Вычтем $12x + 9$ из обеих частей: $4x^2 = 0$.

Разделим на 4: $x^2 = 0$.

Находим корень: $x = 0$.

Ответ: $0$.

и) $(2x - 1)^2 = 1 - 5x$

Раскроем скобки по формуле квадрата разности: $4x^2 - 4x + 1 = 1 - 5x$.

Перенесем все члены в левую часть: $4x^2 - 4x + 5x + 1 - 1 = 0$.

Упростим: $4x^2 + x = 0$.

Вынесем $x$ за скобки: $x(4x + 1) = 0$.

Находим корни: $x = 0$ или $4x + 1 = 0$.

$x_1 = 0$, $x_2 = -\frac{1}{4}$.

Ответ: $0; -\frac{1}{4}$.

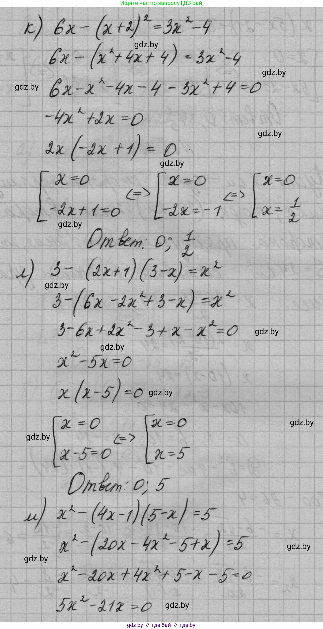
к) $6x - (x + 2)^2 = 3x^2 - 4$

Раскроем скобки: $6x - (x^2 + 4x + 4) = 3x^2 - 4$.

$6x - x^2 - 4x - 4 = 3x^2 - 4$.

Приведем подобные слагаемые в левой части: $-x^2 + 2x - 4 = 3x^2 - 4$.

Перенесем все члены в правую часть: $0 = 3x^2 + x^2 - 2x - 4 + 4$.

Упростим: $4x^2 - 2x = 0$.

Вынесем $2x$ за скобки: $2x(2x - 1) = 0$.

Находим корни: $2x = 0$ или $2x - 1 = 0$.

$x_1 = 0$, $x_2 = \frac{1}{2}$.

Ответ: $0; \frac{1}{2}$.

л) $3 - (2x + 1)(3 - x) = x^2$

Раскроем скобки произведения: $3 - (6x - 2x^2 + 3 - x) = x^2$.

Упростим выражение в скобках: $3 - (-2x^2 + 5x + 3) = x^2$.

Раскроем скобки: $3 + 2x^2 - 5x - 3 = x^2$.

Упростим левую часть: $2x^2 - 5x = x^2$.

Перенесем $x^2$ в левую часть: $2x^2 - x^2 - 5x = 0$.

$x^2 - 5x = 0$.

Вынесем $x$ за скобки: $x(x - 5) = 0$.

Находим корни: $x = 0$ или $x - 5 = 0$.

$x_1 = 0$, $x_2 = 5$.

Ответ: $0; 5$.

м) $x^2 - (4x - 1)(5 - x) = 5$

Раскроем скобки произведения: $x^2 - (20x - 4x^2 - 5 + x) = 5$.

Упростим выражение в скобках: $x^2 - (-4x^2 + 21x - 5) = 5$.

Раскроем скобки: $x^2 + 4x^2 - 21x + 5 = 5$.

Приведем подобные слагаемые: $5x^2 - 21x + 5 = 5$.

Вычтем 5 из обеих частей: $5x^2 - 21x = 0$.

Вынесем $x$ за скобки: $x(5x - 21) = 0$.

Находим корни: $x = 0$ или $5x - 21 = 0$.

$x_1 = 0$, $x_2 = \frac{21}{5}$.

Ответ: $0; \frac{21}{5}$.

Помогло решение? Оставьте отзыв в комментариях ниже.

Присоединяйтесь к Телеграм-группе @gdz_by_belarus

Присоединиться

Мы подготовили для вас ответ c подробным объяснением домашего задания по алгебре за 7-9 класс, для упражнения номер 25.19 расположенного на странице 121 к сборнику задач 2020 года издания для учащихся школ и гимназий.

Теперь на нашем сайте ГДЗ.ТОП вы всегда легко и бесплатно найдёте условие с правильным ответом на вопрос «Как решить ДЗ» и «Как сделать» задание по алгебре к упражнению №25.19 (с. 121), авторов: Арефьева (Ирина Глебовна), Пирютко (Ольга Николаевна), учебного пособия издательства Народная асвета.