Номер 25.9, страница 120 - гдз по алгебре 7-9 класс сборник задач Арефьева, Пирютко

Алгебра, 7-9 класс Сборник задач, авторы: Арефьева Ирина Глебовна, Пирютко Ольга Николаевна, издательство Народная асвета, Минск, 2020

Авторы: Арефьева И. Г., Пирютко О. Н.

Тип: Сборник задач

Издательство: Народная асвета

Год издания: 2020 - 2025

Цвет обложки: синий с графиками

Допущено Министерством образования Республики Беларусь

Популярные ГДЗ в 7 классе

8 класс. Параграф 25. Квадратные уравнения. Решение неполных квадратных уравнений. Формулы корней квадратного уравнения. Решение текстовых задач с помощью квадратных уравнений - номер 25.9, страница 120.

№25.9 (с. 120)
Условие. №25.9 (с. 120)
скриншот условия
Алгебра, 7-9 класс Сборник задач, авторы: Арефьева Ирина Глебовна, Пирютко Ольга Николаевна, издательство Народная асвета, Минск, 2020, страница 120, номер 25.9, Условие

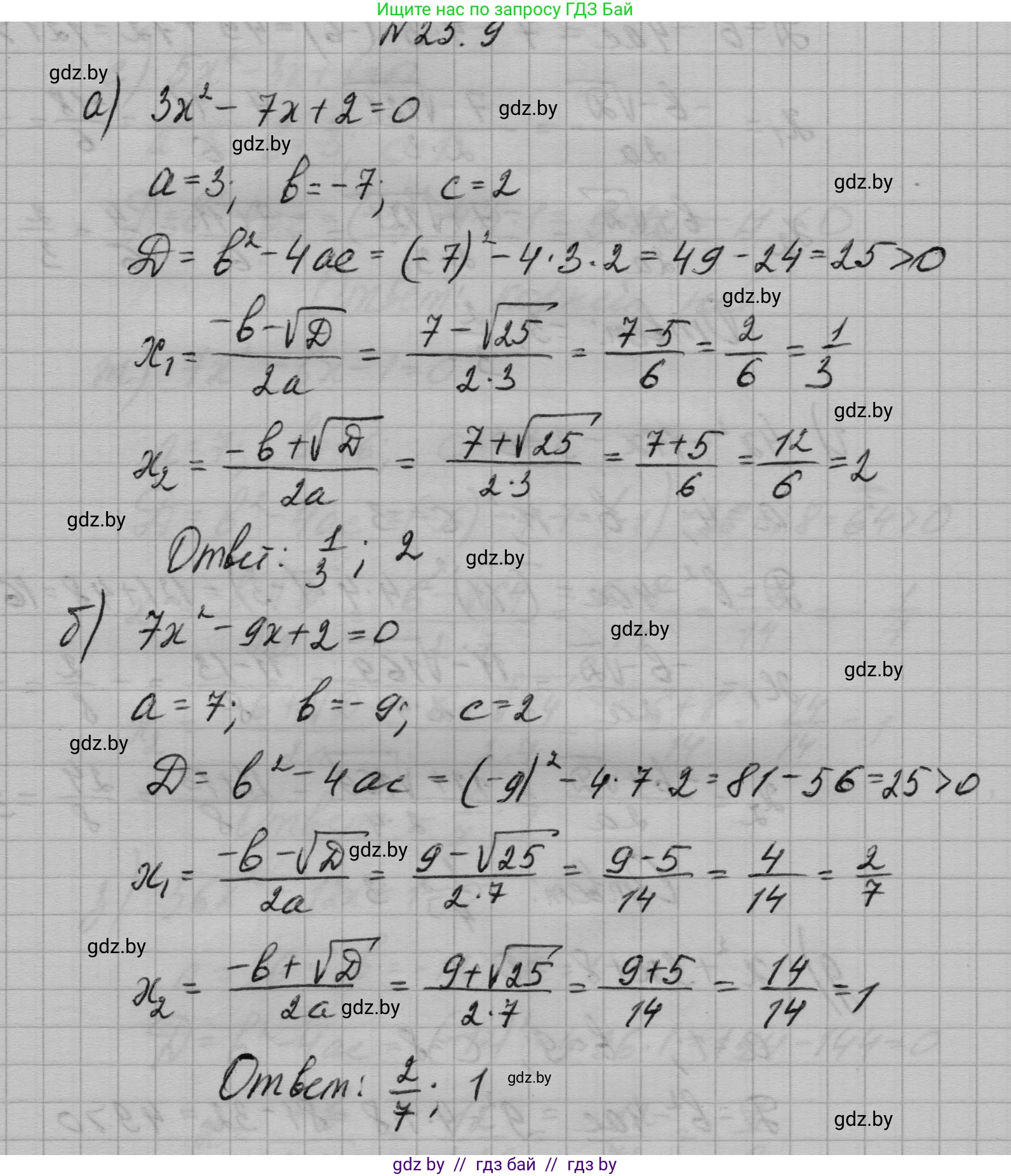
25.9. Решите квадратное уравнение, используя алгоритм:

а) $3x^2 - 7x + 2 = 0;$

б) $7x^2 - 9x + 2 = 0;$

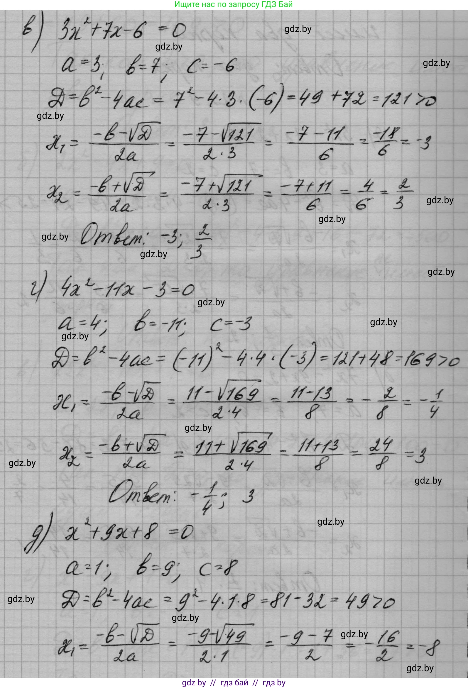
в) $3x^2 + 7x - 6 = 0;$

г) $4x^2 - 11x - 3 = 0;$

д) $x^2 + 9x + 8 = 0;$

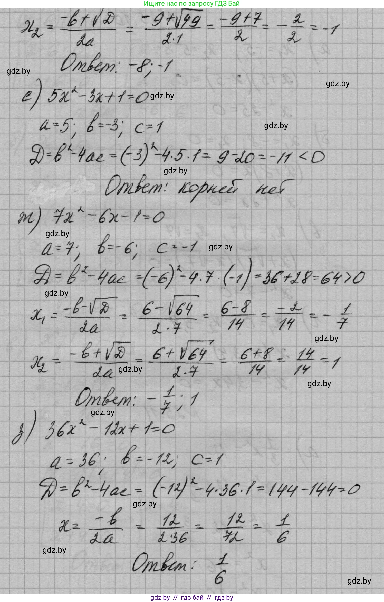
е) $5x^2 - 3x + 1 = 0;$

ж) $7x^2 - 6x - 1 = 0;$

з) $36x^2 - 12x + 1 = 0.$

Решение. №25.9 (с. 120)
Алгебра, 7-9 класс Сборник задач, авторы: Арефьева Ирина Глебовна, Пирютко Ольга Николаевна, издательство Народная асвета, Минск, 2020, страница 120, номер 25.9, Решение Алгебра, 7-9 класс Сборник задач, авторы: Арефьева Ирина Глебовна, Пирютко Ольга Николаевна, издательство Народная асвета, Минск, 2020, страница 120, номер 25.9, Решение (продолжение 2) Алгебра, 7-9 класс Сборник задач, авторы: Арефьева Ирина Глебовна, Пирютко Ольга Николаевна, издательство Народная асвета, Минск, 2020, страница 120, номер 25.9, Решение (продолжение 3)
Решение 2. №25.9 (с. 120)

а) $3x^2 - 7x + 2 = 0$
Это квадратное уравнение вида $ax^2 + bx + c = 0$ с коэффициентами $a = 3$, $b = -7$, $c = 2$.
Вычислим дискриминант по формуле $D = b^2 - 4ac$:
$D = (-7)^2 - 4 \cdot 3 \cdot 2 = 49 - 24 = 25$.
Так как $D > 0$, уравнение имеет два различных действительных корня. $\sqrt{D} = \sqrt{25} = 5$.
Вычислим корни по формуле $x_{1,2} = \frac{-b \pm \sqrt{D}}{2a}$:
$x_1 = \frac{-(-7) + 5}{2 \cdot 3} = \frac{7 + 5}{6} = \frac{12}{6} = 2$.
$x_2 = \frac{-(-7) - 5}{2 \cdot 3} = \frac{7 - 5}{6} = \frac{2}{6} = \frac{1}{3}$.
Ответ: $2; \frac{1}{3}$.

б) $7x^2 - 9x + 2 = 0$
Коэффициенты: $a = 7$, $b = -9$, $c = 2$.
Вычислим дискриминант: $D = b^2 - 4ac = (-9)^2 - 4 \cdot 7 \cdot 2 = 81 - 56 = 25$.
$D = 25 > 0$, следовательно, уравнение имеет два корня. $\sqrt{D} = 5$.
$x_1 = \frac{-(-9) + 5}{2 \cdot 7} = \frac{9 + 5}{14} = \frac{14}{14} = 1$.
$x_2 = \frac{-(-9) - 5}{2 \cdot 7} = \frac{9 - 5}{14} = \frac{4}{14} = \frac{2}{7}$.
Ответ: $1; \frac{2}{7}$.

в) $3x^2 + 7x - 6 = 0$
Коэффициенты: $a = 3$, $b = 7$, $c = -6$.
Вычислим дискриминант: $D = b^2 - 4ac = 7^2 - 4 \cdot 3 \cdot (-6) = 49 + 72 = 121$.
$D = 121 > 0$, следовательно, уравнение имеет два корня. $\sqrt{D} = 11$.
$x_1 = \frac{-7 + 11}{2 \cdot 3} = \frac{4}{6} = \frac{2}{3}$.
$x_2 = \frac{-7 - 11}{2 \cdot 3} = \frac{-18}{6} = -3$.
Ответ: $\frac{2}{3}; -3$.

г) $4x^2 - 11x - 3 = 0$
Коэффициенты: $a = 4$, $b = -11$, $c = -3$.
Вычислим дискриминант: $D = b^2 - 4ac = (-11)^2 - 4 \cdot 4 \cdot (-3) = 121 + 48 = 169$.
$D = 169 > 0$, следовательно, уравнение имеет два корня. $\sqrt{D} = 13$.
$x_1 = \frac{-(-11) + 13}{2 \cdot 4} = \frac{11 + 13}{8} = \frac{24}{8} = 3$.
$x_2 = \frac{-(-11) - 13}{2 \cdot 4} = \frac{11 - 13}{8} = \frac{-2}{8} = -\frac{1}{4}$.
Ответ: $3; -\frac{1}{4}$.

д) $x^2 + 9x + 8 = 0$
Коэффициенты: $a = 1$, $b = 9$, $c = 8$.
Вычислим дискриминант: $D = b^2 - 4ac = 9^2 - 4 \cdot 1 \cdot 8 = 81 - 32 = 49$.
$D = 49 > 0$, следовательно, уравнение имеет два корня. $\sqrt{D} = 7$.
$x_1 = \frac{-9 + 7}{2 \cdot 1} = \frac{-2}{2} = -1$.
$x_2 = \frac{-9 - 7}{2 \cdot 1} = \frac{-16}{2} = -8$.
Ответ: $-1; -8$.

е) $5x^2 - 3x + 1 = 0$
Коэффициенты: $a = 5$, $b = -3$, $c = 1$.
Вычислим дискриминант: $D = b^2 - 4ac = (-3)^2 - 4 \cdot 5 \cdot 1 = 9 - 20 = -11$.
Так как $D < 0$, уравнение не имеет действительных корней.
Ответ: нет действительных корней.

ж) $7x^2 - 6x - 1 = 0$
Коэффициенты: $a = 7$, $b = -6$, $c = -1$.
Вычислим дискриминант: $D = b^2 - 4ac = (-6)^2 - 4 \cdot 7 \cdot (-1) = 36 + 28 = 64$.
$D = 64 > 0$, следовательно, уравнение имеет два корня. $\sqrt{D} = 8$.
$x_1 = \frac{-(-6) + 8}{2 \cdot 7} = \frac{6 + 8}{14} = \frac{14}{14} = 1$.
$x_2 = \frac{-(-6) - 8}{2 \cdot 7} = \frac{6 - 8}{14} = \frac{-2}{14} = -\frac{1}{7}$.
Ответ: $1; -\frac{1}{7}$.

з) $36x^2 - 12x + 1 = 0$
Коэффициенты: $a = 36$, $b = -12$, $c = 1$.
Вычислим дискриминант: $D = b^2 - 4ac = (-12)^2 - 4 \cdot 36 \cdot 1 = 144 - 144 = 0$.
Так как $D = 0$, уравнение имеет один действительный корень (или два совпадающих).
Корень вычисляется по формуле $x = \frac{-b}{2a}$:
$x = \frac{-(-12)}{2 \cdot 36} = \frac{12}{72} = \frac{1}{6}$.
Можно также заметить, что левая часть уравнения является полным квадратом: $36x^2 - 12x + 1 = (6x-1)^2$, поэтому уравнение принимает вид $(6x-1)^2 = 0$, откуда $6x-1=0$ и $x=\frac{1}{6}$.
Ответ: $\frac{1}{6}$.

Помогло решение? Оставьте отзыв в комментариях ниже.

Присоединяйтесь к Телеграм-группе @gdz_by_belarus

Присоединиться

Мы подготовили для вас ответ c подробным объяснением домашего задания по алгебре за 7-9 класс, для упражнения номер 25.9 расположенного на странице 120 к сборнику задач 2020 года издания для учащихся школ и гимназий.

Теперь на нашем сайте ГДЗ.ТОП вы всегда легко и бесплатно найдёте условие с правильным ответом на вопрос «Как решить ДЗ» и «Как сделать» задание по алгебре к упражнению №25.9 (с. 120), авторов: Арефьева (Ирина Глебовна), Пирютко (Ольга Николаевна), учебного пособия издательства Народная асвета.